
第二节 股票估值模型
一、股票估值模型的分类
在股票市场对上市公司进行估值时,首先应该区别股票价格和股票价值两个基本概念。股票价格是投资者所支付的,而股票价值则是投资者获得的。通常而言,股票价值与这些资产的现金流水平和预期增长直接相关,从而投资者可以分析公司价值的基本面——公司股利和收益——制定投资评估值决策。股票之所以有价值,是因为它有潜在的现金流,即股票持有人预计从所拥有的公司获得所谓的股利。如果在未来其他股票持有人或许断定这些未来股利的估计并没有完全反映在当前的估值中,股票也有价值。正是通过预测和估计未来潜在的股利和收益的价值,并判断将来是否有人对这些潜在股利和收益有所不同估值,才使人们对股票的内在价值进行判断。
那么,什么决定普通股的内在价值?根据证券分析,股票估值可以分为两种基本方法(见表11-2)。
表11-2 普通股估值的基本模型

(1)内在价值法。内在价值法又称收益贴现模型,是按照未来现金流的贴现对公司的内在价值评估的方法。具体又分为股利贴现模型(DDM)、自由现金流量贴现模型(DCF)、超额收益贴现模型。
(2)相对价值法。它是采用相对评价指标进行比较的方法,对公司价值进行判断,如市盈率模型(P/E)、市净率模型(P/B)、市价/现金流比率(P/CF)等。
二、内在价值法
股票内在价值法,是按照现金流贴现对公司内在价值进行评估。由于不同资本提供者对现金流索取权的次序有所不同,公司未来现金流的分配也就存在差异。按照公司财务理论,企业现金流进行分配的第一个环节是进行投资需要,支付的这部分现金流为营运资本。接下来的企业现金流分配,是向所有资本提供者提供报酬,由于企业资本提供的属性不同,现金流的索取权顺序也存在差异,企业首先向债权人支付负债利息,然后才能向公司股东进行红利分配。但由于企业为了更好未来发展需要进行再投资,因而分配给普通股股东的红利往往是再投资和留存收益之后的现金流(见图11-6)。这样,与现金流的分配次序相匹配,不同的现金流决定了不同的股利贴现模型。其中,股利贴现模型(DDM)采用的是现金股利,权益现金流贴现模型(FCFE)采用的是权益自由现金流,企业贴现现金流模型(FCFF)采用的是企业自由现金流。

图11-6 现金流分配的过程
(一)股利贴现模型
正如在固定收益证券估值中所讨论的,证券的内在价值是该资产预期现金流的现值。若假定股利是投资者在正常条件下投资股票所直接获得的唯一现金流,则就可以建立估价模型对普通股进行估值,这就是著名的股利贴现模型(dividend discount model,DDM)。这一模型最早由J.B.Williams & M.J.Gordon(1938)提出[1],实质是将收入资本化法运用到权益证券的价值分析之中,这在概念上与债券估值方法没有本质性差别。
该模型股票现值表达为未来所有股利的贴现值:
![]()
式中:D代表普通股的内在价值;Dt代表普通股第t期支付的股息或红利;r是贴现率,又称资本化率。贴现率是预期现金流量风险的函数,风险越大,现金流的贴现率越大;风险越小,则资产贴现率越小。
根据对红利增长率的不同假定,红利贴现模型可以分为零增长模型、不变增长模型、三阶段增长模型和多元增长模型。下面,我们将从简单模型到复杂模型对模型进行展开介绍。
1.零增长模型
零增长模型(zero-growth model)是假定红利固定不变,即红利增长率为零。零增长模型不仅可以适用于普通股的价值分析,而且也适用于优先股和统一公债的价值评估。在零增长条件下,D0=D1=D2=…=D∞,或表达为gt=0,将这一条件代入(11-2)可得
![]()
当r>0,可以将上式简化表达为
![]()
2.不变增长模型
不变增长模型(constant-growth model)又称Gordon(1962)模型[2],假定红利增长速度为常数,即:
![]()
根据Gordon(1962)模型前提条件,贴现率大于红利增长率[3],即r>g,则存在

式(11-5)是不变增长模型的函数表达式,其中D0,D1分别为初期和第1期支付的股利。当式(11-5)中的股利增长率等于零时,不变增长模型就变成零增长模型。因此,零增长模型可以看作不变增长模型的一种特殊形式。
3.三阶段红利贴现模型
由N.Molodovsky(1965)提出的三阶段红利贴现模型(three-stage-growth model)[4],是将股利增长率划分为三个不同阶段:在第1阶段(期限为A),股利增长率为一个常数g。第2阶段(期限为A+1到B),红利增长率呈现线性变化,即从ga变化为gb(gb为第3阶段的股利增长率),如果ga>gb,则表示这一阶段为一个递减的股利增长率;相反,则表示为一个递增的股利增长。第3阶段,红利增长率又表现为常数gb,该增长率通常是公司长期的正常增长率(见图11-7)。

图11-7 三阶段股利增长模型
在图11-7中,在股利增长转折时期(包括第2阶段和A)内的任何时点上的股利增长率gt,都可以用公式(11-6)表示。其中,当t=A时,股利增长率等于第1阶段的常数增长率ga;当t=B时,股利增长率等于第3阶段的常数增长率gb。

在满足三阶段增长模型的假设下,如果已知ga,gb,A,B和初期的股利增长率D0,就可以根据公式(11-6)计算出所有各期的股利;然后,根据贴现率计算出股票的内在价值。三阶段的增长模型公式如下:
![]()
三阶段的增长模型正是将股票内在价值,表达为红利三阶段增长之和。式(11-7)中右边的三项分别对应于股利增长的三个阶段。
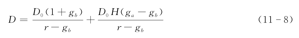
H模型是基于三阶段红利贴现模型的简化模型,却保留了求出预期回报率的大部分能力(Fuller & Hsia,1984)[5]。H模型假定:公司红利的初始增长率为一个常数ga,在股利递减或递增的过程中,在H点上所显示的股利增长率正好是初始增长率与所达到的市场平均水平的中间值。当ga>gb,即在到达2 H点之前,股利的增长率递减;在2 H点之后,股利增长率就达到公司所预期的正常的增长率水平gb(见图11-8)。图11-9形象地反映了三阶段红利模型和H模型的关系。

图11-8 H模型的红利增长模式

图11-9 H模型和三阶段增长模型的关系
在图11-8中,当t=H时,gH=
(ga+gb)。在满足上述假定条件下,Fulle和Hsia证明了H模型的股票内在价值的计算公式,该模型用公式表达如下:
![]()
将上式展开,可以得到
![]()
其中,公式右边的第1项为基于长期正常的股利增长率的现金流贴现价值;公式右边的第2项为超额收益率ga所带来的现金流贴现价值(价值溢价),这部分价值与H成正比例关系。
4.多元增长模型
前面介绍的零增长模型、不变增长模型和三阶段增长模型,其实都是股利贴现模型的特殊形式。现在,我们介绍股利贴现模型的最一般形式——多元增长模型(multiple-growth model)。多元增长模型假定在某一时点T之前红利增长率不确定,但在T期之后红利增长率为一常数g。多元增长模型内在价值的计算公式为
![]()
(二)自由现金流贴现模型(DCF)
自由现金流量贴现理论认为,公司价值等于公司未来自由现金流量的折现值。即选定恰当的贴现率,将公司未来的自由现金流折算到现在的价值之和作为公司当前的估算价值。该方法的基本原理是一项资产的价值等于该资产预期在未来所产生的全部现金流量的现值总和。即公司内在价值表达为
![]()
根据增长模式不同,自由现金流贴现模型有很多种形式,如稳定增长模型、两阶段模型、H模型、三阶段模型和N阶段模型等,根据本文论述主题的需要,下面仅简要讨论FCFE和FCFF模型的基本原理。
1.公司自由现金流(FCFF)贴现模型
公司自由现金流(free cash flow of firm,FCFF)是公司支付了所有营运费用、进行了必需的固定资产与营运资产投资后可以向所有投资者分派的税后现金流量。FCFF是公司所有权利要求者,包括普通股股东、优先股股东和债权人的现金流总和,其计算公式为
FCFF=EBIT×(1-税率)+折旧-资本性支出-追加营运资本
式中,EBIT为税息前收入(Earnings Before Interest & Tax)。
FCFF折现模型认为,公司价值等于公司预期现金流量按公司资本成本进行折现,将预期的未来自由现金流用加权平均资本成本折现到当前价值来计算公司价值,然后减去债券的价值进而得到股权的价值。即公式可表达为
![]()
式中,加权平均资本成本(WACC)为债务资本价值与股本价值之和。其公式表达为
![]()
总资本价值V=股权资本价值Ve+债务资本价值Vd;公司资本股权价值=公司总价值V-净债务;股权资本的权重=Ve/V=(总股本×股价)/V;债务资本的权重=Vd/V(注意采用付息债务价值);市价权重仅有参考意义,建议采用长期目标资本结构(通过观察行业历史水平、与公司高管沟通、预测未来投资等确定);债务成本=债务税息前成本Kd(1-有效税率);股权成本(Ke),可以根据CAPM模型Ke=rf+β(rm-rf)计算。由于自由现金流贴现法的依据是公司的价值等于一段时间预期的自由现金流和公司的终极价值的现值,若企业往往具有比较稳定的现金流量,则比较适合采用此类方法,如公用事业型公司。
2.股权资本自由现金流(FCFE)贴现模型
股权自由现金流量(free cash flow of equity,FCFE)是在公司用于投资、营运资金和债务融资成本之后可以被股东利用的现金流,它是公司支付所有营运费用,再投资支出,所得税和净债务支付(即利息、本金支付减发行新债务的净额)后可分配给公司股东的剩余现金流量。FCFE的计算公式为
FCFE=净收益+折旧-资本性支出-营运资本追加额-债务本金偿还+新发行债务
FCFE折现估价模型的基本原理是将预期的未来股权活动现金流用相应的股权要求回报率折现到当前价值来计算公司股票价值。公式表达为

式中:V为公司价值;FCFEt为t期的现金流;Ke是根据CAPM模型计算的股权成本。
FCFE有永续稳定增长模型、两阶段增长模型和三阶段模型等,其中永续稳定增长模型最适用于增长率接近于整个经济体系增长水平的公司,两阶段FCFE模型最适用于分析处于高增长阶段并且将保持一定时期高增长的公司,如拥有专利的公司或处于具有显著进入壁垒行业的公司。
(三)超额收益贴现模型
1.经济附加值(EVA)模型
经济附加值指标(economic value added,EVA)源于企业经营绩效考核的目的,EVA这一概念最早是由斯特恩-斯图尔特(Stern Stewart)管理咨询公司提出并推广,被许多世界著名大公司(如可口可乐公司)所采用。20世纪90年代中期以后,EVA逐渐在国外获得广泛应用,成为传统业绩衡量指标体系的重要补充。《财富》杂志称EVA为“当今最炙手可热的财务理念”,在西方企业界引起很大的反响,以至于“只要一家公司宣布要采用EVA模式,我们就将看到它们的股价在仅仅一个星期的时间里增长30%”,EVA成了价值创造的魔方。
经济附加值指标等于公司税后净营业利润减去全部资本成本(股本成本与债务成本)后的净值。计算公式为
![]()
式中:EVA为经济附加值;NOPAT为税后净营业利润;资本成本等于WACC乘以实际投入资本总额;WACC为加权平均的资本成本。
式(11-14)也可表示为
EVA=(ROIC-WACC)×实际资本投入
其中,ROIC为投资资本回报率。
如果计算出的EVA为正,说明企业在经营过程中创造了财富;否则就是在毁灭财富。
经济附加值(EVA)之所以被称为当今投资银行进行股票估值的重要工具,在很大程度上是因为应用市盈率指标进行定价估值太简单,容易产生误解,缺乏现金流概念。对亏损公司,对IT行业很难运用。经济附加值指标克服了传统业绩衡量指标的缺陷(股东价值与市场价值不一致问题),比较准确地反映了上市公司在一定时期内为股东创造的价值。但EVA并不适用于金融机构、周期性企业、新成立公司等企业。
2.F O模型
奥尔森和弗莱明(Ohlson & Feltham,1995)提出的剩余收益定价模型(Feltham-Ohlsom模型,简称“F O模型”),认为公司价值等于由目前账面价值与未来剩余收益现值之和[6]。
奥尔森和弗莱明率先在会计盈余和股票内在价值相关性方面做出了开创性的工作,他们将股票的内在价值与股东权益和未来收益联系起来,从而确立了会计账面价值和股票内在价值的直接联系。这种联系主要体现为“两级关联”,即当期会计盈余与未来会计盈余相关联,未来会计盈余与股票价值相关联。
为论述Feltham-Ohlsom模型[7],首先假定企业会计处理方法满足清洁剩余关系(clean surplus relation),将企业会计报表的数据与股权价值相联系。清洁剩余关系表达为
![]()
式中:bvt为公司t期的账面净资产;xt为t期的会计收益;dt为t期的股利。
在此,将会计收益分为正常收益和剩余收益两部分,即
![]()
式中:正常收益用
=r×bvt-1表示,它等于股权资本成本;剩余收益(又称为非正常收益或超额收益)用
=xt-r×bvt-1表示,它是超出正常收益的收益。
这样,公司的内在价值可以表示为预期正常收益和剩余收益的贴现值:

或者用t期的会计账面资产和预期的未来会计收益来表示:
![]()
公式(11-17)和公式(11-18)是剩余收益定价模型的两种形式。但与公式(11-17)相比,公式(11-18)具有明显的优点,它建立股票内在价值和现期账面净资产之间的联系,即公司股权价值等于公司账面净资产与公司经营性收益期望值的贴现,这就是著名的Feltham-Ohlsom股权估值模型。根据公式(11-18),如果股票价格能够真实反映股票价值,则股票价格等于公司现期的账面价值与未来剩余收益的贴现值之和;否则,股票价格必然偏离内在价值。
Feltham-Ohlsom模型的提出,在很大程度上弥补了传统股利贴现模型的缺陷,例如股利贴现模型需要正确地预期股票的未来股利分配,然而该模型并没有告诉我们决定股利预期的基本因素,也没有说明现行会计信息在股票定价中的作用,而Feltham-Ohlsom模型则提供了一个将财务报表的会计数字和股票内在价值联系起来的分析框架,从而指导投资者利用会计信息进行股票内在价值分析。同时,尽管现金流贴现模型能够较好地计算股票价格和现金流之间的价值相关性,但大量实证表明,会计盈余比现金流量具有更好的持续性和预测能力。由于投资者对股票的定价更多地利用账面净资产和盈余信息,而不是现金股利,投资者对证券资产关系更多的是未来的每股盈余,而不是每股股利;此外,预测盈余比预测股利或现金流量的可能性和准确性更高,因此Feltham-Ohlsom模型的适用性也更强。当然,Feltham-Ohlsom模型存在一定缺陷,即该模型的股权价值是根据账面净资产和经营性会计收益决定的,没有考虑股权价值的成长性、资本结构对股权价值的影响。
三、相对价值模型
内在价值模型都是在估计增长率和相应贴现率的基础上,对股票内在价值进行估计。相对价值模型,则是应用一些相对比率将目标公司与具有相同或相近行业特征、财务特征、股本规模或经营管理风格的上市公司进行比较,来对公司股票进行估值。而这些相对比率是影响股票价值和内在价值的重要变量,包括收益、现金流、账面价值和销售额等。在此,我们探讨的相对比率主要包括市盈率(P/E)、市净率(P/B)、市价/现金流比率(P/CF)。
1.市盈率模型(P/E)
对于普通股而言,投资者应得到的回报是公司的净收益。因此,投资者估价的一种方法就是确定投资者愿意为每一单位的预期收益(通常以1年的预期收益表示)支付的金额。例如,如果投资者愿意支付15倍的预期收益,那么他们估计每股收益为0.5元的股票在下1年的价值为7.5元。这样,投资者就可以计算出当前的收益倍数(earnings multiplier),即市盈率(P/E,price to earnings ratio)。计算公式如下:
![]()
市盈率是投资回报的一种度量标准,即股票投资者根据当前或预测的收益水平收回其投资所需要的计算的年数。当前市盈率的高低,表明投资者对该股票未来价值的主要观点。投资者必须将P/E比率与整体市场、该公司所属行业以及其他类似公司和股票P/E比率进行比较,以决定他们是否认同当前的P/E比率水平。也就是说,根据市盈率比率偏高或偏低,判断该股票价格高估还是低估。
那么,什么决定市盈率呢?在此,我们分析期间影响市盈率的因素,这可以从前面讨论的股利贴现模型中推导出来。若用P0表示模型的估计价格,则存在
![]()
两边同时除以预期盈利E1,则可得到
![]()
从公式(11-21)可见,P/E比率是由以下因素所决定:
(1)预期股利派发率D1/E1。
(2)股票的必要回报率r。
(3)股利增长率g。
在其他条件不变时,下列关系成立:
(1)派息率越高,市盈率越高。
(2)股利预期增长率g越高,市盈率越高。
(3)必要回报率r越高,市盈率越高。
尽管上述D/E,g,r三种因素对P/E都有影响,r和g的差值是决定P/E比率的关键因素。尽管股利派发率对P/E也有影响,但由于公司长期的目标股利派发率相当稳定,对P/E的影响很小。
由于市盈率指标表示股票价格和每股收益比率,可直接应用于不同收益水平的价格比较,对股价估值简单而实用,因而成为投资者进行权益证券估值的最广泛指标之一。相应地,市盈率指标也存在一些缺陷,该指标并没有告诉投资者:
(1)公司盈利预计以什么方式增长?
(2)公司盈利增长预期是加速增长还是减速增长?
(3)公司的盈利能力如何与其他相同风险-收益关系的投资进行比较?
(4)如何对相同市盈率的公司盈利进行区分?
针对市盈率指标的上述缺陷,最近几年流行的市盈率增长因子(PEG)是对P/E静态性缺陷的重要补充。PEG是市盈率除以公司盈利年增长率的商。其中,用估计盈利增长率除市盈率可以测算公司成长的速度,这就是著名的预期市盈率增长因子(prospective,PEG)。市盈率增长因子越低,表示公司的发展潜力越大,公司的潜在价值也就越高。
例11-3 某两家公司的市盈率都是20,但是盈利增长率不同,公司A的盈利增长率为20%,而公司B的盈利增长率为5%,那么公司A的预期市盈率增长因子为1(20除以20),而公司B的预期市盈率增长因子为4(20除以5)。可见,公司A成长较快,从而预示着该公司有更好的发展潜力和投资价值。
2.市净率模型(price/book value,P/B)
账面价值(book value)是公司净资产的会计指标。Fama和French及其以后学者的研究表明,市价/账面价值比率(P/B)是衡量公司价值的重要指标,这就是市净率的表达公式,即
市净率=每股市价/每股净资产
![]()
其中,BVt+1是公司每股账面价值的年末估计值。
相对于市盈率,市净率在使用中有着其特有的优点:
(1)每股净资产通常是一个累积的正值,因此市净率也适用于经营暂时陷入困难的企业及有破产风险的公司。
(2)统计学证明每股净资产数值普遍比每股收益稳定的多。
(3)对于资产包含大量现金的公司,市净率是更为理想的比较估值指标。
这样,P/B尤其适用于公司股本的市场价值完全取决于有形账面值的行业,如银行、房地产公司。而对于没有明显固定成本的服务性公司,账面价值意义不大。
同时,市净率在使用过程中也存在一定局限性。由于会计计量的局限,一些对企业非常重要的资产并没有确认入账,如商誉、人力资源等;当公司在资产负债表上存在显著的差异时,作为一个相对值,P/B可能对信息实用者有误导作用。
3.市价/现金流比率(P/CF)
由于公司盈利水平容易被操纵而现金流价值通常不易操纵,市价/现金比率越来越多地被投资者所采用。同时,根据信用评价“现金为王”的法则,现金流价值在基本估值中也是很关键的。价格与现金流的比率(P/CF)的计算公式如下:
![]()
其中,Pt为t期股票的价格;CFt+1为公司在t+1期的预期每股现金流。
影响这个比率的因素与影响P/E的因素相同,即这些变量应该是所采用的现金流变量的预期增长率和由于现金流序列的不确定或波动性所带来的股票的风险。用来计算的具体现金流通常是扣除利息、税款、折旧和摊销之前的收益(EBITA),但具体是采用哪种现金流会随公司和行业的性质不同以及哪种现金流对行业绩效的方便计量而变化(如营运现金流或自由现金流)。同时,合适的P/CF比率也会受到公司资本结构的影响。






.jpg)
