
1 岩石平洞钻爆法施工
本章导读:
对于呈水平布置、断面相对较小、长度较大的洞道式地下工程,不同行业或部门有不同的称谓,例如,公路与铁路交通行业称其为隧道,矿山行业称其为平巷(巷道)或平硐,水利水电行业称其为隧洞,军事部门称其为坑道、通道等。为方便叙述,不失其通用性,本章将其统称为平洞。岩石平洞是最为常见的地下工程,其掘进施工方法大多为钻眼爆破法。钻眼爆破是地下工程开挖最基本也是应用最多的技术,要求学生固掌握。
●主要教学内容:以钻眼爆破法为主的开挖施工工艺与技术,包括开挖的基本方案、钻眼设备、炮眼的布置、爆破参数的选择、岩石装运设备以及不良地层的施工方法特点与要求。
●教学基本要求:掌握地下工程的基本开挖方案;了解常用的钻眼设备类型,能较为合理地选择钻眼机具;掌握开挖面炮眼的布置方法,能够编制出较为合理的爆破图表;熟悉岩石装运的设备和调车方法。
●教学重点:平洞开挖的基本方案,爆破参数的选择,岩石装运设备的选择。
●教学难点:爆破参数的合理选择及爆破图表的编制。
●网络资讯:网站:www.stec.net,www.cnksjxw.com。关键词:岩石巷道,平巷,隧道开挖,隧道施工,钻眼爆破,装渣机,装岩机,爆破图表,循环图表。
1.1 基本施工方案
1.1.1 全断面一次开挖法
全断面一次开挖法是按整个设计掘进断面一次向前挖掘推进的施工方法。在整个工作面上钻眼,然后同时爆破,使整个工作面推进一个进尺。
该法的优点是可最大限度地利用洞内作业空间,工作面宽敞,能使用大型高效设备,加快施工进度;断面一次挖成,施工组织与管理比较简单;能较好地发挥深孔爆破的优越性;通风、运输、排水等辅助工作及各种管线铺设工作均较便利,故条件许可时应优先被考虑。其缺点是施工时要使用笨重而昂贵的钻架,一次投资大;多台钻机同时工作时的噪声极大。
该法可用钻孔台车钻孔,一次爆破成洞,用大型装岩机及配套的运载车辆将渣石运出(图1.1)。掘进断面较小时,一般先登渣进行拱部锚喷支护,渣石出完后再进行墙部支护。断面较大时,通常需先进行初次支护(用钢拱架及锚喷),再进行二次混凝土支护。
一般认为,该法主要用于围岩稳定、坚硬、完整、开挖后不需临时支护的Ⅰ~Ⅱ类围岩的石质工程以及高度不超过5 m、断面不超过30 m2的中小型断面平洞。但随着大型施工设备的不断出现、施工机械化程度和施工技术的不断提高,全断面一次施工法用得越来越多,即使地质条件比较差时,由于新奥法、锚杆喷射混凝土、注浆加固、管棚支护及防排水等新技术的应用,也能够采用。日本施工的五里峰隧道,开挖断面70 m2,采用了3 m3大型电铲、6臂龙门式凿岩台车及25 t自卸汽车等大型设备,采用此法实现了快速施工。

图1.1 全断面一次开挖法
1.1.2 分断面两次开挖法
该法是将整个平洞断面分成两部分,在全长范围内先开挖好一个部分,再开挖另一部分。它适合于稳定岩层中断面较大、长度较短(数百米)或者要求快速施工以便为另一平洞探清地质情况的平洞施工。
1)上半断面先行施工法
该法是先将平洞上半断面在全长范围内开挖完毕,然后再开挖下半断面。上下断面面积的比值取决于所采用的开挖设备和岩石的稳定性。开挖上半断面时,先进行顶部支护。下分层可采取垂直、倾斜或者水平的炮眼进行爆破开挖,钻孔和装渣可同时进行;开挖的同时进行两侧墙部支护。
该法与全断面一次开挖相比,开挖面高度不大;混凝土衬砌不需要笨重的模板,可降低造价;不需笨重的钻架;下分层开挖时运渣和钻孔可平行作业,进度快;下分层爆破有两个临空面,效率高、成本低。但由于上下分层施工循环各自独立,与全断面一次开挖相比,工期增长;必须在两个平面上铺设道路和管道。此法在长度较短的公路山岭隧道中应用较多。
2)下半断面先行施工法
该法是先将平洞的下半断面在全长范围内开挖完,然后再开挖上半断面。下半断面全宽开挖并进行衬砌。上半断面可站在岩堆上钻孔或从底板向上钻垂直孔。该法上部施工有两个临空面,钻爆成本低;开挖上部时钻孔和装岩可平行作业;涌水大时可有效地排水。但在岩堆上钻孔不方便也不安全;下分层施工时顶部需要支护,上分层施工时又需将其爆除或拆除,费工费时且不经济,故使用不多。
3)先导洞后全断面扩挖法
该法先沿平洞的中线,按全长开挖导洞,然后再扩挖至设计断面的施工方法。导洞的位置,可根据具体条件位于平洞的底板、顶板或中部(拱基线水平)。导洞可用掘进机或钻爆法挖掘。
该法可对洞内地质进行连续的调查,能进行涌水和瓦斯的预防及连续排放,能在扩挖之前预先加固岩体,能使岩体中的高应力预先释放,有利于扩挖期间的通风,便于增加一些中间入口实施多头同时扩挖,缩短整个平洞的开挖时间。
扩挖时,由于导洞提供了第二个临空面,可使用深孔爆破,提高爆破效果,被认为是一种能提高掘进速度的好方法。如秦岭铁路Ⅱ线隧道,为了对Ⅰ线隧道进行地质预报及为全断面掘进机提供通风、排水、运输等辅助条件,在隧道的中线沿底板先掘一导洞,设计掘进断面26 m2(宽4.8 m、高5.9 m),直墙半圆拱形,采用钻爆法施工。待Ⅰ线隧道完工后再进行扩挖。南昆铁路米花岭隧道是利用平导通过数个横通道与正洞相连后,不扩大工作面而进行下导洞快速开挖,然后进行全断面扩挖,设备布置如图1.2所示。

图1.2 米花岭隧道先导坑后全断面扩挖设备布置
1—TH568-5型门架式四臂凿岩台车;2—KL-20E8型;3—14 m3梭式矿车;4—蓄电池电机车
用掘进机掘进导洞是意大利广为采用的方法,故称“意大利施工法”。即先用小直径(3.5~5 m)全断面掘进机沿隧道中线掘一贯通导洞,然后用钻眼爆破法扩挖。
1.1.3 台阶工作面法
该法是将平洞断面分成2或3个分层,各分层在一定距离内呈台阶状推进。这种方法的特点是缩小了断面高度,不需笨重的钻孔设备;后一台阶施工时有两个临空面,爆破效率高。按台阶长度不同,可分为长台阶(一般为5倍于洞宽以上)和短台阶(小于2倍洞宽);按台阶布置方式不同,可分为正台阶和反台阶两种方法。
1)正台阶法
该法为上部分层超前施工,故又称下行分层施工法。施工时首先掘上部弧形断面(高度一般为2~2.5 m),然后逐一挖掘下面各部分。图1.3为3个分层的情况,其施工顺序(图中开挖用阿拉伯数字表示,衬砌或其他支护结构用罗马数字表示,二者续编,本节以下各图同)是:先开挖①部,其次开挖②部,最后再挖出③部。等断面全部挖出后,便浇筑边墙Ⅳ及拱圈Ⅴ。

图1.3 正台阶施工法
采用正台阶施工法要注意以下几点:
第一,要根据具体条件合理确定上、下分层的错距。距离过大,上分层出岩困难;过小,上分层钻眼不便。分层数目少、分层断面大、使用较大型的施工机械时,错距可适当加大。
第二,装岩、钻孔机械能力足够时,应尽量减少分层数。台阶较短(3~5 m)时可采用上下分层同时钻眼、一次爆破的开挖法。
该法工序少,干扰小,上部钻孔可与下部装岩同时作业,不需支撑和棚架,可节省大量木材,必要时可以喷射混凝土或砂浆作为临时支护,故实践中采用较多。
该法不仅适用于围岩稳定性较好、开挖后不需或局部仅需临时支护的隧道,在土层隧道中也同样可用。如南京地铁1号线某区间隧道为土质隧道,采用单台阶开挖(图1.4)。上下台阶

图1.4 土质隧道长台阶工作面施工方法
工作面相距30~50m。上台阶挖掘时,进行拱部的钢拱架和锚喷支护;下台阶掘进时,进行墙部及底部的钢拱架施工,并与拱部的钢拱架接好,同时进行锚喷支护。下台阶掘进时,每隔1~2 m在位于上台阶底板水平安装一道横梁,横梁上面铺设复合压缩板,作为上台阶的出土运输平台。
如果顶部围岩不好时,上台阶施工应采用环挖预留核心土法,即先进行顶部环形开挖,并进行初次支护,再挖去中心土,施工顺序如图1.5所示。

图1.5 上部台阶环挖法
2)反台阶法
反台阶法又称为上行分层施工法。即先挖掘最下部分层,再逐一向上挖掘其余各分层。该法能使施工工序减少,干扰小,下部断面可一次挖至设计宽度,空间大,便于出岩运输和布置管线。较适合于围岩稳定、不需临时支护、无大型装岩设备的情况。由于安全性比较差,后面台阶施工对前面施工有影响,故应用很少。
1.1.4 导洞施工法
导洞法即先以一个或多个小断面导洞超前一定距离开挖,随后逐步扩大开挖至设计断面,并相机进行砌筑的方法。该方法主要用于地质条件复杂或断面特大的地下硐室或隧道工程。
1)中央下导洞施工法
导洞位于断面中部并沿底板掘进。导洞掘至预定位置后,再开帮挑顶,完成永久支护。
(1)中央下导洞先墙后拱法
该法的施工顺序是下导洞掘进后,先挑顶后开帮,在开帮的同时完成砌墙工作。根据围岩条件、断面大小可采用六部开挖法或三部开挖法。六部开挖法如图1.6所示,施工工艺为:先开挖下导坑①部,考虑到爆破作业安全、存放渣车及探明地质,下导坑宜超前一定距离。随后架设漏斗棚架,向上开挖②(称为拉槽)和③部(挑顶)。挑顶时要挖至拱部设计轮廓线,并考虑一定的预留沉降量。③部开挖完后立即进行刷帮,开挖④、⑤、⑥部。最后按先墙后拱的顺序衬砌浇筑。

图1.6 下导洞漏斗棚架法
该法除下导坑和左右两帮(①部和⑥部)外,其余各部位的石渣均可经由漏斗漏到棚下的斗车内,再运出洞外。围岩条件允许时,可将①部与②部合并、③部与④部合并、⑤部与⑥部合并,即成为三部开挖法,使工序大为简化。
该法特点是:将断面分成若干部分进行开挖,可容纳较多人员同时施工;除下导洞外,均有较多的爆破临空面,爆破效果好;可利用棚架及岩堆完成整个断面的钻眼爆破作业;棚架上石渣由漏斗口漏入车内,省力、速度快;衬砌是先墙后拱连续施工,整体性好。
但由于需要几十米长的棚架,需用大量木材、钢轨,棚架也易因爆破而损坏。
(2)中央下导洞先拱后墙法
该法的施工程序如图1.7所示。以下导洞①领先,②部开挖的断面一般高2.0 m、宽2.0 m左右。开挖时要多布孔,少装药,尤其应控制离排架较近炮眼的装药量。④部扩大开挖距③部一般20 m左右,不宜太长,开挖的渣石不立即拉走,用其填平②部拉槽,作为衬砌工作平台。③、④部开挖后可立即用锚杆进行支护。扩大开挖完后,应立即灌注拱部混凝土。最后拆除棚架,开挖⑥部,并立即进行砌墙。

图1.7 下导洞先拱后墙法
该法施工效率高、速度快、施工安全好,地层变化时改换其他方法比较容易。但消耗木材和钢材较多,爆破易损坏棚架,衬砌整体性差。在条件允许时,也可将①、②部合并,③、④部合并,与⑥部形成三部开挖法,以使工序简化。
2)中央上导洞施工法
该法适用于需随挖随砌的围岩稳定性较差的石质或土质隧道,施工程序如图1.8所示。导坑①超前开挖并架临时支撑,随后落底②,更换导坑支撑。最后依次扩大两侧③,并立即进行砌筑。松软、含水、易坍的土层,应将导坑再分成几个小断面进行挖掘,先挖顶部后挖两帮并进行

图1.8 中央上导洞施工法
临时支撑,最后挖掉中间部分。土质隧道中,中间部分⑤可分三层进行。为防止拱脚内移,可在拱脚处架设横撑梁;为防止两侧内移,在断面⑤的中上部也应设横撑。两侧墙⑥、⑧交替开挖,每侧开挖完成后立即砌墙。
3)侧壁导洞施工法
(1)单侧壁导洞法

图1.9 单侧壁导洞法
该法是将断面分成3块(图1.9),首先开挖导洞1,并进行钢拱架支撑和锚喷支护,待导洞向前掘进一定距离后,再在后面进行断面2和3部分的开挖,并进行初次支护。2、3部分采用正台阶法开挖,并进行侧壁初次支护。掘至导洞位置后,再逐步拆除支撑,施工仰拱。最后浇筑全周圈的二次衬砌。如果围岩条件许可,2、3部分也可不设台阶,一步开挖;如果围岩较差,断面很大,还可设更多的台阶。导洞尺寸依据施工设备和施工条件而定,其宽度不超过全洞宽的一半,其高度以到起拱线为宜。
该法适用于断面跨度较大的松散软弱地层、顶板难以控制的双线交通隧道。其特点是施工安全度较高,控制地层变形较好,但施工进度较全断面法和台阶法慢,造价略高。
(2)双侧壁导洞法(眼镜法)
该法在浅埋大跨度隧道,地表下沉量要求严格,围岩条件特别差,单侧壁法难以控制围岩变形时采用。该法一般将断面分成4块,如图1.10所示。根据围岩情况,两侧导坑可同时施工,也可顺序施工。导洞宽度不宜超过隧道最大宽度的1/3。左右导洞开挖面错开的距离,应根据开挖一侧导洞所引起的围岩应力重新分布的影响不致波及另一侧已成导洞的原则确定。如果侧向变形大,也可在导洞的中部设置横撑,形成双眼镜。

图1.10 双侧壁导洞法
施工顺序:开挖一侧导洞1并及时进行初次支护;相隔一定距离后开挖另一导洞并进行初次支护;开挖中间部分的上半断面2,进行拱部初次支护;拱脚支承在两侧导洞的初次支护上;开挖下部3并进行底部初次支护,使初次支护全断面闭合;拆除导洞部分的内侧初次支护,施作二次衬砌。
该法的特点是:虽然开挖断面分块多,扰动大,初次支护全断面闭合的时间长,但每个分块在开挖后立即各自闭合,所以在施工中变形很小(现场实测表明,地表沉陷仅为短台阶法的一半);施工速度较慢,成本较高。
【工程实例1.1】 北京地铁西单车站施工
该工程是在繁华地区修建的大跨度、超浅埋、特大型地下工程,为三联拱双层岛式站台结构,如图1.11所示。车站通过的地层十分松散,自稳能力极差,埋深最大为6.0 m。车站全长260 m,高13.5 m,开挖宽度26.14 m。设计要求下沉值不得超过30 mm。
施工方案:在对施工方法进行比较后,决定采用如图1.12所示的眼镜法。其主要特点是:将车站主体结构分为三个洞,两侧洞分别采用眼镜法施工,形成空间,施作完二次衬砌,而后再用正台阶法施作中洞。采取“眼镜超前,化大为小,先侧后中,连环封闭”的施工原则,最大限度地控制地表下沉和对周边环境及结构物的影响。

图1.11 车站结构形式

图1.12 眼镜法施工图(数字为施工顺序)
眼镜法的施工关键是眼镜(大导坑)的开挖和支护。由于眼镜多处于砂层和黏土层中,所以在开挖之前,对导坑周围移动范围内的地层进行了小导管注浆加固,开挖时保留核心土,以提高工作面的稳定性。
施工过程:首先进行两侧边洞①、②的施工,边洞内采用正台阶法开挖,上台阶超前3.5 m,开挖后及时支护并形成封闭环,如图1.13(a)所示。两侧眼镜形成封闭环后,开始开挖上部半断面。这是整个施工过程中一次性开挖支护的最大断面。施工中,在拱部设置了φ115 mm的大管棚超前支护,并辅以小导管注浆,同时保留核心土;把上半断面的拱部格栅与眼镜格栅牢固连接好。根据施工步骤,两侧洞开挖后进行二次衬砌和施工站柱[图1.13(b)],作好二次衬砌后,再开挖中洞。中洞开挖时,先开挖拱部,预留核心土,待拱部衬砌好后再挖去核心土,并封闭仰拱,如图1.13(c)所示。中洞的初期支护由格栅、钢筋网和喷混凝土组成,并形成封闭环形。初次支护落在两侧洞的柱梁顶部,并连接牢固。

图1.13 地铁车站施工过程
4)中隔壁法
该法主要适用于地层较差和不稳定岩体,且地面沉降要求严格的地下工程施工。通常是将整个断面分为左右两部分,中间用临时支撑进行支护,形成中间侧壁,故称中隔壁法,又称CD法(Center Diaphragm Method)。中隔壁两侧分别开挖,中间不设横支撑。两侧断面都较大时,可将每侧断面分为2或3个台阶,形成台阶法开挖,如图1.14(a)所示。
地下工程的设计断面宽度较大,围岩很不稳定,侧向变形大,仅竖向设置中隔墙难以保证围岩的稳定时,就需采用交叉中隔墙施工法,又称为CRD法(Cross Rib Diaphragm Method),即在水平方向再设置1~2层横向支撑(临时仰拱),如图1.14(b)、(c)所示。
交叉中隔墙施工法与CD法相比,增加了横向支撑,所以必须采用台阶式(分层)开挖,开挖的顺序如图中的数字所示。也可以从上向下分层施工,在同一层中再分左右顺序开挖。
CD法和CRD法是大跨度(20 m以内)隧道或其他地下工程中应用较为普遍的方法。施工中应严格遵守正台阶法的施工要点,尤其要考虑时空效应,每一步必须快速,及时封闭成环。

图1.14 中隔壁法
【工程实例1.2】 北京饭店地下停车库施工
该车库设于北京饭店东、中、西楼前车场下,覆土厚6.2 m,采用暗挖法修建。东西全长271.0 m,南北总宽36.0 m,设计停车位506个。南侧毗邻在建的地铁王府井车站及区间,北侧紧临北京饭店大楼,其最近距离不到2.0 m。停车库结构以上雨水、污水、热力、电力等地下管线纵横交错。车库主体结构为地下二层,五跨四柱拱形结构,如图1.15所示。
主体结构断面采用复合衬砌连拱结构,初期支护为网喷混凝土,厚30 cm;二次衬砌为防水钢筋混凝土,最小厚度50 cm,底板厚110 cm。立柱采用φ800 mm钢管混凝土。

图1.15 主体五跨结构断面图
针对本工程多跨连拱结构的特点,施工方案选择遵循的原则是:稳妥可靠、万无一失;地面沉陷不得大于30 mm,并做到所有地下管线正常使用;保证饭店大楼的沉降及倾斜满足控制标准,即倾斜率≯29‰;充分利用我国现有的浅埋暗挖成熟技术;最大限度地减少施工对饭店营业的干扰。根据这些原则,经多方案比较,决定采用如图1.16所示的施工方案。

图1.16 五跨结构施工方案
施工顺序:主体五跨结构断面的施工顺序如图1.17所示(图中数字为施工顺序)。
第1步:采用CRD法,按1~6顺序对称修建左、右边孔,包括开挖、支护。
第2步:边孔二衬完成后,采用CRD法,按7~12顺序修建中孔,包括开挖、支护等。
第3步:中孔二衬完成后施工两侧孔,采用上弧导开挖13和14,并及时支护。
第4步:完成整个结构。

图1.17 五跨结构施工步骤图
1.2 钻眼爆破作业
钻眼爆破是开凿岩石地下工程中最基本的施工作业方法。钻眼爆破的要求是:断面形状尺寸符合设计要求;矸石块度大小适中,便于装岩;掘进速度快,钻眼工作量小,炸药消耗量最小;有较好的爆破效果,表面平整,超欠挖符合要求,对围岩的震动破坏小。
1.2.1 钻眼工作
1)钻眼机具
用于开挖地下工程的钻眼设备种类较多,按其支撑方式分,有手持式、支腿式和台车式;按动分力,有风动、电动、液压三种。手持式目前我国已不采用,电动凿岩机对硬岩适应性较差而选用较少,使用最普遍的是风动凿岩机(表1.1)。液压凿岩机近年来得到迅速发展,它与凿岩台车相配合,使用数量在逐渐增加。以凿岩台车为基础研制的凿岩机器人业已成功并已有样机问世。
表1.1 常用风动凿岩机技术特征表

(1)气腿式风动凿岩机
气腿式风动凿岩机的结构和操作方式如图1.18所示。气腿式凿岩机一般都为中低频凿岩机,较硬岩石中使用时,应选冲击功、扭矩相对较大些的机型,如YT-28型。

图1.18 气腿式凿岩机外形图及操作方式
1—钎子;2—主机;3—注油器;4—气腿;5—压风软管;6—水管
使用气腿式凿岩机可多台凿岩机同时钻眼,钻眼与装岩平行作业,机动性强,辅助工时短,便于组织快速施工。工作面凿岩机台数:按巷道宽度来确定时,一般每0.6~0.8 m宽配备一台;按巷道断面面积确定时,在坚硬岩石中常为2.0~2.5 m2配备一台,在中硬岩石中可按2.5~3.5 m2配备一台。在高度较大的地下工程,采用多台凿岩机同时工作时,可使用自制凿岩台架。
钻眼前应做好各项准备工作。测量人员应给出准确的掘进方向。钻眼时应保证眼位准确。
掘进工作面同时使用风、水的设备较多,并且拆卸、移动频繁,为提高钻眼工作效率和各工序互不影响,必须配备专用的供风、供水设施,并予以恰当的布置。一般情况下,工作面风、水管路的布置如图1.19所示。它的主要特点是在工作面集中供风、供水,将分风、分水器设置在巷道两侧,这样既方便了钻眼工作,又不影响其他工作。分风、分水器通过集中胶管与主干管连接,便于移动,并分别采用滑阀式和弹子式阀门,使风动设备装卸方便。

图1.19 工作面风水管路布置
1—压风干管;2—压风总阀门;3—供风集中胶管;4—分风器;5—供风小胶管;6—供水干管;7—供水总阀门;8—供水集中胶管;9—分水器;10—供水小胶管
(2)凿岩台车
凿岩台车是将一台或多台液压凿岩机连同推进装置安装在钻臂导轨上,并配以行走机构,使凿岩作业实现机械化的施工设备,具有效率高、机械化程度高、可钻中深炮孔、钻眼质量高等优点。随着隧道施工机械化水平的不断提高,台车式钻眼设备得到了越来越多的使用。

图1.20 凿岩台车外形图
凿岩台车一般由行走部分、钻臂和凿岩推进机构三部分组成。台车的钻臂数目可为1~4个,常用2~3个,一次钻深为2~4 m。使用时,需根据断面大小、岩石硬度、施工进度要求、其他配套设备等情况进行优化选择。
我国生产的凿岩台车型号较多,按其行走方式可分为轨轮式(如DGJ-2、CGJ-2、CGJ-3型)、胶轮式(如CTJ-3型)和履带式(如CTHl0-2F型);按其结构形式可分为实腹式和门架式。实腹式轮胎行走的台车如图1.20所示,更多形式各异的台车可通过网络搜索而得。
轨轮式适用于中小型断面,易与装岩设备发生干扰;门架式适用于大型断面隧道,装岩设备可从门架内进出工作面,二者干扰少,有利于快速施工。米花岭隧道钻孔深3.8 m,使用了TH563-5型门架式四臂台车。秦岭隧道Ⅱ线平导施工中,前期采用了TH178轮式三臂液压台车打眼,由于与运岩车及其他车辆避让困难,每500 m要增设一处会车道,放炮时台车停放在会车道上,运渣车过会车道后才往工作面开,工作面易形成空当,不利于快速施工。后改用了TH568-10门架式三臂凿岩台车打眼,隧道内每1.0~1.2 km设一处会车道,放炮时台车退回200 m即可。工作面矸石未装完时,台车可开在附近做准备工作,这样工序紧凑,实现了快速施工。
20世纪70年代末,芬兰、法国、美国、日本等近20个国家开始了凿岩机器人的研究。它是将信息技术、自动化技术、机器人技术应用于凿岩台车中的先进凿岩设备。国内于2000年成功开发出了国内第一台计算机控制的凿岩机器人,其功能和性能达到了国际先进水平。
2)钻眼工具
凿岩工具指钎杆和钎头,其作用是传递冲击功和破碎岩石。钎头和钎杆连成一体的称为整体钎子,分开组合的称为活动钎子。工程中多用活动钎子,如图1.21所示。冲击式凿岩用的钎杆为中空六边形或中空圆形,圆形钎杆多用于重型钻机或深孔接杆式钻进。

图1.21 活动钎子
1—活动钎头;2—锥形梢头;3—钎身;4—中心孔;5—钎肩;6—钎尾
活动钎子由活动钎头和钎杆组成,二者用锥形连接。钎杆后部的钎尾插入凿岩机的转动套筒内,是直接承受冲击力和回转力矩的部分。钎肩起限制钎尾进入凿岩机头长度的作用,并便于卡钎器卡住钎子,防止钎子从机头内脱出。钎杆中央有中心孔,用以供水冲洗岩粉。
活动钎子可提高钎杆的利用率,钎头修磨时可减少钎杆搬运量,并有利于专门工厂研制高质量的硬质合金钎头,以适用不同岩性和凿岩机对钎头的不同需要。
钎头形式较多,但最常用的是一字形、十字形和柱齿形钎头,如图1.22所示。成品钎头镶有硬质合金片或球齿。一字形结构简单、凿岩速度较高、应用最广,适用于整体性较好的岩石。十字形较适用于层理、节理发育和较破碎的岩石,但结构复杂、修磨困难、凿岩速度略低。柱齿形钎头是一种新发展起来的钎头,排渣颗粒大、防尘效果好、凿岩速度快、使用寿命长,适用于磨蚀性高的岩石。钎头应根据钻眼的直径和岩石的硬度大小选择。一般气腿式凿岩机用钎头直径多为38~43 mm,台车多用45~55 mm。

图1.22 活动钎头结构示意图
1.2.2 爆破工作
1)掏槽方式
在全断面一次开挖或导坑开挖时,只有一个临空面,必须先开出一个槽口,作为其余部分新的临空面,以提高爆破效果。先开这个槽口称为掏槽。掏槽的好坏直接影响其他炮眼的爆破效果。掏槽形式分为斜眼和直眼两类,每一类又有各种不同的布置形式。
斜眼掏槽适用范围广,爆破效果较好,所需炮眼少。但炮眼方向不易掌握,孔眼受断面大小的限制,碎石抛掷距离大。直眼掏槽的特点是:所有炮眼都垂直于工作面且相互平行,技术易于掌握,可实现多台钻机同时作业;不装药的炮眼可作为装药眼爆破时的临空面和补偿空间,有较高的炮眼利用率;不受断面大小限制;但总炮眼数目多,炸药消耗量大。
(1)锥形掏槽
锥形掏槽是一种斜眼掏槽,爆破后槽口呈角锥形,常用于坚硬或中硬整体岩层。根据孔数的不同,有三眼锥形和四眼锥形,如图1.23所示。这种掏槽不易受工作面岩层层理、节理及裂隙的影响,掏槽力量集中,故较为常用,但打眼时其眼孔方向掌握较难。

图1.23 常用锥形掏槽
(2)楔形掏槽
楔形掏槽(图1.24)适用于各种岩层,特别是中硬以上的稳定岩层。楔形掏槽因其掏槽可靠、技术简单而应用最广。槽口水平时称为水平楔形如图1.24(a)所示。槽口垂直时称为垂直楔形,如图1.24(b)所示。炮眼底部两眼相距200~300 mm,炮眼与工作面相交角度为60°左右。断面较大、岩石较硬、眼孔较深时,还可采用复楔形,如图1.24(c)所示,其内楔眼深较小,装药也较少,并先行起爆。一般情况下采用垂直楔形较多。

图1.24 楔形掏槽
(3)单向掏槽
单向掏槽适用于中硬或具有明显层理、裂隙或松软夹层的岩层。根据自然弱面的赋存情况,可分别采用底部、侧部或中部掏槽,如图1.25所示。底部掏槽中炮眼向上的称为爬眼,向下的称为插眼。侧部掏槽一般向外倾斜,倾斜角度为50°~70°。

图1.25 单向掏槽
(4)角柱式掏槽
角柱式掏槽是应用最为广泛的直眼掏槽方式,适用于中硬以上岩层。角柱式掏槽各眼相互平行且与工作面垂直,其中有的眼不装药,称为空眼。根据装药眼、空眼的数目及布置方式的不同,有各种各样的角柱形式,如图1.26所示。

图1.26 角柱式掏槽

图1.27 螺旋式掏槽
(5)螺旋式掏槽
螺旋式掏槽的所有装药眼都绕空眼呈螺旋线状布置(图1.27),1~4号孔顺序起爆,逐步扩大槽腔。该方式爆破效果较好,优点是炮眼较少而槽腔较大,后继起爆的装药眼易将碎石抛出。空眼距各装药眼(1、2、3、4号眼)的距离可依次取空眼直径的1~1.8倍、2~3倍、3~3.5倍、4~4.5倍。遇到难爆岩石时,也可在1、2号和2、3号眼之间各加一个空眼。空眼比装药眼深30~40 cm。
2)爆破参数
(1)炸药消耗量
炸药消耗量包括单位消耗量和总消耗量。爆破每立方米原岩所需的炸药量称为单位炸药消耗量,每循环所使用的炸药消耗量总和为总消耗量。
单位炸药消耗量(q)可根据经验公式计算或者根据经验选取,也可根据炸药消耗定额确定。经验公式有多种,此处仅介绍形式较简单的普氏公式:

按定额选用时需注意,不同行业的定额指标不完全相同,施工时需根据工程所属行业选用相应的定额。隧道施工的定额消耗量见表1.2。
表1.2 开挖1 m3原状岩石的炸药用量 单位:kg

注:表中分子为硝铵炸药用量,分母为62%硝化甘油炸药用量。
单位炸药消耗量确定后,根据断面尺寸、炮眼深度、炮眼利用率即可求出每循环所使用的总炸药消耗量。确定总用量后,还需将其按炮眼的类别及数目加以分配(按卷数或质量)。掏槽眼因只有一个临空面,药量可多些;周边眼中,底眼药量最多,帮眼次之,顶眼最少。扩大开挖时,由于有2~3个临空面,炸药用量应相应减少,两个临空面时减少40%,三个临空面时可减少60%。
(2)炮眼数目
炮眼数目主要与挖掘的断面大小、岩石性质、炸药性能、临空面数目等有关。目前尚无统一的计算方法,常用的有以下几种:
①根据掘进断面面积S(m2)和岩石坚固性系数f估算,有
![]()
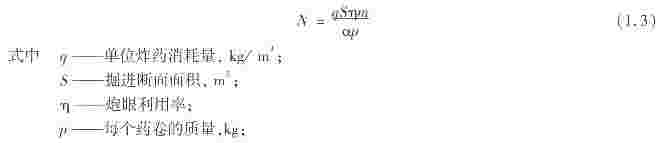
②根据每循环所需单位炸药消耗量与每个炮眼的装药量计算,有

m———每个药卷的长度,m;
α———炮眼的平均装药系数,取0.5~0.7。③按炮眼布置参数进行布置确定,即按掏槽眼、辅助眼、周边眼的具体布置参数进行布置,然后将各类炮眼数相加即得。
(3)炮眼深度
炮眼深度指炮眼眼底至临空面的垂直距离。炮眼深度与掘进速度、采用的钻孔设备、循环方式(浅孔多循环、深孔少循环)、断面大小等有关。根据经验,炮眼深度一般取掘进断面高(或宽)的0.5~0.8倍;围岩条件好及断面小时,对爆破夹制力大,系数取小值。也可根据所使用的钻眼设备确定,采用气腿式凿岩机时,炮孔深度一般为1.5~2.5 m;使用中小型台车或其他重型钻机时,孔深一般为2.0~3.0 m;使用大型门架式凿岩台车时,孔深可达4~5 m。
(4)炮孔直径
炮眼直径对钻眼效率、炸药消耗、岩石破碎块度等均有影响。合理的孔径应是在相同条件下,能使掘进速度快、爆破质量好、费用低。采用不耦合装药时,孔径一般比药卷大5~7 mm。目前,国内药卷直径有32、35、45 mm等几种,其中32 mm和35 mm的使用较多,故炮孔直径多为38~42 mm。
3)炮眼布置
掘进工作面的炮眼,按其用途和位置不同分为掏槽眼、辅助眼和周边眼三类。各类炮眼应合理布置,布置方法和原则有以下几点:
①首先选择掏槽方式和掏槽眼位置,然后布置周边眼,最后根据断面大小布置辅助眼。
②掏槽眼一般布置在开挖面中部或稍偏下,并比其他炮眼深10~20 cm。
③帮眼和顶眼一般布置在设计掘进断面轮廓线上,并符合光爆要求。在坚硬岩石中,眼底应超出设计轮廓线10 cm左右,软岩中眼口应在设计轮廓线内10~20 cm。
④底眼眼口应高出底板水平15 cm左右;眼底超过底板水平10~20 cm,眼深宜与掏槽眼相同,以防欠挖;眼距和抵抗线与辅助眼相同。
⑤辅助眼在周边眼和掏槽眼之间交错均匀布置,圈距一般为65~80 cm,炮眼密集系数一般为0.8左右。
⑥周边眼和辅助眼的眼底应在同一垂直面上,以保证开挖面平整。
⑦炮眼布置要均匀,间距通常为0.8~1.2 m。
4)装药结构与填塞
装药结构指炸药在炮眼内的装填情况,主要有耦合装药、不耦合装药、连续装药、间隔装药、正向起爆装药及反向起爆装药等。
不耦合装药时,药卷直径要比炮眼直径小,目前多采用此种。间隔装药是在药卷之间用炮泥或木棍或空气隔开,这种装药爆破震动小,故较适用于光面爆破等抵抗线较小的控制爆破以及炮孔穿过软硬相间岩层时的爆破;若间隔较长不能保证稳定传爆时,应采用导爆索起爆。正向起爆装药是将起爆药卷置于装药的最外端,爆轰向孔底传播,反向装药与正向装药相反。反向装药由于爆破作用时间长,破碎效果好,故优于正向装药。
在炮孔孔口一段应填塞炮泥。炮泥通常用黏土或黏土加砂混合制作,也可用装有水的聚乙烯塑料袋作充填材料。填塞长度约为1/3的炮眼长度;当眼长小于1.2 m时,填塞长度需有眼长的1/2左右。
5)起爆
起爆方法有电起爆和非电起爆两类。电起爆系统由放炮器、放炮电缆、连接线、电雷管组成。非电起爆有火雷管法、导爆索法和非电导爆管法等。目前常用的是电雷管、导爆索雷管起爆法。起爆顺序一般为:掏槽眼→辅助眼→帮眼→顶眼→底眼。
起爆电源有发爆器起爆和交流电源起爆两种。雷管的连线方式有串联、并联、串并联、并串联等。用电雷管起爆时,要认真检查电爆网路,以免出现瞎炮(即由于操作不良、爆破器材质量等原因引起的药包不爆炸)。出现瞎炮时应严格按照规定的方法处理。瞎炮处理完毕之前,不允许继续施工,处理瞎炮应由专人负责,无关人员撤离现场。
6)光面爆破
为了减少超挖,减轻爆破对围岩的扰动,获得既符合设计要求又平整、稳定的围岩,降低工程成本,掘进施工中应采用光面爆破。
光面爆破是指沿隧道设计轮廓线布置间距较小、相互平行的炮眼,控制每个炮眼的装药量,采用不耦合装药,同时起爆,使炸药的爆炸作用刚好产生炮眼连线上的贯穿裂缝,使爆破面沿周边眼崩落出来,在围岩上形成较为平整的岩面。
光面爆破质量一般应达到3条标准:岩石上留下具有均匀眼痕的周边眼数应不少于周边眼总数的50%;超挖尺寸不得大于150 mm,欠挖不得超过质量标准规定;岩石上不应有明显的炮震裂缝。隧道施工规范的规定是:眼痕保存率,软岩中要≥50%,中硬岩中要≥70%,硬岩中要≥80%;爆破块度应与所采用的装岩机相适应,以便于装岩。
为搞好光面爆破,应采取以下技术措施:
①合理布置周边眼。周边眼布置参数包括眼距E和最小抵抗线W,二者既相互独立又相互联系。E值与岩石的性质有关,一般为40~70 cm,层理、节理发育、不稳定的松软岩层中应取较小值。W值与E值相关,二者的比值m(m= E/W,称为周边炮眼密集系数,在隧道中称为相对距离)一般为0.8~1.0,软岩时取小值,硬岩和断面大时取大值。
②合理选择装药参数。根据经验,周边眼的装药量为普通装药量的1/3~2/3,并采用小直径药卷,低密度、低爆速炸药。装药结构采用不耦合装药或空气柱装药。小直径药卷在孔中可连续装填,也可用导爆索连接、分段装药。
③精心实施钻爆作业。周边炮眼应相互平行,开孔位置准确,炮眼向外偏斜角度不要超过5°。最外圈辅助眼与周边眼宜采用相近的斜率钻眼。装药质量应符合设计要求。
④顶部和帮部周边眼采取一些特殊的措施和新技术,如切槽法、缝管法、聚能药包法等。
7)爆破图表
爆破图表是指导和检验钻眼爆破工作的技术性文件,必须根据具体条件认真编制。施工过程中,爆破图表要根据地质条件的变化不断修正、完善。
爆破图表包括炮眼布置图、爆破参数表和爆破技术经济指标表,如图1.28、表1.3和表1.4所示。

图1.28 巷道炮眼布置图
表1.3 爆破参数表

表1.4 爆破技术经济指标表

1.3 岩石装运工作
1.3.1 装渣工作
装渣方式有人力和机械两种。机械装渣速度快、效率高,是主要的装渣方式。
装渣机械种类繁多,按取岩构件名称分,有铲斗式、耙斗式、蟹爪式、立爪式等;按行车方式分,有轨轮式、胶轮式、履带式以及履带与轨道兼有式;按驱动方式分,有电动、风动、液压、内燃式;按卸岩方向分,有后卸式、前卸式、侧卸式等。
轨轮式装渣机须铺设行走轨道,因而其工作范围受到限制,一般只适用于断面较小的平洞。为了改进其缺点,有的轨轮式能转动一定角度,以增加其工作宽度;必要时可采用增铺轨道来满足更大的工作宽度要求。胶轮式装渣机移动灵活,工作范围不受限制,在大断面导洞及全断面隧道的施工中,采用无轨运输时,可使用大型胶轮式铲车装渣。履带走行的大型电铲则适用于特大断面的隧道。
1)铲斗前卸式装渣机
这种装渣机多采用轮胎行走。轮胎行走的铲斗式装渣机多采用铰接车身,燃油发动机驱动;装渣机转弯半径小,移动灵活;铲取力强,铲斗容量大,达0.76~3.8 m3,工作能力强;可侧卸也可前卸,卸渣准确。但燃油废气会污染洞内空气,需配备净化器或加强隧道通风,常与装载汽车配套用于较大断面的隧道工程,如图1.29所示。

图1.29 轮胎行走铲斗式装渣机
2)耙斗式装渣机
耙斗装渣机是一种结构简单的装渣设备,为电动轨轮式,在矿山中应用最为广泛。
耙斗装渣机主要构成如图1.30所示。其工作原理是:耙斗装岩机在工作前,用卡轨器将机体固定在轨道上,并用固定楔将尾轮悬吊在工作面适当位置。工作时,通过操纵手把启动行星轮或摩擦轮传动装置,驱使主绳滚筒转动,并缠绕钢丝绳牵引耙斗把渣石耙到卸料槽。此时,副绳滚筒从动并放出钢丝绳,渣石靠自重从槽口卸载入渣车。然后使副绳滚筒转动,主绳滚筒变为从动,耙斗空载返回工作面。这样,耙斗往复运行,不断进行装渣。

图1.30 耙斗装岩机总装示意图
1—连杆;2—主、副滚筒;3—卡轨器;4—操作手把;5—调整螺丝;6—耙斗;7—固定楔;8—尾轮;9—耙斗钢丝绳;10—电动机;11—减速器;12—架绳轮;13—卸料槽;14—矿车
耙斗装渣机常用型号有P-15、P-30、P-60、YP-90等,其耙斗的容积为0.1~0.9 m3不等,最常用的是0.3,0.6,0.9 m3。如YP-90B型,耙斗容积0.9 m3,装岩能力为120~150 m3/h,900 mm轨距,适用于高度3 m以上、断面12 m2以上的平洞或斜洞。
3)铲斗侧卸式装渣机
这种装渣机是正面铲取岩石,在设备前方侧转卸载,行走方式为履带式,如图1.31所示。

图1.31 侧卸式装岩机外形图
与铲斗后卸式比较,它的铲斗插入力大、斗容大、提升距离短;履带行走机动性好,装渣宽度不受限制,铲斗还可兼做活动平台,用于安装锚杆和挑顶等。
侧卸式装岩机装岩效率比较高,如ZLC-60型的斗容为0.6 m3,生产能力为90 m3/h,常将其与转载机配合使用,形成以侧卸式装渣机为主的机械化作业线(图1.32)。装渣机铲取的岩石直接卸到停靠在掘进工作面前部的料仓中,通过转载机再转卸到渣车中,这样可以连续装满一列渣车,大大提高装运效率。

图1.32 侧卸式装岩机与转载机配套示意图
1—侧卸式装岩机;2—支撑式胶带转载机;3—凿岩台车;4—矿车组;5—电机车;6—支撑
4)爪式装渣机
爪式装岩机是为实现快速掘进施工而发展起来的一种可连续工作的高效装岩机。按扒爪的布置形式,有蟹爪式、立爪式和蟹立爪式。蟹爪式如图1.33所示,由蟹爪、履带行走部分、输送机、液压系统和电气系统等部分组成。在前方倾斜的受料盘上装有一对由曲轴带动的蟹爪式扒爪。装岩时,受料盘插入岩堆,同时两个蟹爪交替将岩渣扒入受料盘,并由刮板输送机将岩渣装入机后的运输车内。

图1.33 蟹爪式装岩机
装岩机的选择与平洞断面的大小、运输方式及轨距、施工速度、转载和运输设备供应、操作维修水平以及机械化配套等因素有关。所选装岩机的类型和能力必须要与其他设备配套合理,以充分发挥装岩机的单机能力和设备的综合能力,并保证施工安全,获得合理的技术经济指标。在大型机械化配套施工及快速掘进时,宜选用大容积铲斗装渣机配以大型斗车装渣或选用蟹爪式连续装渣机配以胶带转载机的转载式装渣,转载机可一次连续装满数个斗车,节省大量调车时间。如秦岭隧道Ⅱ线平导施工中,使用了ZL-120型电动立爪式装渣机及ITC312H4型挖装机(装渣能力为250 m3/h),创造了硬岩独头月掘进456 m的好成绩。
1.3.2 运输工作
地下工程施工运输的主要任务是运送渣石和材料。运输方式分为有轨运输和无轨运输两种。有轨运输和无轨运输各有利弊,施工时应根据平洞长度、开挖方法、机具设备、运量大小等具体情况确定。大断面平洞由于空间大,可使用大型装载车辆进入且错车方便,故多为无轨运输;断面较小、长度较大时多采用有轨运输,如矿山地下工程。铁路、公路交通隧道则二者都有使用,一般认为,长大单线隧道宜用有轨运输。选择运输方式时要满足:运输能力大于开挖能力;调车容易、便捷;有效时间利用率高;作业环境良好等条件。
1)有轨运输
有轨运输是铺设轨道,用轨道式运输车出渣和进料。有轨运输既适应大断面开挖的工程,也适用于小断面开挖的工程,是一种适应性较强且较为经济的运输方式。有轨运输多采用蓄电池式电机车(图1.34)、架线式电机车或内燃机车牵引,运输距离较短或无牵引机械时也可使用人力推车运输。蓄电池式机车牵引的优点是无废气污染,但电瓶需充电,能量有限,必要时应增加电瓶车台数。内燃机车牵引能力较大,但存在噪声和污染问题,须加强洞内通风。
运输车辆按形式分有斗车、窄轨矿车、梭车、平板车等。斗车结构简单,使用方便,适应性强,是较经济的运输方式。按其容量大小可分为小型斗车(容量小于3 m3)和大型斗车(单车容量可达20 m3)。小型斗车结构简单、轻便灵活、满载率高、调车便利,一般均可人力翻斗卸渣。大型斗车须用动力机车牵引,并配用大型装渣机械才能保证快速装运。窄轨矿车在地下矿山应用最多,形式有固定车厢式、翻转车

图1.34 蓄电池式电机车
厢式等。平板车主要用于运送材料和设备。
轨道要根据所选用的设备选择,小型设备一般用轻型钢轨,轨距为600 mm;大型设备则须用重轨(38 kg/m以上)和900 mm轨距。洞内外轨道、岔线、渡线布置要有利于调车、装渣、支护、装料、卸载等作业。洞内外可根据需要铺设单线或双线轨道。
2)无轨运输
无轨运输是采用各种无轨运输车或者皮带输送机出渣和进料。大断面隧道施工基本上采用无轨车辆运输,矿山主要是采用皮带输送机或小型胶轮车辆运输。
无轨车辆运输设备主要有自卸汽车(载重量2~25 t)、手推车等。无轨运输不需铺设轨道,无电瓶车充电、车辆掉道等问题,其最大优点是比有轨运输施工速度快,劳动强度比有轨运输低。另外,无轨运输对洞口场地要求不高,对洞外上坡、远距离弃渣、场地狭窄等困难地形的适应性强,因此得到较多应用,如我国的都军山、大瑶山隧道及日本的九鬼、三户隧道等。但其最大缺点是由于运输车辆排放的废气多,洞内空气污染严重,通风费用大,尤其在单线长距离施工时,增加了通风难度;其次,如果施工组织不合理,易产生出渣车与衬砌车的干扰。因此,无轨运输时必须加强通风,要多开工作面,长隧短打,缩短独头通风距离。掘进与衬砌要拉开距离并合理组织,洞内各种管线应尽量在拱顶及侧帮布置,以减少对车辆的干扰。
1.3.3 调车工作
有轨运输和机械装渣时,选用合理的调车设施和方法,对提高施工速度有很大影响,良好的调车应使装渣机不间断地连续工作。有轨运输中,调车方法有固定调车场式、浮放道岔式、平行调车器式等,施工中应根据具体情况选用。
1)固定调车场调车
在铺设单轨的平洞中每隔一定距离(60~100 m)铺设一个错车场(即一段双轨),以存放空车,如图1.35所示。在双轨平洞内,可利用道岔调车,如图1.36所示。

图1.35 单轨固定错车场调车
1—装岩机;2—正在装岩的斗车;3—等待装岩的空车;4—错车场;5—空车;6—重车

图1.36 双轨道岔调车
2)浮放道岔调车
浮放道岔不仅在钻爆法施工时采用,而且在掘进机施工的隧道也可使用。
浮放道岔调车是利用搭设在原线路上的一组完整的道岔进行调车。浮放道岔结构简单、移动方便,调车距离可随需要及时调整。常用的浮放道岔有钢板对称式、双轨错车场式等。钢板对称浮放道岔的结构和调车方法如图1.37所示。

图1.37 钢板对称浮放道岔及调车方法
双轨错车场式实质上是由两个对称道岔和一段直线组合而成的调车场(会让站),随着平洞的延伸,可每2~3 km增设一幅。这种道岔的结构和布置方式如图1.38所示。

图1.38 双轨错车场式浮放道岔的布置及调车方法
3)移车器式调车
该类调车方法是在距工作面10~20 m处安设移车器,将空车平移至装载线路上进行装车的方法。横向移车器有平移式、吊车式等。
平移式调车器由底架、车架和车轮组成,如图1.39(a)所示。工作面的矿车装满推出后,空车线上的空车通过调车器平移到装车线上继续装车。

图1.39 移车器调车
吊车式调车器的调车方式如图1.39(b)所示,它在单轨或双轨巷道内都可使用。双轨使用时直接将空车线上的空车移动到装车线上去;单轨使用时,可提前将空车吊在空中,移位到巷道一侧,待工作面重车推出后,再将空车移到装车线上,推到工作面装车。
4)渣石转载
为了进一步减少调车时间,提高装载机的工时利用率,装渣机不直接将渣石卸入运渣车,而是先装入转载机,再由转载机卸入运渣车。与错车场比较,可将装渣机的工时利用率由30%~40%提高到60%~70%。
转载设备有胶带转载机和斗式转载机两种,前者采用较多(图1.40)。装渣时,转载机下由电机车推入一组空车,采用反复调车的方法,增加连续装车的数目,连续调车数目为2n-1(n为转载机下能容纳的渣车数目)。

图1.40 胶带转载机转载示意图
胶带转载机按其结构形式,大体上可分为悬臂式、支撑式和悬挂式。悬臂式转载机长度较短,结构简单,行走方便,能适用弯道装渣,辅助工作量小;但是一次容纳渣车数量少,连续转载能力较小。欲使转载机的臂下能容纳更多的渣车,可采用支撑式转载机(参见图1.32)。支撑方式有门框式支撑架和油缸式支腿两种。门框式要铺设辅助轨道,供支撑架行走。
1.4 不良地质条件下的施工
不良地质条件是指处于偏压、断层、高应力、岩爆、松软、流沙、瓦斯溢出等不利于地下工程施工的不良地质环境。不良地质地段的变异条件非常复杂,施工过程中应经常观察地层与地质条件的变化,监测、检查支护与衬砌的受力状态,及时排险,防止突发事故的发生。另外,还要做好超前探测工作。技术要求和作业应以“短开挖、弱爆破、强支护、早衬砌、勤检查、稳步前进”为指导原则。
1.4.1 破碎带及断层带施工
破碎带及断层带施工前,应切实掌握所遇断层带的所有情况。当断层破碎带的宽度较大、破坏程度严重、破碎带的充填物情况复杂且有较多地下水时,应在隧道一侧或两侧开挖调查导洞。调查导洞穿过断层后,宜在较好的岩层中掘进一段距离再转入正洞,开辟新的工作面,以加快施工进度。如设有平行导洞时,可超前于正洞,预先了解正洞断层的实际地质情况,并有利于排水。
1)选择合理施工方法
应根据有关施工技术与机具设备条件、进度要求、材料供给等,慎重选择通过断层地段的施工方法。当断层带内充填软塑状的断层泥或特别松散的颗粒时,比照松散地层中的超前支护,采用先拱后墙法。岩体破碎严重或涌水量较大时,应先采用工作面注浆进行加固堵水。
2)开挖施工注意事项
①断层有水补给时,应在地表设置截排系统引排。对断层承压水,应在每个掘进循环中,向前钻凿不小于2个超前钻孔,其深度宜在4 m以上。坚持“有疑必探”的原则。
②随工作面的向前推进挖好排水沟,并根据岩质情况,必要时加以铺砌。如为反坡掘进,除应准备足够的抽水设备外,还应安排适当的集水坑。
③洞壁或洞顶有水流出时,应凿眼安置套管集中引排,使其不漫流。
④各施工工序之间的距离宜尽量缩短,并尽快地使全断面衬砌封闭,以减少岩层的暴露、松动和地压增大。
⑤采用上下导洞、先拱后墙法施工时,其下导洞不宜超前过多,并改用单车道断面,掘进后随即将下导洞予以临时衬砌。
⑥采用爆破法掘进时,应严格掌握炮眼数量、深度及装药量。原则上应尽量减小爆破对围岩的震动。
⑦采用分部开挖法时,其下部开挖宜左右两侧交替作业。如遇两侧软硬不同时,应用偏槽法开挖,按先软后硬顺序交错进行。
⑧断层地带的支护应宁强勿弱,并应经常检查加固。
⑨断层破碎地带中,开挖后要立即喷射一层混凝土,并架设有足够强度的钢架支撑。
⑩衬砌应紧跟开挖面,衬砌断面应尽早封闭。
1.4.2 松散地层施工
松散地层的特点是:结构松散,胶结性弱、稳定性差,施工中极易发生坍塌,若有地下水时则更甚。松散地层施工方法的基本原则是:采用超前支护、先护后挖、密闭支撑、边挖边封闭。必要时可采用超前注浆预加固地层,以达到提高围岩自稳性的目的。
1)超前支护的方法
(1)超前支护类型
①超前锚杆或小钢管法。爆破前,将超前锚杆或小钢管打入掘进前方稳定的岩层内,外端支承在作为支护结构的锚杆上。超前锚杆(钢管)的长度一般为3.5~5.0 m,长者可达7.0 m;倾角一般为6°~12°;横向间距一般为0.2~0.4 m;若采用双层支护时,间距为0.4~0.6 m,其上下层应错开排列。纵向间距一般取1.0~1.5 m,最大不超过2.0 m。
②超前管棚法。如图1.41所示,使用外径φ40~108 mm或其他直径的无缝钢管插入围岩,一般在十分软弱的地层可直接将管顶入,或借助于手动液压千斤顶、凿岩机、液压钻的冲击力,将钢管顶入末端开挖的地层中去。直接顶入困难时需钻孔插入。钢管打入就位后,应及时向管内及周围压注水泥浆。超前管棚的倾角,一般选用5°~10°,钢管长度8~30 m不等,布置间距一般为2~2.5倍的钢管直径,前后管棚的搭接长度应大于3.0 m。
③超前小导管预注浆法。如图1.42所示,这是松散地层中施工使用较多的一种方法。在砂夹砾石、粗砂且有侵蚀性水的地层中,采用水泥砂浆压注;在粉、细砂地层或有侵蚀性水时,可压注化学浆液。施工时,先沿开挖断面周边布置压浆孔,其间距视围岩松散情况一般为0.6~0.8 m,压浆后要求在开挖断面外要有约0.1 m厚的加固层。小导管用φ30~50 mm、长3~6 m的钢管制作,钢管前端做成尖楔状,在管前部2.0~4 m范围内按梅花形布置φ6 mm的注浆孔,孔距100~150 mm,以便钢管顶入地层后对围岩空隙注浆。超前小导管预注浆中的钢管倾角,一般情况下同超前管棚法。前后两排小导管的搭接长度一般不小于1.0 m。

图1.41 超前管棚法

图1.42 超前小导管预注浆法
(2)超前支护法的开挖顺序
①先顶后墙:在超前支护保护下先开挖拱部并进行喷锚支护,然后再开挖下半部。
②分层开挖:采用台阶法开挖,层数及台阶层的长度视地质情况确定。台阶层至顶部的开挖高度受装渣机高度和凿岩台车的长钻杆向上垂直钻孔的要求所限制。
③留核心土开挖法:在极为软弱或破碎的地层,拱部采用环状开挖,留梯形核心土,以减小工作面的开挖高度,便于架设钢架支撑,挂网和喷射混凝土,缩短围岩的暴露时间,有利于增强顶部围岩和工作面的自稳能力。
(3)超前支护法施工注意事项
①合理运用微振动爆破,以免引起围岩过大的扰动和破坏。
②喷锚支护既要及时又要保证质量。
③采用半断面掘进时,掘进长度不大于2倍洞径时就应施作临时仰拱。
④及时检查、量测,对有异状或变形量较大处进行加固。
2)松散围岩分部开挖方法
遇到松散破碎地层时,隧道施工多采用导洞领先,先拱后墙,分部开挖法。
(1)插钎法
开挖时,用风锤或人力将2 m左右长的钢钎或短钢轨,沿最前一排支撑上缘向工作面打入,方向略向上斜,其间距可根据具体地质情况而定。
(2)插板法
适用于石屑堆积、沙层或软塑地层。一般用宽0.1 m左右,长0.8~1.0 m的长板,前端劈尖,板与板间应相互抵紧或适当错搭。在横梁上的上下两块板间,以木楔楔紧。工作面设置护板,开挖时由上而下拆除,向前掘进。
(3)钻钎护顶法
若采用一般插钎法打入极端困难,而且不易掌握方向、达不到护顶目的时,可运用钻钎护顶,不仅穿入地层速度较快,而且易于控制钻钎位置和方向。其方法是用凿岩机在横梁下缘向上倾斜(≮30°)钻入一排钢钎,钎长为1.5~2.0 m,间距一般为20~25 cm,钎尾用铅丝系于横梁上,然后在钢钎护顶下,自上而下边挖边支,排架间距50 cm。
插板和钻钎护顶法开挖顺序:单车道隧道宜采用上导坑先拱后墙法,起拱线以上用上导坑及分部扩大,起拱线以下用挖井法开挖边墙部位及灌注边墙;也可用短段拉中槽加背板和横撑的方法,分段施工边墙,并随即做好仰拱。双车道隧道则宜采用侧壁导坑先墙后拱法施工。
分部开挖施工应注意:上导坑与扩大部分之间的距离应尽量缩短,拱部衬砌要紧跟;在松散的碎石或砂层中开挖时,应准备草束或麻袋,随时堵塞缝隙,以免漏砂造成空洞,引起坍塌;支撑架设应预留沉落量;衬砌应隔适当距离设置沉降缝;无论松散地层中有无水,衬砌断面封闭后,均应向衬砌背后(包括仰拱下)压注水泥砂浆加固。
1.4.3 瓦斯地层施工
地下施工中经常会遇到CO2、CO、H2 S、NO2等有毒有害气体。这些有害气体,在矿井中总称为瓦斯,由于从煤(岩)层涌出的有害气体主要是沼气,因此习惯上将沼气称为瓦斯。
1)瓦斯浓度控制
地下工程施工中必须将瓦斯浓度控制在安全的限值。
①隧道总回风风流或一翼回风中,瓦斯浓度应小于0.75%。
②工作面风流中,瓦斯浓度达到1%时,必须停止用电钻打眼;放炮地点附近20 m以内,风流中的瓦斯浓度达到1%时,禁止放炮。
③开挖工作面风流中,瓦斯浓度达到1.5%时,必须停止工作,撤出人员,切断电源,进行处理;电动机或其开关地点附近20 m以内,风流中瓦斯浓度达到1.5%时,必须停止运转,撤出人员,切断电源,进行处理。
④因瓦斯浓度超过规定而切断电源的电气设备,都必须在瓦斯浓度降到1%以下时,方可开动机器,使用瓦斯自动检测报警断电装置的掘进工作面只准人工复电。
⑤停工后或风机停止运转,在恢复通风前,局部通风机及其开关附近10 m以内风流中,瓦斯浓度都不超过0.5%时,方可开动局部通风机。
2)施工技术安全措施
(1)施工方法
隧道通过瓦斯地区的施工方法,宜采用全断面开挖,因其工序简单、面积大、通风好,随掘进随衬砌,能够很快缩短煤层的瓦斯放出时间,缩小围岩暴露面,有利于排除瓦斯。
采用平行导坑施工时,不使用的横通道宜迅速封闭。由于平行导坑一般不衬砌,坑壁极不平整,在支撑背后容易积聚瓦斯。虽有强大风流,亦不易驱除干净。作为排除瓦斯回风流巷道,应特别注意对瓦斯浓度的检查,不准超过规定。
(2)电气设备安全技术
所有洞内机电设备,不论移动式或固定式都必须采用安全防爆类型;在工作面或回风巷道中,必须采用矿用防爆型照明灯;检修和迁移电气设备必须停电进行。测量仪表只准在瓦斯浓度1%以下的地点使用;蓄电池机车的电气设备,只准在车库内检修;电气设备的修理工作应在洞外进行;洞内各种机电设备的开关、保险丝盒等均应密闭。
照明电压不得超过127 V。输电线路必须使用密闭电缆。使用的灯头、开关、灯泡等照明器材必须为防爆型。使用手电筒及空气电池灯照明时,所有使用接触导电的部件,必须进行焊接;不准在导坑内进行装拆、敲打、碰击。
(3)进洞人员管理
工作人员进洞前必须进行登记,不准将火柴、打火机、损坏的头灯及其他易燃物品带入洞内;严禁穿化纤衣服进洞;携带工具应防止敲打、撞击,以免引起火花。
3)防治技术措施
①选择关键地点,对爆炸性混合气体进行监测。
②工作面附近应保持正常通风,防止瓦斯积聚。
③瓦斯排放技术:充分利用辅助坑道采用巷道式通风排放瓦斯,因这种通风方式风量大,收效快,施工简单;利用局扇正压排放瓦斯,将局扇安设在新鲜风流中,用风管将新鲜风流引向瓦斯排放地点,如坑道距离长,可采取局扇并、串联的方法提高风压。
1.4.4 流沙治理措施
流沙是沙土或粉质黏土在水的作用下丧失其内聚力后形成的,多呈糊浆状,对地下工程施工危害极大。由于流沙可引起围岩失稳坍塌,支护结构变形,甚至倒塌破坏。因此,治理流沙必先治水,以减少沙层的含水量为主。
1)加强调查,制订方案
施工中应调查流沙特性、规模,了解地质构成、贯入度、相对密度、粒径分布、塑性指数、地层承载力、滞水层分布、地下水压力和渗透系数等,并制订出切实可行的治理方案。
2)因地制宜,综合治水
隧道通过流沙地段,处理地下水的问题,是解决隧道流沙、流泥施工难题中的首要关键技术。施工时,应因地制宜,采用“防、截、排、堵”的治理方法。
①防:建立地表沟槽导排系统及仰坡地表局部防渗处理,防止降雨和地表水下渗。
②截:在正洞之外水源一侧,采用深井降水,将储藏丰富构造裂隙水,通过深井抽水排走,减少正洞的静水和动水压力,对地下水起到拦截作用。
③排:有条件的隧道在正洞水源下游一侧开挖一条洞底低于正洞仰拱的泄水洞,用以降排正洞的地下水,或采用水平超前钻孔真空负压抽水的办法,排除正洞的地下水。
④堵:采用注浆方法充填裂隙,形成止水帷幕,减少或堵塞渗水通道。
3)先护后挖、加强支护
开挖时,必须采取自上而下分部进行,先护后挖,密闭支撑,边挖边封闭,遇缝必堵,严防沙粒从支撑缝隙中逸出。也可采用超前注浆,以改善围岩结构,用水泥浆或水泥水玻璃为主的注浆材料注入,或用化学药液注浆加固地层,然后开挖。
在施工中,应观测支撑和衬砌的实际沉落量的变化,及时调整预留量。架立支撑时应设底梁并纵横、上下连接牢固,以防箱架断裂倾倒。拱架应加强刚度,架立时设置底梁并垫平楔紧,拱脚下垫铺牢固。支撑背面用木板或槽型钢板遮挡,严防流沙从支撑间逸出。在流沙逸出口附近较干燥围岩处,应尽快打入锚杆或施作喷射混凝土,加固围岩,防止逸出扩大。
4)尽早衬砌,封闭成环
流沙地段,拱部和边墙衬砌混凝土的灌筑应尽量缩短时间,尽快与仰拱形成封闭环。这样,即使围岩中出现流沙,也不会对洞身衬砌造成破坏。
1.4.5 岩爆地段施工
所谓岩爆,是指在开挖过程中,围岩突然猛烈释放弹性变形能,造成岩石脆性破坏,或将大小不等的岩块弹射或掉落,并伴有响声的现象。
围岩发生岩爆一般应满足三个条件:岩石属硬质岩,强度与最大地应力之比小于7;岩体完整性好,能储存较大的能量,一般岩体呈块状或厚层状整体结构;无地下水活动。
1)岩爆的特点
①岩爆是岩石内部能量突然释放的结果,故高应力区的坚硬岩石最易出现岩爆。
②岩爆发生时常伴有声音,有的虽不闻其声,但通过仪器仍可发现有声发射现象。
③多在开挖后数小时内发生,但有时也在较长时间后发生,或1~2个月,甚至更长。
2)岩爆地段的施工注意事项
①根据地质钻孔资料,预测硬岩地层的位置和厚度,及时了解地层的地下水活动情况。
②改变围岩物理力学性能,弱化围岩。向岩层表面喷水和向深部岩体注水,使水渗到岩体的内部空隙中,降低岩石强度和弹性模量,可消除岩爆或使其烈度降低。
③改善围岩应力条件,采用超前钻孔、松动爆破等方法卸压,降低围岩应力。
④强化围岩,采用多种围岩加固方法,及时进行支护。
⑤随时注意地层完整性和产状的变化,以判断有否发生岩爆的可能。
⑥对可疑地层进行岩石力学参数测试,一般抗压强度大于60 MPa的硬岩易发生岩爆。
⑦有岩爆现象的地层应采取测压措施,以便对岩爆发生的可能性进行预测和监控。
⑧由于岩爆一般在爆破后1 h左右比较激烈,故爆破后施工人员应躲避在安全处,待激烈的岩爆之后再进行施工;岩爆产生的松动石块必须清除,以保证施工安全。
⑨如设有平行导坑,则平导应超前正洞一定距离掘进。
⑩使用光面爆破,并严格控制炸药量,以减少对围岩的影响。
本章小结
(1)地下工程开挖方案有多种,选择时应根据地质条件、断面大小及形状、隧道长度、工程的支护形式、施工技术与装备、工程工期等因素,经技术经济比较后综合确定。一般宜优先选用全断面法和正台阶法。对地质变化较大的隧道,选择施工方法时要有较大的适应性,以使在围岩变化时易于变换施工方法。
(2)本章虽然讲述的是洞式工程,但其施工原理与方法也同样适用于室式工程,工程实践中可灵活运用。
(3)装岩(又叫装渣)运输是巷道或隧道掘进中比较繁重的工作,占掘进循环的35%~50%,个别可达70%,在一定条件下会成为影响掘进速度的重要因素。因此,提高装岩调车和运输机械化水平,是快速掘进的主要措施。
习 题
1.1 地下工程施工的基本方案有哪几种?
1.2 分断面两次开挖法有哪几种具体方法?它与台阶法有何区别?
1.3 什么是CD法和CRD法?二者的区别是什么?
1.4 选择开挖方法时需考虑哪些因素?
1.5 爆破参数有哪几个?如何确定各个参数?
1.6 光面爆破的标准是什么?如何搞好光面爆破?
1.7 某平洞为半圆拱形断面,掘进高度4.3m,掘进宽度6m,岩石坚固性系数为6~8。炮眼深度为3 m,炮眼直径55 mm。试进行该断面的炮眼布置并绘制出炮眼布置图。
1.8 装岩机有哪些分类方式和类型?
1.9 为何要采用调车措施?简述不同调车方式的使用方法。
1.10 从网上查询并下载更多的钻眼、衬砌、装渣、运渣设备,每类不小于5种。用表格列出其型号、主要技术特征和适用条件。
上一篇:动脉氧分压低于多少处理
下一篇:教育心理学相关理论





.jpg)
.jpg)
