
5.2.4 巴特沃斯滤波器
1)基本巴特沃斯滤波器
巴特沃斯(Butterworth)滤波器的特点是在通频和阻频带内,其幅频特性均没有起伏振荡,即在截止频率ωo左边(通频带)和ωs右边(阻频带)附近域内均为平滑过渡,如图5.26所示。

图5.26 巴特沃斯滤波器幅频特性
图5.27是一个二阶巴特沃斯滤波器。
(1)低通滤波器
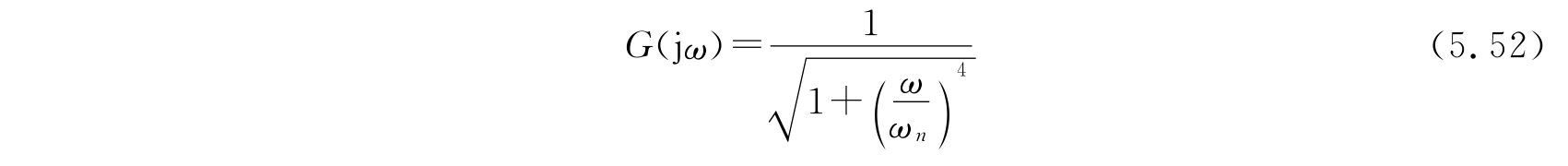
对于图5.27(a)所示的低通滤波器,其传递函数为:
![]()
式中:ζ为阻尼比,
(π/4);ωn为电路无阻尼自振频率(固有频率),ωn=1/
。
其幅频特性为:


图5.27 二阶巴特沃斯滤波器电路
(2)高通滤波器
对于图5.27(b)所示的高通滤波器,其幅频特性为:

2)高阶巴特沃斯滤波器
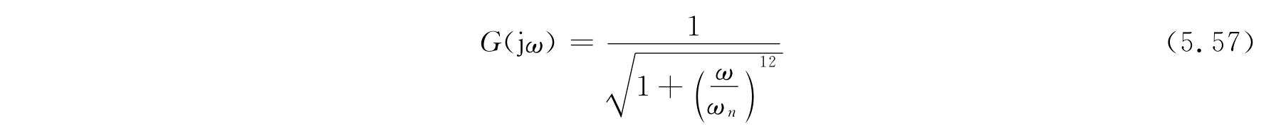
如将多个低阶滤波器级联,可得高阶巴特沃斯有源RC滤波器。由于每个低阶滤波器均引入了电压负反馈,故具有极低的输出阻抗。级联后高阶滤波器的传递函数等于各低阶滤波器传递函数的连乘,其传递函数为:
n为偶数时,
![]()
n为奇数时,
式中:n为阶数;k为级联滤波器个数;ζk为各滤波器阻尼比,
当P=ωn/s时,G(s)为高通滤波器传递函数;P=s/ωn时,G(s)为低通滤波器传递函数。
图5.28为一个六阶低通巴特沃斯滤波器,当其满足条件:
(1)ωn1=ωn2=ωn3=ωn,即

图5.28 六阶低通巴特沃斯滤波器电路
(2)ζ1、ζ2、ζ3满足式(5.56)时,即
![]()
其幅频特性为:

一般说来,高阶滤波器的滤波性能优于低阶滤波器,其陡度(对通带之外频率干扰信号的抑制程度)高于低阶滤波器。





.jpg)
.jpg)
