
二、三部门经济的收入支出模型

![]()
下面用一个数字例子说明三部门经济的收入支出模型。假设某经济的消费函数为C=100+0.9YD,税收函数为T=50+0.2Y,自发性投资为I=50,政府支出为G=35,代入到上面均衡收入的表达式,可得:
![]()
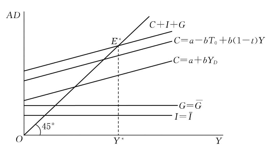
三部门经济中均衡国民收入决定同样可以用图形来表示,见图5.11。图5.11中绘出了消费函数C=a+bYD和C=a-bT0+b(1-t)Y,从图中可见前者较为陡直,而后者较为平坦,实际上这就是由于税率的影响,使得个人收入的边际消费倾向变成了b(1-t),根据前面的分析,这样同量消费支出变化引起的收入变动前者就要小一些。在图5.11中,将投资、政府购买和消费三条曲线纵向相加,就可以得到总需求曲线C+I+G,该曲线与45°线的交点所对应的收入就是均衡国民收入。

图5.11 三部门经济中均衡国民收入的决定
表5.3 三部门经济的比较静态分析
从表5.3中可见,除了T0变化的方向与均衡收入变化方向相反外,其余参数与均衡收入变动的方向一致,原因是增加自发性税收会减少可支配收入,从而降低均衡收入,反过来,减少自发性税收则会增加可支配收入,均衡收入当然会增加。
由于三部门经济中把政府部门包括进来,在这种情况下,政府就可以通过调节T和G来影响国民经济,以达到政府的宏观经济政策目标。
上一篇:什么是翻转课堂
下一篇:换面法的基本原理及应用





.jpg)
.jpg)
