
二、市场需求曲线的推导
单个消费者的需求曲线反映了一个消费者面对一定的价格愿意并且能够购买的某种商品的数量,不过,在实际应用中,生产者并不是仅仅考虑一个消费者的需求,而要考虑整个市场的状况,如果能够获得整个市场的需求曲线,那么将对生产者的决策起到十分重要的指导作用。这里主要是介绍如何运用图形得到市场需求曲线。
根据目前叙述的目的,我们把市场定义为某种商品或服务所面对的所有消费者的集合。假设现在市场上只有两个消费者甲和乙,根据消费者均衡已经得出了每一个消费者的需求曲线为D1和D2,如图4.18所示。这时,可以通过加总在每一给定价格下甲和乙的需求量,得到这一价格下市场的需求量。例如,当价格为P1时,甲消费者的需求量为q11,乙消费者的需求量为q21,可得市场需求量为Q1=q11+q21,将价格P1和市场需求量Q1描到同一个坐标系中就能得到市场需求曲线上的一个点。同理,我们可以得到整个市场需求曲线。

图4.18 市场需求曲线的推导
当然,这一推导可以很容易地扩展到有多个消费者的情形。
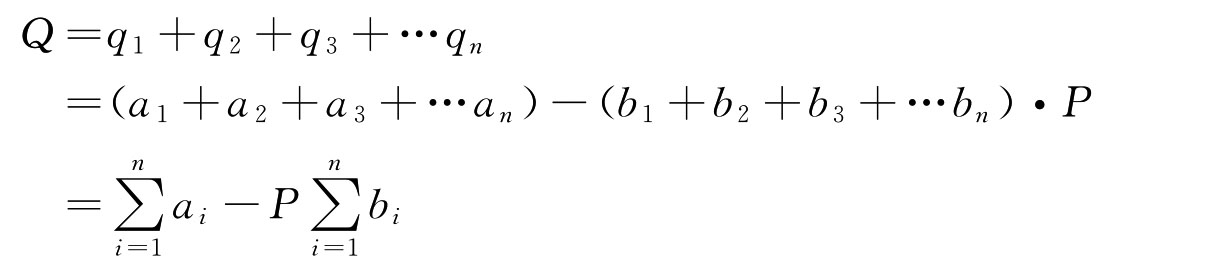
设一个商品或服务市场上有n个消费者,每一个消费者的个人需求曲线为:
q1=a1-b1 P
q2=a2-b2 P
q3=a3-b3P
……
qn=an-bn P
则整个市场的需求曲线为:

上一篇:普通混凝土(
下一篇:技术与经济效果的关系





.jpg)
.jpg)
