
表1-5 长度单位换算表

(续表)

表1-6 面积单位换算表

表1-7 体积和容积单位换算表

(续表)

注:1毫升(ml)=1厘米3(cm3)=lc.c。
表1-8 质量单位换算表

表1-9 密度单位换算表

表1-10 力、重力单位换算表

注:1牛=1.10972×10-4吨力;1吨力=9.80665×103牛;1吨力=103千克力。
表1-11 力矩和转矩单位换算表

注:1磅达·英尺(pdl·ft)=0.0421401牛顿·米(N·m);1oz·in=72.01gf·cm。
表1-12 压力、压强、应力单位换算表

表1-13 速度单位换算表

表1-14 角速度单位换算表

表1-15 时间单位换算表

表1-16 功率单位换算表

(续表)

表1-17 磁场强度单位换算表

表1-18 磁通量密度、磁感应强度单位换算表

表1-19 功、热、能单位换算表

表1-20 转动惯量换算表

表1-21 毫米与小数英寸换算表

表1-22 分数英寸与毫米换算表

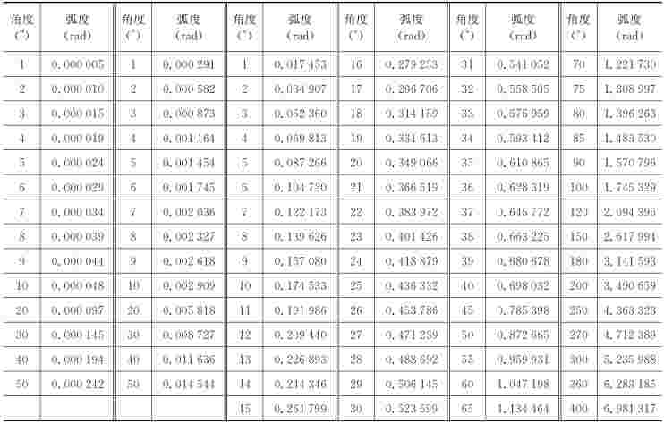
表1-23 角度与弧度换算表

表1-24 弧度与角度换算表

上一篇:专业实习调查方法及调查手段
下一篇:产业链的基本概念





.jpg)
.jpg)
