
第三章 投入产出核算
第一节 投入产出核算的基本问题
一、什么是投入和产出
投入产出核算是国民经济核算体系的重要组成部分,属于生产核算的范畴,也是国内生产总值核算的深入和细化。国内生产总值是从宏观层面上核算生产成果的规模、来源以及使用去向等,投入产出核算则是从微观层面进一步讨论各个生产部门(产品部门)在生产过程中的投入、产出以及相互之间的关系。投入产出核算也可以理解为多部门空间下的国内生产总值核算。
(一)何谓投入
投入就是从事一项活动的消耗,在国民经济核算中,这种活动仅指经济活动。
众所周知,从事任何一项经济活动都必须消耗一定的人、财、物,这些就是消耗,或称投入。经济学中的消耗包含两种含义,一种是不包括利润在内的各项生产费用;另一种理解则指全要素消耗,即全部物化劳动和活劳动消耗。投入产出核算中使用的是其后一种含义的消耗。其中物化劳动消耗包括原材料、燃料、服务等中间消耗,又称中间投入,当然折旧也是物化劳动消耗的部分;而活劳动消耗具体包含了工资、税金、营业盈余等。因此投入产出中的投入就包括了代表物化劳动消耗的中间投入、也包括了代表活劳动消耗及折旧的最初投入。两者合计就是其全部消耗,或总投入。它们之间的关系是:
最初投入+中间投入=总投入
可见,最初投入实际上也就是增加值。
(二)何谓产出
产出就是经济活动的成果。具体表现为具有一定数量和质量的货物和服务。这些货物与服务从使用的角度看,一部分用于其他产品的生产,剩下的就可供全社会消费、投资和出口。其中用于其他产品生产的称中间产品,供社会最终消费、积累的就是最终产品,两者合计就是整个总产出,即总产品。它们之间的关系表现为:
中间产品+最终产品=总产品
在国民经济活动中,存在着无数个投入产出现象,并且连续不断地进行着。这是因为:在经济系统中,各个部门既是消耗产品(即投入)的单位,又是生产产品(即产出)的单位,同时具有消费者和生产者的双重身份。每个部门既生产产品供其他部门和领域使用,同时又消耗其他部门的产品。如此往复,国民经济中的投入和产出相互交织,就形成了所有部门相互消耗和相互提供产品的内在联系。由于不同部门的生产性质不同,不同产品的产品用途、消耗构成及技术工艺等不同,产品的投入产出结构存在很大差异,如果能对整个国民经济的投入产出数量、结构、关系进行全面、系统的反映,对于完善国民经济核算,更好地剖析生产活动乃至整个经济运行全过程具有重要的意义。
投入产出核算就是从宏观角度,将国民经济分成不同的部门或产品群,借助线性方程模拟生产过程和结构,分析各部门间的生产技术联系和重要比例关系的宏观核算。在核算中,它主要是以投入产出表的形式,系统地记录国民经济中的生产、收入形成和使用过程,描述国民经济各部门在一定时期生产活动的投入来源、产出使用去向及一系列的相互关系。
二、投入产出的核算背景及历史
作为一种经济分析方法,投入产出的思想和表式早已存在。但作为一种完整的方法应用于实际则是20世纪30年代之后的事情。当时资本主义世界爆发了严重的经济危机,加上第一次世界大战的遗留问题,原有的资产阶级经济理论彻底破产,于是一方面30年代后期产生了“凯恩斯革命[1]”,企图通过政府干预预防危机的产生,同时一些经济学家希望用数学的方法和统计资料来对原有的经济理论进行改造。另一方面,生产力的发展也客观要求经济理论和生产管理技术数量化和精确化,在这样的背景下,在20世纪30年代的资本主义国家就产生了投入产出分析和经济计量学理论。
投入产出分析的主要代表人物是俄裔美国经济学家华西里·里昂惕夫(Wassily Leontief)。1936年他发表了《美国经济体系中投入产出的数量关系》一文,文中阐述了有关第一张美国1919年投入产出表的编制工作,投入产出理论和相应的模型以及资料来源和计算方法。1941年,里昂惕夫出版了投入产出分析的第一本专著《美国经济的结构,1919—1929》。第二次世界大战期间,由于战争的需要,各国政府加强了对经济的干预和控制,需要一个相当科学和精确的计算工具。投入产出法逐渐引起美国政府和经济学界的重视。美国劳工部为了研究美国战后的生产和就业问题,聘任里昂惕夫指导编制1939年的美国投入产出表,历时5年,最终于1944年完成。投入产出表完成后,美国劳工部立即用该表来预测美国1945年12月的就业情况,并对1950年美国充分就业情况下各经济部门的产出作了预测(后来美国的经济发展情况证实了预测的准确性)。1949年,美国空军和美国劳工部协作,组织了一个有70多人参加的投入产出编制组,花费了150万美元经费,到1952年秋,编制出了1947年的包含200个部门的美国投入产出表。此后,美国政府定期编制全国投入产出表,作为国民经济核算和决定经济政策的依据。1973年,里昂惕夫因发展了投入产出分析方法及这种方法在经济领域产生的重大影响,备受西方经济学界的推崇并因此获得诺贝尔经济学奖。
继里昂惕夫在美国编制投入产出表之后,英国、丹麦、挪威、加拿大、澳大利亚、荷兰等国家也在20世纪50年代之前编制过投入产出表。1968年新SNA正式将投入产出核算内容列入国民经济核算体系。根据联合国有关统计资料,截至1979年世界上已有89个国家和地区广泛采用投入产出理论。目前绝大多数国家都编制过投入产出表。
20世纪50年代末60年代初,投入产出方法开始引入中国,最初从事此项研究的只是少数几位对此感兴趣的数学工作者,“文化大革命”中这项研究几乎中断。1974年8月,为满足宏观经济管理的需要,在国家统计局和国家计委的组织下,联合中国科学研究院及有关大学联合编制了1973年全国61种产品的实物型投入产出表,为当时制定投资计划和产品的生产计划发挥了积极的作用。1982年第一张价值型投入产出表诞生——1981年全国投入产出价值表;1984年又编制了1983年的全国投入产出延长表。1987年我国进行了首次全国投入产出专项调查并在1989年初完成了“1987年中国投入产出表”的编表工作[2],之后分别编制了1992年、1997年、2002年、2007年等年份[3]的投入产出基本表(1992年后采用国际通用表式)及1990年、1995年、2000年、2005年、2010年延长表,其基本规律是:逢2、7年份进行全国投入产出调查,编制基本表,逢0、5年份编制投入产出的延长表。投入产出表的资料有专门出版。
除了宏观领域,投入产出技术目前在微观经济领域也取得了一定的成就。已经有部分企业编制了企业的投入产出表,为企业计划、生产、成本管理以及宏观表的编制提供了重要的帮助。
三、投入产出分析的基本思路及特点
投入产出分析是有效利用投入产出表,依据线性数学模型和基本参数来对国民经济各部门的经济技术联系进行分析的。因此其分析的基本思路可以简要概括为以下三个步骤:
首先,把各部门的投入来源和产出去向纵横交叉地编制成投入产出表;其次,根据投入产出表的平衡关系,建立投入产出模型;最后,借助于投入产出表、投入产出模型及相关的技术经济参数进行各种经济分析。
投入产出分析具有以下几个特点:
第一,这是一种系统分析方法,它站在国民经济的高度,采用联系的、全局的观点来研究国民经济各部门的相互关系。
第二,投入产出分析过程中主要利用投入产出表、确定性线性数学模型及参数等工具来模拟经济运行过程,分析相互关系的,具有一定的独特性。其发明者里昂惕夫也因此被认为是用最简单的线性代数解决了复杂的系统问题的诺贝尔经济学奖获得者。
第三,投入产出分析是建立在一定的假设的基础上的,这些假定与实际有一定的出入,如同质性假定,要求一个产业部门只生产一种同质的产品,而且只用一种生产技术进行生产。但实际情况是,某些产业往往存在联产品或副产品,而这些联产品或副产品的生产消耗结构与将它们作为主要产品生产的产业的生产消耗结构往往不同;再比如:比例性假定,即各产业部门的投入和产出之间呈线性关系,各种投入的数量都随产出量的增加而成正比例变动。该假定也与实际不符。正因为如此,投入产出分析方法在应用上也存在一定的局限性。
投入产出核算的作用在于不仅丰富了国民经济核算的内容,更给经济分析带来了巨大的应用价值。利用投入产出分析不仅可以分析经济问题:如用于计划管理和调整、进行经济预测并判断经济政策对经济的影响、分析国民经济主要比例,进行结构分析。还可以进行各类专题研究:如运用投入产出分析方法研究人口问题、环境污染治理问题、就业、收入分配问题、劳动消耗、价格问题、国际贸易问题、教育问题等等。
四、投入产出的部门分类
投入产出核算是一种系统分析方法,它是应用确定的线性数学模型,通过一系列的参数来反映国民经济各个产业部门的经济技术联系的。要进行投入产出核算,必须首先解决部门分类问题。
由于投入产出分析研究的是部门间因技术经济变动而引起的变化,因此必须按产品本身对国民经济进行分类。即投入产出核算中的部门应该是“产品部门”或“纯部门”,而非现实经济管理中的产业部门或机构部门的概念。也就是说只要是同一类产品,无论是哪个企业生产的,都视为一个部门。产品部门实际上是从事相同活动的同质生产单位[4]的集合。实际确定是否是同质生产单位(生产同类产品),可以按照以下两种情况判断:一是按照产品的经济用途确定分类,如果是经济用途相同就是同类产品,否则不是。例如煤、电等商品,从经济用途上可以用于居民生活,也可以用于生产,因此同样是煤或者电,就可以区分为生活用煤(电)、生产用煤(电)。两者属于不同的产品部门。二是按照产品的消耗结构划分产品的种类。例如同样是电,由于消耗的结构不同,有火力发电、有水力发电、还有风力发电、新能源发电等,这些产品均应归入不同的产品部门。
产品部分分类应尽可能满足上述两个条件,在不能同时满足上述两种标准时,应着眼于后者,即按照产品工艺技术的同一性进行部门分类。分类越细,分析就越接近实际,当然对资料的要求也越高。
由此我们可以得出产品部门与产业部门的主要区别是:一个产业部门由按照主要生产活动分类的基层单位构成,基层单位一般都会有次要生产活动,所以产业部门的总产值往往会包含一部分在性质上应属于其他产业部门生产活动的产值。而产品部门则完全由同一类生产活动构成。因此产业部门又可称为混合部门(或称企业部门),而产品部门又称为纯部门。
可见,编制投入产出表,进行投入产出分析,一个重要的前提是应该对产品进行纯部门的分类。
第二节 投入产出表
一、投入产出表的类型
投入产出分析是借助于投入产出表来实现的,因此理解并搞清投入产出表的类型及结构至关重要。
首先,从投入产出的主体分类来看,投入产出表有按产品部门进行分类的“产品投入产出表”,这种表式最接近于理论上说的纯部门分类;而有些投入产出表则是按产业部门进行分类的;还有一些投入产出表同时按产品部门和产业部门进行交叉分组,属于交叉投入产出表,后面提到的UV表就是一种交叉表。
第二,从投入产出表的表式结构看,有对称形的投入产出表和非对称的投入产出表。主要区别在于分类中的主词和宾词是否完全相同,如果相同则是对称式的,如果不同,出现行列分类的项数不一致,就是非对称式的。后面要提到的UV表就属于非对称表。而理论分析中多采用对称式投入产出表。
第三,按照表中产品的计价形式不同,有实物型的投入产出表和价值型的投入产出表。前者出现在表中的数据就是按实物计量统计的,而后者则将数据统一转换为价值量来计量。理论研究中以价值型投入产出表居多。
第四,从反映现象的时间和地域来区分,有静态投入产出表,动态投入产出表;有全国投入产出表、地区投入产出表、企业投入产出表等等。
此外,还可以按各种专门用途对投入产出表进行划分。如人口投入产出表、教育投入产出表、旅游投入产出表等等。
在所有表式中,最具有典型意义和应用价值的当属价值型(对称)产品投入产出表,又称部门联系平衡表。该表同时具备了以下几点要求:其分类是按照纯产品进行的,分类的顺序和数量一致,采用价值计量。
本章重点讨论对称(价值型)的投入产出表。
二、投入产出表的基本结构
产品×产品部门表的基本表式如表3-1所示。可以看出该表是一张长方形的表格,主词反映投入,由中间投入、最初投入(增加值)及总投入组成;宾栏反映产出,由中间使用、最终使用及总产出构成;其中中间投入和中间使用部分均有相同的部门分类,且数量一致。如部门1、部门2……部门n等,故该表是对称型的投入产出表。从内容看,表式中间被划分出四个象限。
第Ⅰ象限:即表的左上半部分,是由名称相同、数目一致的n个产品部门(或称为纯部门,也即一个部门只能和一种产品对应)纵横交叉形成的棋盘式表格(或者说方阵)。主要反映经济系统中各产品部门之间相互依存、相互制约的技术经济联系,又叫中间产品象限。表中的每个数字xij都有双重意义:从行的方向看,它表明第i个产品部门的产品提供给第j个产品部门作为生产消耗的数量,称为中间产品或中间使用;从列的方向看,它表明第j个产品部门在生产过程中消耗第i个产品部门的产品数量,也就是中间投入或中间消耗。在投入产出表中,第Ⅰ象限是核心部分,至关重要。
表3-1 产品部门×产品部门投入产出表

第Ⅱ象限:即表的右上半部分,其主栏与第Ⅰ象限相同,为产品部门分类;宾栏为最终产品,包括最终消费、资本形成和净出口。从横向看,反映第Ⅰ产品部门生产的货物和服务提供给各种最终使用的价值量,从纵向看则是各项最终使用的规模及其构成。所以说第Ⅱ象限主要反映各产品部门提供的最终产品的规模和结构。故又称最终使用象限。
第Ⅲ象限:即表的左下半部分,也就是第Ⅰ象限在垂直方向的延伸。其主栏是最初投入,包括雇员报酬、生产税净额、固定资本消耗、营业盈余或混合收入,也就是增加值的各构成项;宾栏就是n个产品部门分类。这一部分主要反映各产品部门生产过程中的各种最初投入(增加值)的构成情况。所以又称增加值象限。
第Ⅳ象限,理论上应该反映的是收入分配的流量,但由于这部分内容十分复杂,难以表现,故第Ⅳ象限实际上在表中是空缺的。这也造成了上述所描述的投入产出表实际上是由Ⅰ、Ⅱ、Ⅲ象限构成的曲尺形(有人形象地称其为刀把或枪形)的表格。
以上是从四个象限的角度去理解投入产出表。实际上我们还可以从另一个角度来解析投入产出表的构成及涵义。即我们可以将投入产出表看成是由纵横两张长方形的表交叉形成的。其中第一个长方形是由第Ⅰ象限和第Ⅱ象限结合产生的,横向反映各产品部门产品的使用去向,包括中间使用和最终使用;第二个长方形则是由第Ⅰ象限和第Ⅲ象限构成,纵向反映各产品部门在生产经营过程中的价值形成和投入来源,包括中间投入和最初投入。纵横相交,就可以全面反映各部门之间的生产、技术、经济联系。
以上是对称型投入产出表的基本构成,实际使用的投入产出表各栏目的内容可以根据要求或者数据获取的实际情况拓展或者精简。表3-2就是中国的投入产出表(产品×产品)[5]。实际上该表也已经经过了简化处理,即将原始投入产出中表中的n个产品部门按产业分类划分成了一、二、三三大产业部门,以便读者阅读和理解。中国的投入产出表的最终使用部分的项目与国内生产总值使用法的分类完全一致,但应注意表中的出口与进口是分列出来[6]的。此外还要考虑统计误差的问题。
表3-2 中国2002年三部门投入产出表[7] 单位(亿元)

三、投入产出表的主要平衡关系式
在投入产出表中,存在以下几个基本的平衡关系式:
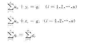
1.从行的方向(横向)看,中间产品+最终产品=总产出
![]()
式中,∑xij表示第i部门提供给各部门作为生产消耗的中间产品总量,fi表示第i部门提供的最终产品的价值总量,qi表示第i部门的总产出。该平衡关系式又称实物平衡方程,反映了产品的实物运动过程。
2.从列的方向看,中间投入+最初投入=总投入

式中,∑xij表示第j部门生产中所消耗的各种中间投入的总量,yj表示第j部门生产中的最初投入总量(或增加值),qj表示第j部门的总投入。该平衡关系式又称价值平衡方程,反映了产品的价值运动过程。
3.某部门的总投入=该部门的总产出
qi=qj即:(i=j)
由此可以推断:全社会的总投入=全社会的总产出 即:
∑qi=∑qj
全社会增加值合计=社会最终产品的价值[8] 即
∑fi=∑yj
值得注意的是:就单个部门而言,某一个部门的最终产品不等于该部门的增加值。
为了更好地帮助理解投入产出表的构成,下面以表3-2为例,说明表式结构及基本的数量平衡关系。
表3-2是我国2002年三部门的投入产出表,从横向看,该表反映了三个产业部门生产的产品的使用去向。以第一产业部门为例,当年生产的产出共28579亿元,其中有16339亿元的产品作为中间产品使用,分别供第一、二、三大部门生产耗用4637、10168、1534亿元。剩下的12240亿元就应该是第一产业部门提供给社会最终使用,满足最终需求的部分。实际数据显示提供给居民最终消费10464亿元,提供政府消费164亿元,作为固定资本形成的773亿元,另有332亿元形成库存增加,供出口的产品474亿元。合计最终使用12207亿元。可见最终使用的理论数据与实际使用数据存在一定的误差,这就是统计误差项(即12240-12207=33亿元)。不仅如此,理论上投入产出表第一、二象限的数据已经包含了进口部分的数据,所以这个误差还应该加上进口的681亿元,于是投入产出表第一行中就出现了714亿元的统计误差(33+681=714)。至此横向平衡方程可以表示为:
16339+12207-681+统计误差=28579
从纵向看,第一产业部门在生产总产出的过程中,耗用了中间产品(或中间投入)11949亿元,其中消耗第一、二、三产业的中间产品分别是4637、5043、2269亿元。生产过程中的最初投入(增加值)16630亿元,其中劳动者报酬545亿元,固定资产折旧13316亿元,生产税765亿元,营业盈余2005亿元。中间投入加最初投入合计28579亿元,这个数字正好等于该部门的总产出。从纵向看的价值平衡方程可以表现为:
11948+16630=28578
此外,我们可以看到表中最后一行三个部门的总投入数据分别与表中最后一列三部门的总产出数据完全一致;全社会总投入=全社会总产出=313431亿元;而三部门的增加值合计与各部门的最终使用合计一致(但需考虑进口和统计误差)。即:
121859=148201-26942+601
以上主要以第一产品(产业)部门为例对投入产出表的结构及关系进行的描述,读者可以据此自行推算其他产业部门之间的投入产出关系。
第三节 技术经济系数
投入产出表是投入产出分析研究的基本工具,但是表中的所有指标,如中间投入、最初投入、中间产品、最终消费、资本形成等,都是总量指标。如果仅凭这些总量指标并不能直观地反映各部门之间的技术经济关联程度,为此需要在投入产出表的基础上进一步计算一些相对数形式的统计指标,这就是投入产出技术经济系数。其中,最主要的技术系数有直接消耗系数、完全消耗系数等。为此我们必须首先搞清直接消耗、间接消耗、完全消耗到底是怎么回事?
一、直接消耗、间接消耗和完全消耗
在前面的章节中我们已经提到,消耗也就是投入,但是在生产产出的过程中投入的内容、数量不同,消耗的轮次也不同。通常我们讲一个产品对另一个产品的第一轮的消耗就是直接消耗,例如生产皮鞋需要消耗皮革、橡胶、线,也需要消耗电,那么皮鞋对皮革的消耗、对橡胶的消耗、对线的消耗以及对电的消耗都属于生产皮鞋而对它们产生的第一轮的消耗,即直接消耗。可见直接消耗通常是最基本、显见的消耗,我们可以通过观察产品的外观或通过想象,轻松地说出它的直接消耗物来。然而进一步思考会发现,消耗并非我们想象的那么简单,在直接消耗之后还有许多看不见的消耗,例如生产皮鞋要用电,这是皮鞋对电的直接消耗,但生产皮鞋还要耗用皮革,而皮革生产本身也是需要耗用一定的电,那么皮鞋通过皮革而耗用的电的消耗就是皮鞋对电的间接消耗,间接消耗可以有很多次,如果将直接消耗和各轮次的间接消耗相加就是完全消耗。可见生产一种产品,其完全消耗肯定大于直接消耗。图3-1可以进一步帮助理解直接消耗、间接消耗和完全消耗的关系。
图3-1中,(1)表示生产汽车需要直接消耗铜,这是汽车对铜的第一轮消耗,也就是直接消耗。(2)表示生产汽车需要消耗电,生产电又要消耗铜,这时汽车对铜的消耗是通过电间接地表示出来,即这是生产汽车对铜(通过电)的第二轮消耗,也是第一轮的间接消耗。(3)表示生产汽车需要消耗钢,生产钢需要消耗电,生产电又需要消耗铜,这是生产汽车对铜(通过钢和电)的第三轮消耗,或是第二轮的间接消耗……依次类推,生产一辆汽车可以通过若干个产品产生若干轮的间接消耗,如果把生产汽车对铜的直接消耗加上若干个轮次的汽车对铜的间接消耗,就是汽车对铜的完全消耗。据有关资料显示,一辆汽车要用铜10—21千克,这实际上包含了生产一辆汽车对铜的直接消耗以及若干次的间接消耗。也就是指的完全消耗。正因为如此,我们在讨论技术系数(消耗系数)时应搞清楚到底是直接消耗还是完全消耗,相应的系数的计算方法也不一致。

图3-1 汽车对铜的各轮次消耗示意图
二、直接消耗系数
两种产品之间直接消耗关系的数量表现,就是直接消耗系数,又称技术系数。通常用aij表示。其意义是:第j部门生产单位的总产出所直接消耗的第i部门产品的数量。又称中间投入系数,它反映了两个部门之间直接存在的投入产出关系。体现了总产出与中间消耗之间的平衡关系。
根据定义,直接消耗系数的计算公式如下:
![]()
其中:xij是j部门生产中所直接消耗的i部门的产品数量(或价值),也就是投入产出表中第Ⅰ象限的各元素,qj是第j部门的总产出。
从定义及计算公式还可以知道,直接消耗系数具有如下基本性质:
![]()
很显然,aij越大,表明部门之间的技术联系越密切,反之亦是。如果aij=0,则表示i,j部门之间不存在直接的依赖关系。
如果计算出每一种产品对其他各种产品的直接消耗系数,就可构成直接消耗系数矩阵,记为A,即:

下面我们根据表3-2的数据,作适当调整,并据此来说明消耗系数的计算。
表3-3 2002年中国三产业投入产出简表[9]

根据表3-3,我们计算得到:

矩阵中a12=0.0534,表示第二产业部门生产单位总产出需直接消耗第一产业部门0.0534个单位,a31=0.0794则表示第一产业部门生产单位总产出需直接消耗第三产业部门0.0794个单位。依此类推。由直接消耗系数的大小,我们可以很容易掌握各个产业部门或产品部门之间存在技术经济联系的大小。
影响直接消耗系数的因素主要有以下几个方面:
1.生产的技术水平
由于技术进步可以直接降低单位原材料消耗,节约各种消耗费用;还可能研制出各种新材料、替代品从而改变生产的投入构成,影响消耗结构,进而影响直接消耗系数的大小。
2.生产结构的变化
严格地讲,投入产出表中的每个部门都应该只生产一种产品,也就是前面提到的纯部门的概念,只有这样才能真实反映各种产品生产之间的消耗与被消耗的关系。然而实际中,一个部门只生产某种单一产品的情况通常仅存在于煤炭、原油等少数几个部门;绝大多数的部门都生产两种或两种以上的产品。也就是说如果不是严格意义上的纯部门分类,那么现实的一个部门中就可能生产两种以上的不同产品,而不同产品在生产过程中的投入构成和费用构成是不同的,因此如果一个部门的产品结构发生变化,甚至只要部门划分的粗细程度有所不同,都会引起直接消耗系数变动。
3.价格的变化
价格对消耗系数的影响主要是针对价值型的投入产出表而言。在价值型投入产出表中,产品的各种流量数据都是按基本价格估价的。而现实中产品价格的变动往往会受到各种社会、经济、技术因素的影响,因此,对于价值型投入产出表而言,即使生产中投入的实物构成不变,其计算的直接消耗系数也会因为某种产品的价格变动或者不同商品的比价变动而发生变化。
总之,直接消耗系数不是固定不变的,它会随着上述因素的变化而变化。但是由于直接消耗系数是投入产出分析中最基础的数据,因此我们希望这个数据能够相对稳定,只有这样才能更好地发挥投入产出分析在经济结构分析、经济预测和规划中的作用。事实上,只要间隔的时间不是太长,生产的消耗结构、价格等变动也不会太大,因此保证直接消耗系数的相对稳定是可行的,此外我们也可以通过采用一些特殊的统计方法,减少使直接消耗系数不稳定的因素,尽可能使直接消耗系数保持不变。
三、完全消耗系数
完全消耗是直接消耗和所有间接消耗的合计,完全消耗系数一般用bij表示,它说明的是j部门为了生产单位最终产品需要直接和间接消耗的第i部门产品的全部数量。
![]()
上式中:aij为第j部门生产单位产品而对i产品的直接消耗
表示通过k种中间产品形成的第j部门对第i部门产品的第一轮的间接消耗
表示第j部门生产单位产品对第i部门产品的第二轮的间接消耗(通过中间产品s,k),依次类推。最后得到的就是生产j部门产品而对第i部门产品的完全消耗量。
计算出每一个完全消耗系数,便可构成完全消耗系数矩阵B,可以证明:
B=A+A2+A3+…=(I-A)-1-I
在上述公式中,A就是直接消耗系数矩阵,I为单位矩阵。
(I-A)-1称为里昂惕夫逆矩阵。
根据表3-3提供的数据以及前面计算的直接消耗系数矩阵A,我们很快得到了完全消耗系数矩阵B。

矩阵中b12=0.1603表示第二产业部门要得到一个单位的最终产品需要完全消耗0.1603个单位的第一产业部门产品;同理再如:b23=0.7594则表示第三产业部门要得到一个单位的最终产品需要完全消耗0.7594个单位的第二产业部门产品;以此类推。
值得注意的是:直接消耗系数反映的是总产出和中间消耗的关系,而完全消耗系数反映的是最终产品与中间消耗的关系;另外直接消耗系数只反映直接消耗,而完全消耗系数既包括直接消耗,还包括间接消耗。是直接消耗和间接消耗之和。直接消耗系数一定小于1,而完全消耗系数则不一定。
例1 如果汽车行业总产出10亿元,最终产品4亿元,直接消耗钢铁3亿元,全部间接消耗钢铁2亿元,问汽车对钢铁的直接消耗、完全消耗系数是多少?
解:根据定义,可以知道:
汽车对钢铁的完全消耗系数是![]()
而汽车对钢铁的直接消耗系数则是3/10。
四、完全需要系数
完全需要系数实际上就是里昂惕夫逆阵中的元素,用tij表示。它反映j部门为得到一个单位的最终产品而对i部门产品的完全需求量。或者说为提供一个单位j部门最终产品,总共需要i部门为全社会提供tij个单位的总产品。它反映了最终产品与总产出之间的平衡关系。完全需要系数矩阵与完全消耗系数矩阵之间存在着如下关系:
(I-A)-1=B+I
可见,只要知道了完全消耗系数矩阵,或者只要知道了直接消耗系数矩阵,完全需要系数也就迎刃而解了。
同样以表3-3为例,可以得到

矩阵中t11=1.2347表示第一产业部门要得到一个单位的最终产品对该部门的产品的完全需要量是1.2347个单位;同理再如:t33=1.3855则表示第三产业部门要得到一个单位的最终产品需要自己部门总产出的数量是1.3855个单位。而t23=0.7594则可以理解为得到一个单位的第三产业部门最终产品,对第二产业部门总产品的需求只是0.7594。这个数字也就是第三产业对第二产业的完全消耗系数。事实上完全需要系数矩阵对角线上的元素更具有实际意义。
五、影响力系数
与直接消耗系数、完全消耗系数反映生产消耗结构不同,影响力、感应度系数更多地用来反映不同部门在国民经济中的地位和重要性。
影响力系数是指当国民经济某一部门增加一个单位最终使用时,对国民经济其他各部门所产生的生产需求的波及程度。可测定后向关联。用Fj表示。
Fj=完全需要系数矩阵的第j列之和/完全需要系数矩阵的列和的平均数
影响力系数大于(小于,等于)1,表示j部门的生产对其他部门所产生的波及影响程度超过(低于,等于)社会平均的影响力水平。系数越大,说明对其他部门的拉动作用越大。利用表3-3资料可以算出:第一产业的影响力系数

数字表明,第一产业部门的生产对其他部门所产生的波及影响程度要小于社会平均的影响力水平。
六、感应度系数
感应度系数是指当国民经济各部门每增加一个单位最终使用时,某一部门由此而受到的需求感应程度,即需要该部门为其他部门生产而提供的产出量。可测定前向关联。用Ei表示。
Ei=完全需要系数矩阵的第i行之和/该矩阵的行和的平均值
感应度系数大于(小于、等于)1,表示i部门所受到的感应程度高于(低于、等于)社会平均感应度水平。系数越大,感应程度越高。
同样利用表3-3,可以计算出第一产业的感应度系数E1
![]()
数字表明,第一产业部门对来自其他各部门最终产品发生变动所产生的影响程度也要大大低于社会平均的感应度水平。
影响力系数和感应度系数在产业结构、主导产业等方面的分析研究中具有重要的作用。一般认为影响力系数较大的部门往往是国民经济的支柱产业,其对国民经济发展具有重要的前向牵引作用,影响力越大,这种牵引作用越大;而感应度系数较大的部门往往是国民经济发展的基础产业或瓶颈产业,对整个国民经济发展具有后向推动作用,感应度系数越大,这种推动作用越大。而感应度与影响力系数都大的部门,在主导产业分析中通常会被认为是关键部门。
现实经济中,不同产业具有不同的特点,如原材料与基础产业部门其影响力系数与感应度系数一般都比较大,而农业、采掘业等行业的影响力系数与感应度系数相对较小。一般生产消费品、投资品、建筑业产品其影响力较强而感应度不高;而商业、金融保险、运输等行业往往影响力较小,感应度较高。
值得注意的是:这里所说的关联作用也好,重要性也好,仅限于中间产品使用的范围。完整的产业结构和关键部门分析还需结合其他指标综合说明。
表3-4、表3-5是2002年我国部分行业的影响力、感应度系数表。
表3-4 2002年中国部门产业影响力系数

表3-5 2002年中国部门产业感应度系数

而表3-6则是根据《中国投入产出表2007》计算得到的部门影响力系数和感应度系数,读者可以思考一下这些系数的实际经济意义及动态变化的原因。
表3-6 2007年中国部门产业影响力系数与感应度系数

第四节 投入产出模型及其应用
投入产出表仅仅为投入产出分析提供了一个平台,要将投入产出分析方法运用于各种经济问题的研究,必须在投入产出表的基础上进一步建立一些数学模型。这类模型叫做投入产出模型。本节将重点介绍几个基本且常用的投入产出模型,并举例说说其实际应用。
一、投入产出行模型
投入产出行模型的理论依据就是投入产出的实物平衡方程。
即:中间产品+最终产品=总产品。
按照表3-1所标注的符号含义,我们将实物平衡方程写为:
将上式展开得到:

由于直接消耗系数
,则xij=aij×qj将其代入上面的方程组,则有

整理后有:

即:AQ+F=Q,最后得到了投入产出的行模型是:

其中:Q是总产出的列向量,F是最终产品的列向量,A是直接消耗系数矩阵,I为单位矩阵。而(I-A)-1也就是里昂惕夫逆矩阵。即

实物平衡方程提供了通过总产出求最终产品,或者根据最终产品推测总产出的方法。也就是说在直接消耗系数A一定的情况下,我们可以利用投入产出模型(1)或者(2)对经济总量指标进行模拟和测定。
二、投入产出列模型
投入产出列模型的理论依据就是投入产出的价值平衡方程。
即: 中间投入+最初投入=总投入
按照表3-1所标注的符号含义,我们将价值平衡方程写为:
![]()
将上式展开得到:

由于直接消耗系数
将其代入上面的方程组,则有

整理后,得到:

模型(3)和模型(4)就是价值平衡模型或者叫投入产出的列模型。其中Q为总产出的列向量,Y为最初投入(增加值)的列向量,I是单位矩阵,A为直接消耗系数矩阵,而
则是一
个对角矩阵,其对角线的元素就是直接消耗系数矩阵每一列之和
这些列和从经济意义看则说明某部门为了生产单位总产出而消耗的全部中间产品数量,也就是某部门的中间消耗率,因此
也被称作中间投入(消耗)系数矩阵。
价值平衡方程提供了通过总产出求最终产值(增加值),或者根据增加值推测总产出的方法。也就是说在直接消耗系数A一定的情况下,我们可以利用投入产出模型(3)或者(4)对经济总量指标进行模拟和测定。
值得注意的是,模型1-4均为投入产出模型的最基本的形式,实际使用时可以根据实际数据进行扩展,例如最终产品F向量可以进一步拆分成居民消费、政府消费、资本形成、库存增加、出口、进口等列向量,而增加值列向量Y又可以拆分成劳动者报酬、固定资产折旧、生产税净额、营业盈余等列向量。借助于模型可以进一步分析、测定上述各指标之间的关系和变动数量。
三、投入产出价格模型
根据投入产出价值平衡方程:中间投入+最初投入=总投入(产出),并将价值量拆分为价格乘以数量,我们可以进一步推导出价格模型。推导过程如下:
设j部门生产的产品实物量为Qj,产品的价格为Pj,生产j产品过程中对i产品的消耗数量记为qij,各部门的最初投入为Yj,则根据价值平衡方程有:
QjPj=q1jP1+q2jP2+…+qnjPn+Yj
两边同除以Qj得到:
![]()
很显然
就是指j部门按实物量计算的单位产出所消耗的i产品的实物量,因此它是一个实物型的直接消耗系数,记作![]()

代入上式,
最后,可以推算出:
![]()
模型(5)就是投入产出的价格模型。这里P代表价格的列向量,A-代表实物型的直接消耗系数矩阵,Y-代表单位实物产品的最初投入值(增加值)矩阵。利用这个模型可以分析最初投入和价格之间的关联程度。但使用时需注意将价值型的直接消耗系数转换成实物型的直接消耗系数。或者假设两者一致。
实际应用中,我们还可以通过分块矩阵运算,进一步计算出当某一部门的产品价格发生变动时,对其他部门价格的影响。在这里我们仅给出最终的通项结果:

上述表达式表示当第k部门的价格发生变动时(如Δpk),其他部门的价格会发生什么样的变化。公式中的tij就是完全需要系数矩阵里的元素。
例2 假定有A、B、C三个部门的完全需要系数矩阵是

现在若A部门提价20%,则问B、C两个部门的价格会发生怎样的变动?
解:根据价格模型,可以得到:

也就是说,在其他条件不变的前提下,如果A产品提价20%,就会影响到其他两个部门,它们分别也要提价5.9%和3.5%。这也就印证了人们常说的一句话:“国民经济各部门牵一发而动全身”。
以上介绍了几种基本的投入产出模型,随着现代科学技术、特别是统计计算新技术的发展,投入产出模型十分丰富,有兴趣的读者可以在有关投入产出技术的专业书刊中进一步拓展知识。
四、投入产出模型应用举例及核算分析
(一)模型应用举例
投入产出模型在经济分析、政策模拟、计划决策等方面都具有重大应用价值。以下仅就上面提及的几个基本模型,谈谈其具体的应用。鉴于实际的产品×产品投入产出表往往分类众多,表格过于庞杂、数据及计算量过多,反而会影响分析应用的直观性,故下面仍以简化的投入产出表3-3为背景资料,仅用一例来综合说明投入产出模型在经济分析、计划、预测中的一些应用。
例3 假定我国某报告年度内三个产业的投入产出表如表3-3所示(单位:亿元),那么在下面几种不同的情形中,各产业部门的总量指标会带来哪些变化?
(1)假定在后一年度内,第一产业的最终需求增加了10%,第二产业的最终产品计划不变,第三产业部门最终需求增加12%,问下一年度各部门的总产品会有怎样的变化?
(2)各部门为了完成计划年度的总产品生产任务,应向哪些部门购买多少中间产品?所生产的产品中供各部门中间使用的数量分别是多少?
(3)如果后一个年度三个产业的总产出分别计划增长4%、12%和10%,则各产业部门的最终需求如何变化?
(4)如果三个产业的增加值计划分别调整为5000万元、12000万元、6000万元,为完成上述计划,各部门应生产多少总产品或总产出?
(5)假定第二产业部门提价10%,则其他部门产品的价格如何变化?
(6)假定计划期第二产业部门的最终产品供给量增加100亿元,其他各部门的最终产品量不变,全社会各部门每个劳动力的年平均劳动报酬为50000元,各部门应配置多少的劳动力。
解:在测算各指标前,首先需要根据已知的投入产出表资料,计算出各部门的直接消耗系数,完全消耗系数等。因为这些数据是投入产出建模的基础。并且在一定的时期内,我们假定这些消耗系数保持稳定,也就是说我们可以根据基期的投入产出关系来近似地推测计划期的经济变量。
根据前面的计算已经知道:

(1)解:当第一产业最终产品增加10%,第二产业最终产品计划不变,第三产业增加12%时,也就是各产业部门最终产品的列向量

根据产品行模型可以得到:

也就是说,当各产业最终需求计划确定后,其对总产出的需求变动如下:第一产业增加1961亿元、第二产业比上年增加了5091亿元、第三产业总产出要比上年增加8262亿元。
上述计算也可以从另一个角度计算,即先求出最终产品的增加绝对额Δf,再直接利用产品模型的变换:Δq=(I-A)-1Δf计算即可。如果不考虑计算误差,两者的结果应该完全一致。
产品模型给我们提供了一个从最终产品出发来确定国民经济各部门生产总量的数学思路、为保持最终产品和总产出之间平衡提供了参考。
上例中我们使用的最终需求指标是一个合计数,我们可以进一步将它分解成消费、投资、进出口等指标之和,这样就可以进一步讨论任何一种需求变动对总产出的要求。
(2)解:计划年度最终需求的变动,除了带来总产出的变动外,必然也会影响到中间产品的变化,所以问题(2)实际是已知总产出,求中间产品流量的过程。根据公式
得到:

将上述结果列表如下:
表3-7 中间产品流量表

表3-7中横向显示的就是各部门生产的产品供其他部门作为中间使用的数量,其对应的经济意义就是中间产品的销售。例如数字10448说明了第一部门的产品中有10448亿元是售给第二产业部门作为中间产品使用的;纵向说明的是各部门在生产过程中要消耗掉其他部门的产品数量,也就是中间消耗。同样的数字10448从纵向看就表示第二产业部门在生产过程中要消耗第一部门的产品10448亿元,其经济意义就是中间产品的购买。中间产品流量矩阵恰好回答了问题(2)所要关心的内容。
(3)解:已知计划年度总产出数据,求最终需求,这仍然是产品模型可以解决的,根据f=(I-A)q,很快可以得到:

即,当后一个年度三个产业的总产出分别增长4%、12%和10%,时,相应地第一、二、三产业的最终产品分别达到11811亿元、69654亿元和52689亿元。当然我们也可以先求出总产出的增量Δq,然后用Δf=(I-A)Δq,求出最终需求的变动量。
(4)解:这是一个已知增加值(最初投入),求总产出的例子。需要用到价值模型。

即,如果三个产业的增加值计划分别调整到5000万元、12000万元、6000万元,则三大产业分别应生产总产品8594亿元、41494亿元、11287亿元。
价值模型提供了总投入和最初投入、中间投入之间的平衡关系式。据此我们可以根据最初投入(增加值)的数量来确定所需要的总产出或总投入是多少。反过来也可以根据总产出的变化,确定最初投入各部分的变动数量或比例。大家可以根据前面的实例举一反三。
此外,与产品模型中最终产品可以进一步分解一样,最初投入(增加值)也可以进一步分解成:固定资产折旧、劳动者报酬、生产税、营业盈余之和,因此总投入和任何一种投入要素之间的平衡关系也可以通过价值模型得以揭示。
产品模型和价值模型为国民经济计划的制订、各部门、各环节计划的协调乃至协调整个国民经济运行都具有积极的意义。
(5)解:问题(5)类似的例子已经在例2中提到过。这是利用投入产出价格模型分析某个部门或某些部门产品价格变动对其他部门产品价格的影响。在价格模型分析中,需要用到完全需要系数矩阵T,根据前面的A、B,我们已经知道了完全需要系数矩阵是T=B+I=

即当第二产业部门提价15%时,第一、第三部门的价格也要相应地提高,其提价幅度分别是3.61%、4.76%。
(6)解:这是一个由产品模型延伸的求劳动力需求的问题,劳动力的多少与当年的产出及劳动生产率相关。因此,我们首先需要估算一下下一年度的产出增长量Δq,直接用模型:

由于当年社会的平均劳动生产率是5万/人,则只需将各部门的产出数除以劳动生产率就是大致的劳动力配置数量。
以上是通过一个综合性的例子简要说明了投入产出基本模型在制订计划、协调生产、投入、需求相互之间平衡、进行价格变动分析等方面的作用。投入产出模型的应用远远不止这些,有兴趣的读者可以根据这些基本原理、结合模型的数学变形及实际掌握的资料进行更多深层次的分析。
(二)投入产出核算的其他应用分析
从阅读的连贯性考虑,我们将投入产出模型的应用分析举例放在了前面,事实上,在进入模型构造之前,我们讨论的投入产出表以及投入产出经济系数本身就是投入产出核算分析的基本工具。
首先,投入产出表是国内生产总值核算的细化和深入,利用投入产出表可以对GDP核算资料进行验证。因为在投入产出表中,第Ⅱ象限(最终使用象限)就反映了支出法GDP的构成内容;第Ⅲ象限(增加值象限)则反映了分配法GDP的各项构成;而将总产出扣除第Ⅰ象限的中间投入合计就是生产法的GDP。可以说投入产出核算涵盖了GDP核算的主要内容,从投入产出表我们更容易理解GDP的三种核算方法的由来以及理论上为什么有三方等价原则的存在。不仅如此,投入产出表从多部门的角度对其增加值进行核算,通过这种多部门的结构,将各部门之间错综复杂的关系用最简明的方式揭示出来。便于我们直观地透视各部门之间的相互联系与依赖。
第二,利用投入产出表可以揭示国民经济中一些重要的比例关系。诸如:两大部类比例、农轻重比例、三次产业结构、消费、投资结构等等。因为投入产出表中,最终产品中的消费部分合计就是第二部类产品的总量,而全部中间产品加上投资的合计就是第一部类产品的总量,两者对比就可以反映两大部类的关系;而将两大部类比例具体化就是农、轻、重的关系。至于产业结构、产品结构、最终使用结构则更是一目了然。
第三,运用技术经济系数可以进行产业关联分析、判定主导产业、关键部门等。前面已经提到的直接消耗系数、完全消耗系数是重要的生产技术关联参数,而影响力系数、感应度系数又是主导产业分析、产业关联分析中十分重要的指标。除此之外,表中还有大量的结构系数可以计算,如劳动报酬系数、折旧系数、最初投入结构系数、中间需求率、中间投入率等等。这些对于我们全面分析产业结构问题具有重要的指导意义。
课后,读者可以以最近年份的中国投入产出表为背景,全面分析一下我国目前的投入产出结构及相关的社会经济问题。
第五节 投入产出表的编制
在前几节中,我们重点介绍了投入产出表的结构及其应用,既然投入产出表具有如此众多的应用价值,那么接下来的问题是:如何获取投入产出表?更确切地说,如何准确地编制投入产出表?
在投入产出核算中,有三种核算表式,供给表、使用表、产品×产品投入产出表。根据编制供给表、使用表和产品×产品表的步骤不同,国际上有两种编表模式,第一种模式是:先编制供给表和使用表,然后在此基础上再推导产品×产品表;另一种模式则是先编制供给表和产品×产品表,然后再推导使用表。
第一种编表模式为大多数国家所采纳,是SNA倡导的一种编表模式,它是建立在以产业活动单位为统计对象的基础上,采用商品流量法来编制使用表的。第二种编表模式使用的国家较少,我国就是采用这种模式进行编制的。即先编制供给表和产品×产品表,然后再推导使用表。
由于产品×产品表是投入产出核算最基础、最重要,又最具分析意义的表,接下去我们重点介绍产品部门×产品部门投入产出表的编制思路及基本方法。一般来说,产品×产品投入产出表的编制方法包括直接分解法、UV表法和其他非调查方法,如RAS法等。
一、直接分解法
直接分解法,属于调查法。就是通过直接调查获取投入产出核算中所需要的原始资料,再经过反复综合、平衡完成表的编制。这是建立在综合部门掌握了企业按产品部门分类的典型投入结构的基础上的,通过推算放大直接编制产品部门×产品部门表。换句话说,这种方法就是对我国现有的行业统计资料(按企业而非同质生产单位分类,一个企业生产的产品往往不止一种产品)进行分解、汇总和推算放大,并得到产品部门投入产出数据的方法。
以下是针对我国实际情况进行的投入产出产品×产品表编制的大致步骤:
第一步:对总产出进行分解,取得分产品部门的产出总控制数。
在现有核算资料中,可以找到编表年份农业及各工业部门、建筑业部门的总产出数据。其中农业产出本身就按产品法计算,故只要加上商业代征的农产品税就与投入产出表的要求一致。但是在工业统计中,工业统计调查的对象基本上是企业单位,企业所属的行业,是按照主产品所属的性质来确定的,企业确定了所属行业后,整个企业生产的所有外销货物的价值均计入该行业的工业总产值中。因此,工业统计年报中,只有按国民经济工业行业划分的工业总产值,而没有按产业部门划分的工业总产值,更没有按产品部门划分的工业总产值。因此需将混合产出按投入产出的要求分解成产品部门总产出。另外工业统计报表中只核算规模以上工业企业,因此对规模以下要通过专门调查获取产品产出数据。根据这些数据可以进一步编制工业部门产出矩阵(行为国民经济工业行业,列为投入产出产品部门),据此得到工业各投入产出产品部门的总控制数。
对于其他(第三产业)的部门,一般现有核算只有增加值数据,需要根据相关的统计、行政、会计等部门的相关资料分解或估算出产品部门总产出。
第二步:取得分产品部门增加值和最终使用的控制数。
对于工业部门来说,现行的工业统计提供了分行业增加值资料,在分行业工业增加值的基础上,通过数学方法将其转换成分产品部门增加值,并用投入产出重点调查的工业产品部门增加值率进行修正和调整,形成最终的各工业产品部门的增加值控制数。其他部门的分产品部门增加值数据,或者直接取自现行的国内生产总值核算资料,或者根据相关资料进行推算。
最终使用控制数可取自按支出法计算的国内生产总值核算资料。部分项目还须适当调整。
第三步:对中间投入进行分解,编制按产品部门划分的中间投入构成。
由于现行统计资料无法满足分产品部门的中间投入构成的需要,因此这部分数据主要通过有关年份投入产出专项调查,取得各投入产出部门的中间投入结构。在取得具有代表性的中间投入结构之后,再以各产品部门中间投入为控制数直接推算放大得到中间投入构成。
对中间投入的分解,是投入产出表编制最为基础,也最为关键的一步。在调查中,被调查单位不仅要将生产的各种产出按照投入产出部门进行归类,同时需要对投入的各种原材料、燃料、动力等中间产品也按照投入产出部门要求进行归类。因此这一步完成的工作量巨大。
第四步:计算出各产品部门的增加值、最终使用以及它们的构成。
增加值的分解可以通过现有资料按照收入法计算或者采用投入产出重点调查增加值结构推算放大。而最终使用构成资料也需在编表年份,通过投入产出专项调查获得所需要的构成信息。
第五步:对计算价格进行调整,编制出按生产者价格计算的投入产出表。
在第一章中我们提及核算价格问题,所谓生产者价格就是生产者的出厂价格,不含任何流通费用,与之对应的是购买者价格,购买者价格中包含流通费。由于产品部门×产品部门表的主要作用是进行投入产出分析,而投入产出分析的重要假定之一是投入系数不变。如果按购买者价格计算,那么表中的每一个价值量既包含了货物本身的价值,还包含了流通费,由此计算的技术系数,不仅会受各产品部门技术经济联系变化的影响,同时还受流通费变化的影响,导致其投入系数不稳定,因此,剔除流通费按生产者价格编制的投入产出表会使表的稳定性更强,更有利于进行投入产出分析。
而我们前几步中得到的那些数据基本都是购买者价格的数据。为此需要从已获得的数据中扣除各种流通费用(主要是运输和商业附加费),扣除的部分要加到商业和运输部门的相应位置上。要作这一步需要进行流通费用的典型调查,还需编制流通费用矩阵,最后才能将按购买者价格计算的投入产出表换算成按生产者价格计算的投入产出表。
表3-8、表3-9是中国2007年的投入产出表相关部分内容,借此大家可以更直观地了解我国投入产出表的具体部门分类及结构的情况,也可以对照这两张表重温上述编表过程。


以上编表过程说明,直接分解法的数据来源直接来自调查资料,特别是其投入结构是通过各被调查单位直接分解成本和费用的有关原始记录获得的,因此具有相对较高的精确度。但缺点也很明显,它是建立在各项专门统计调查的基础上的,调查过程比较复杂,所需的时间成本、经济成本都很高,对原始资料的要求很高。正因如此,SNA更推荐另一种相对比较经济、快捷的编表方法,这就是UV表法。
二、UV表法
UV表法,它的基本思路是,先编制出供给表和使用表,然后利用表中一些平衡关系,可以计算一些经济系数,根据这些经济系数之间的关系,在一定的假定条件下,可以进一步推导出产品×产品表所需的消耗系数,从而推导出产品×产品表的其他各项数据,利用产品×产品投入产出表进行投入产出分析。这是利用部分调查数据和参数,间接推导对称表的方法,又称间接推导法,SNA推荐使用的就是这种方法。为了便于理解UV表,我们先分别单独地介绍U表和V表。
(一)供给表(V表)
表3-10就是一张简化的供给表[10]。主词反映各产品部门的供给情况,按产品部门分类,宾词反映各产业部门生产的产出,按产业部门分类;由于产品部门数量(n)与产业部门数量(m)通常是不相等的,所以这张表实际上是一张非对称的或交叉式投入产出表。供给表的主体部分就是各产业部门提供的各种货物和服务的产品数量(包括从国外进口货物和服务的数量),又称制造矩阵或供给矩阵。
表3-10 简化的供给表(S表)(V表)

表3-10的横向反映的是各种产品的产业部门构成情况。sij表示j产业部门生产的i产品的数量,将m个产业部门生产的i产品相加就是全社会i产品的供给量,记为qi。即
(i=1,2,…,n),进一步,我们将sij与qi进行对比,计算得到的相对数成为市场份额系数,用eij表示,它说明j部门生产的i产品的数量在全部i产品中的比例占了多少,故称市场份额。即:
![]()
将所有系数计算出来构成的矩阵就是市场份额系数阵,记为E。
供给表的纵向,反映的是j产业部门的产品构成。sij表示j部门生产的i产品的数量,将j部门生产的不同产品的数量相加就是j部门的总产出,记为
2,…,n)。进一步,我们将sij与gj进行对比,计算得到的相对数称为产品构成系数,用dij表示,它说明j部门生产的i产品的数量占j部门总产出的比重,反映生产构成,故又称生产构成系数。即:
![]()
由所有生产构成系数构成的矩阵就叫生产构成系数阵,记为D。
矩阵E和D在后续的推断中具有重要的作用。
最后,供给表还有另一层意义的平衡,即全社会总供给=总产出

整个供给表的结构比较简捷,它实际上就相当于工业产出矩阵,前面已经说过,这个矩阵可以通过投入产出专项调查取得所需的资料,因此,供给表的编制要相对简单。在中国就是通过先编制供给表和产品表再来推导使用表的。
(二)使用表(U表)
表3-11是一张简化的使用表。主词、宾词的部门分类与供给表一致,所以这同样是一张非对称的或交叉式投入产出表。但与供给表仅反映产出或供给不同,使用表由三个部分组成,或者说分成三个象限:中间使用象限、最终使用象限和增加值构成象限。其结构与我们之前一直讨论的投入产出表完全一致(除了分类的区别)。
中间使用象限位于使用表的左上角,主词为产品分类,宾栏为产业部门分类,数据uij用于反映各产业部门按购买者价格计算的中间消耗,所以又称为消耗矩阵。最终使用象限位于使用表的右上角,横行是产品分类,纵列为最终使用,用于反映按购买者价格计算的最终消费支出、资本形成总额和出口,表中yi表示最终使用合计数。增加值象限位于使用表左下角,横行为增加值的构成,纵列为产业部门分类,用于反映各产业部门除中间消耗以外的生产成本。表中增加值的合计数记为zj。另外qi代表i产品的使用总量。gj代表第j个产业部门的投入总量。这两个指标与供给表中一致。
表3-11 使用表(U表)

上述第Ⅰ、Ⅲ象限结合,相当于给出了各产业部门的生产账户和收入形成账户,上述第Ⅰ、Ⅲ两个象限结合,反映了各种产品的使用情况。
不难看出,表中存在以下关系式:

根据使用表,还可以计算一个系数,叫部门消耗系数(或叫投入系数),计算公式为:
反映j部门生产一个单位的混合产出所消耗的i产品的数量。部门消耗系数矩阵则用C表示,同样它也是之后编制产品×产品投入产出表的重要参数。
供给表和使用表由于实行了交叉分组,大大丰富了核算内容。它们不仅仅起到了向对称型投入产出表过渡的平台作用,而且可以作为单独的核算表使用。具体表现在:供给和使用表提供了较货物和服务账户更为详细的、关于每类产品的资源和使用方面的信息;供给和使用表提供了编制各产业部门生产账户和收入形成账户的完整信息,而且对各产业部门的产出和中间消耗均按产品作了细分。此外供给和使用表提供了各产业部门使用的生产要素,如劳动投入和固定资产等方面更详尽的数据,有利于各产业部门进行生产率研究或其他类似的分析。
接下来我们重点要讨论的是关于UV表作为过渡平台方面的功能。
(三)供给表、使用表向对称形投入产出表的转换
将供给表和使用表按表3-12的结构整合在一张表上,这就是SNA设计的UV表[11],我们前面单独介绍的U表和V表的一些平衡关系、有关的系数以及两个表之间的关系都可以在UV表一张表中表现出来。
表3-12 投入产出数据结构表(UV表)

有了这样的一张表,我们就可以推导出产品×产品投入产出表所需要的一系列数据。但是,根据UV表推导产品投入产出表需要作一定的假定,下面介绍在两种假定条件下的推导过程。
1.产品工艺假定
所谓产品工艺假定,是假设一种产品不论由哪个产业部门生产,都具有相同的投入结构。以电这种产品为例,电力部门生产电,钢铁部门也生产电,虽然生产者属于不同行业,但由于生产的是同种产品,那么根据产品工艺假定,这两个部门生产电的消耗结构被认为是一致的。
就每一产业部门而言,其各种生产消耗应该与其所生产的各种产品的数量及每种产品的直接消耗系数直接有关。结合前面UV表中的数据符号表达,有:

U=A·VT
所以 A=U·(VT)-1
又因为 vij=dijgj uij=cijgj
上式A=U·(VT)-1,又可以写成A=CD-1。
其中,A就是纯部门×纯部门投入产出表的直接消耗系数矩阵,并假设VT的逆阵存在[12]。C为根据使用表U计算出来的投入系数矩阵,D是根据供给表V计算出来的产出系数(产出构成系数)矩阵。
计算出纯部门的直接消耗系数后,就可以用
得到中间产品的流量数据。这里的
就是由各种产品的总产出q1,q2,…,qn所组成的对角矩阵。
根据投入产出表的平衡关系式,可进一步求出最终产品、最初投入。于是按纯部门分类的产品×产品投入产出表就完成了转换。
2.部门工艺假定(产业技术假定)
所谓部门工艺假定,是假定同一产业部门生产的不同产品具有相同的投入结构。反之,同一种产品在不同的产业部门生产,它们的投入结构也随之不同。例如冶金企业生产钢铁,也生产焦炭,我们就假定这个企业生产钢铁的投入结构与生产焦炭的投入结构是一样的。
从全社会来看,某种产品的消耗结构应该等于各产业部门生产该种产品的消耗结构的加权平均数。其中,权数应为各产业部门生产该种产品的产量占该种产品总产量的比重,即市场份额系数。由于部门工艺假定了同一产业部门生产的不同产品具有相同的消耗结构,从而某产业部门生产的任何产品的消耗结构都可以用该产业部门的消耗结构来代替。
因此,要计算某种产品J对某种产品I的直接消耗系数aij,就是J部门的部门消耗系数与该部门产品市场占有份额的乘积。即:
aij=ci1e1j+ci2e2j+…+cimemj
i=(1,2,…,n);j=(1,2,…,n)
写成矩阵形式就是A=CE,于是,纯部门的直接消耗系数就可以通过投入系数矩阵C及市场份额系数矩阵E推导出来。其他栏目的推导同产品工艺假定。
以上简要介绍了如何利用UV表来间接推导产品×产品投入产出表。其前提就是要有一定的假定条件。但无论是产品工艺假定还是部门工艺假定都有一定的局限性。为了避免按上述两种工艺假定处理所可能导致的不合理结果,还有一种被称之为“混合工艺假定”的方法。它是把上述两种工艺假定“混合”起来,根据产品的不同投入构成,分别采用不同的工艺假定。
三、其他编表方法(RAS法)
上面介绍的几种投入产出编表方法,无论是直接分解还是间接推导法,都需全部或部分依靠统计调查收集大量的数据信息,其中直接分解法尤其耗时耗力、成本巨大。所以投入产出表不像国内生产总值核算表那样每年都可以编制,它只在逢2、7的年份编表,编表年份需要进行投入产出的专项调查,逢0、5的年份编制延长表,如果分析中需要连续的投入产出数据,势必需要专项技术自行推导编制出投入产出表。经过多年的探索研究,一些编表速度较快、成本较低的方法脱颖而出,类似的技术被称为非调查方法。
非调查方法的基本思想就是:从统计资料中获取那些容易获得的数据,然后或采用一些数学或统计技术,或给出一定假设条件,推算出那些估计难度比较高的数据。由于其主要数据并非来自调查资料,所以叫“非调查法”
在投入产出表中,估计难度较高的主要是中间产品流量矩阵,所以,此类方法的关键就是如何估计出中间产品的数量。最典型的方法就是RAS法,又称双比例尺度法,这是斯通在20世纪60年代最先提出的,之后有很多改进的方法。下面简要介绍RAS法的基本操作思路。
利用RAS法,首先需要知道如下一些基本信息:
(1)基年投入产出表的中间投入矩阵
与总产出![]()
(2)目标年各部门的总产出![]()
(3)目标年各部门的中间投入合计![]()
(4)目标年各部门的中间使用合计![]()
在已知上述资料的前提下,就可以估计目标年份的中间投入流量。
如果所拥有的目标年信息除了(2)、(3)、(4),还包括第Ⅰ象限中部分单元格的数值,则估计其他单元格数值的算法就是改进RAS法。
利用RAS法估计中间产品流量时,首先要假定目标年与基年的投入结构相同,则有中间投入/总投入的结构不变,即
不变。
用aij乘以目标年各部门的总产出qj t,得到目标年中间投入阵(元素为
将中间投入矩阵的行与列合计,理应等于目标年的中间投入合计和中间使用合计![]()
但是实际上,中间投入矩阵的行、列合计数与控制变量的数值会不一致,说明投入结构发生变化,这时需对基年的结构进行调整。用调整后的系数再次乘以目标年各部门总产出,出现新的中间投入矩阵,再将中间投入矩阵的行列相加与控制变量的行列对比,看其是否相等,如果不相等,再修改系数进行调整,循环往复,直至最后的中间投入阵的行合计数恰好等于目标年的中间使用合计;中间投入阵的列合计数恰好等于目标年的中间投入合计。显然这样计算的工作量会很大,实际运用中可以借助于计算机软件来顺利实现。[13]
可见,RAS法是一种用目标年的中间使用合计作为行向控制量、目标年的中间投入列合计作为列控制量、采用一定方法,从基年的投入结构出发进行调整,寻找出能同时满足行列双重约束条件的中间投入矩阵的方法。该法具有成本低、操作简单可行,数学性质优,可靠度较高的特点,所以可以广泛应用于投入产出表的编制和应用中。
如果需要了解更多的改进的RAS计算方法,大家可参考相关专业书籍。
练习与思考
一、名词解释
最初投入 中间投入 中间使用 最终使用 直接消耗 完全消耗
直接消耗系数 完全消耗系数 完全需要系数 影响力系数
感应度系数 UV表 RAS法
二、思考题
1.投入产出表的四个象限分别代表什么意义?表中有哪些平衡关系?
2.直接消耗系数、完全消耗系数有何区别?
3.简述投入产出的行模型、列模型的表达形式及推导过程
4.利用投入产出表可以进行哪些分析?
5.投入产出表编制的“调查法”和“非调查法”是指什么?
三、单项选择题
1.投入产出表的第Ⅰ象限从横向看,表明 ( )
A.某个产业部门在生产过程中消耗各产业部门的产品数量
B.某个产业部门的产品提供给各个产业部门作为生产消耗使用的数量
C.各产业部门提供给某个产业部门产品的数量
D.各产业部门生产中消耗某产业部门产品的数量
2.在一个三产业的投入产出表中,直接消耗系数a23=0.7856,其含义是 ( )
A.第二产业生产1个单位总产出对第三产业的中间消耗量是0.7856
B.第三产业生产1个单位总产出对第二产业的中间消耗量是0.7856
C.第二产业生产1个单位最终产出对第三产业的中间消耗量是0.7856
D.第三产业生产1个单位最终产出对第二产业的中间消耗量是0.7856
3.完全消耗系数反映 ( )
A.中间投入与中间产出的关系 B.中间投入与最终产出的关系
C.中间投入与总产出的关系 D.最终产出与总产出的关系
4.一家企业主要生产钢铁,同时从事少量炼焦和采矿业务,则在编制投入产出表时该企业的总产出应该记在 ( )
A.钢铁业 B.炼焦业
C.采掘业 D.同时记录以上三个产业
5.理论上要求:投入产出核算的部门分类采用 ( )
A.纯产品部门分类 B.产业部门分类
C.活动部门分类 D.交叉分类
四、多项选择题
1.生产过程中的最初投入包括( )
A.劳动者报酬 B.生产税净额
C.固定资产折旧 D.财产收入
E.营业盈余
2.投入产出表从横向看,反映 ( )
A.产品的实物运动过程 B.产品的价值运动过程
C.中间产品+最终产品=总产品 D.最初投入+中间投入=总投入
E.总产品=总投入
3.投入产出表中的基本平衡关系有 ( )
A.中间投入+最初投入=总投入 B.中间产品+最终产品=总产品
C.总投入=总产出 D.各部门最终产品合计=各部门增加值合计
E.每一部门的最终产品=每一部门的最终产值
4.投入产出表中第Ⅱ象限的宾栏包括 ( )
A.居民及政府消费 B.固定资本形成
C.生产税净额 D.库存增加
E.净出口
5.产品×产品投入产出表的编制方法通常包括 ( )
A.直接分解法 B.UV表法
C.RAS法 D.产品法
E.企业法
五、计算题
1.假设某国2005年的投入产出表如下所示:

(1)用三种方法计算该国当年的国内生产总值。
(2)计算该投入产出表的直接消耗系数矩阵。
(3)如果计划期各部门的总产出调整为9000亿元、40000亿元和10000亿元,则利用投入产出模型预测各部门的最终产品。
2.假定将国民经济分成A、B、C三个部门,以下是根据上年的投入产出表计算的直接消耗系数矩阵及完全消耗系数矩阵表。

(1)如果计划期该地各部门的增加值分别为300亿元、450亿元和225亿元,则该年各部门的国民经济总产出、最终产品分别是多少?为达到计划任务各部门应购买或提供多少的中间产品?
(2)如果计划期最终产品调整为600亿元、800亿元、400亿元,则总产出多少?
3.根据《中国统计年鉴2012》所提供的我国2007年投入产出表中的完全消耗系数部分,计算出各部门的影响力系数和感应度系数。
【注释】
[1]1936年,约翰·梅纳德·凯恩斯发表了著名的《就业、利息和货币通论》。该书一出版就引起了西方经济学界的轰动,有人把他的理论誉为一场像“哥白尼在天文学上,达尔文在生物学上,爱因斯坦在物理学上一样的革命”。《就业利息与货币通论》,就是由于力图挽救这次“经济学危机”而被称为对传统经济学的“革命”的。它的核心问题是如何解决就业,以缓解市场供求力量失衡的问题。他提出要加强国家对经济的干预,增加公共支出,降低利率,刺激投资和消费等政策,以实现充分就业。在分析方法上,侧重于对全社会总供给、总需求、投资和消费等总量的分析。
[2]1987年的价值型投入产出表与1982年诞生地第一张价值型(1981)投入产出表存在本质区别。1981年表的核算范围只包括物质生产活动,而不包括非物质生产活动,这与当时的MPS核算体系相对应;而1987年的投入产出表的内容涵盖了所有的部门。它的成功标志着我国的投入产出技术发展到了一个新的阶段。所以有的文献中将1987年投入产出表称其为国家统计局编制的首张投入产出表。
[3]目前2012年的投入产出表正在编制中。
[4]同质单位(homogeneous unit):只包括一种生产活动的单位。
[5]该表直接取自中国人民大学出版社出版的,高敏雪等编著的《国民经济核算原理与中国实践》(第二版)中的表3-1,属于已经经过分类汇总处理的表格,表中个别地方存在数据不平衡状况。
[6]关于进口的处理:在投入产出表的第Ⅱ象限设置一个进口列,反映每种产品总共进口了多少。在中国,从国家表到地区表,都是以此种方式来处理进口的。须注意的是:第Ⅰ象限和第Ⅱ象限(进口列除外)中各元素的数值都已包含了进口。进口列虽然放置在第Ⅱ象限,但其所记录的数据并非仅和最终使用有关,其中一部分是被生产过程当期消耗掉了,属于中间使用。
[7]关于进口的处理:在投入产出表的第Ⅱ象限设置一个进口列,反映每种产品总共进口了多少。在中国,从国家表到地区表,都是以此种方式来处理进口的。须注意的是:第Ⅰ象限和第Ⅱ象限(进口列除外)中各元素的数值都已包含了进口。进口列虽然放置在第Ⅱ象限,但其所记录的数据并非仅和最终使用有关,其中一部分是被生产过程当期消耗掉了,属于中间使用。
[8]注意:在投入产出表中的产出和中间投入统一按基本价格计算,而GDP核算中的最终使用按购买者价格计算,所以这里表现的最终产品价值是指按生产者价格计算的最终产品,与GDP核算中的按购买者价格计算的最终产值在量上有一定的差异,但从实物构成上是吻合的。
[9]原表中的不平衡数据已经作了自行处理。
[10]为了便于和使用表联系起来说明表中各数据之间的关系,供给表采用了和使用表大致相同的格式,即用行表示“产品分类”,用列表示“产业部门分类”。供给表中产业部门的产出是按基本价格计算的,而使用表的总使用是按购买者价格计算的,为了使供求平衡,需要将供给表中的按基本价格计算的项目调整成按购买者价格计算的内容(也可反过来调整)。故在实际供给表中还要增加两列,包括“商业和运输费用”、“产品税减产品补贴”。当产业部门的产出按生产者价格计算时,“产品税减产品补贴”列的数据也应作相应的调整。此外实际供给表中还设有调整项,用于对进口货物的价格进行调整。
[11]V表的行列应该进行转置
[12]要使VT采用产品工艺假定推导纯部门×纯部门的投入产出表,必须满足条件:产品种数n等于产业部门数m。否则,就只能采用部门工艺假定。
[13]具体可参考中国人民大学出版社出版的《国民经济核算原理和中国实践》p116—121。
上一篇:“孙子膑脚,兵法修列”
下一篇:抗原特异性





.jpg)
.jpg)
