
6.1.2 典型反应类型
1.聚合度基本不变的转变
聚合物与低分子反应,仅限于侧基或端基转变而聚合度基本不变的反应,称为聚合物的相似转变。这类反应在工业上有诸多应用,例如天然或合成聚合物的官能团反应如酯化、醚化、卤化、硝化、水解、醇解等。
(1)纤维素的反应
纤维素由葡萄糖单元组成,每个环上有三个羟基,其结构如图6-1所示,可与许多试剂反应,形成重要的纤维素衍生物。如硝化纤维素、醋酸纤维素、甲基纤维素等。

图6-1 纤维素分子结构式
今以Cell-OH代表纤维素,Cell为纤维素的骨架,则纤维素的硝化反应为:
Cell-OH+HNO3→Cell-ONO2+H2O
一般来讲,仅有部分羟基被酯化,工业上常以N%表示硝化程度。N%在12.5%~13.6%时为高氮硝化纤维,一般作无烟火药;N%为10.0%~12.5%时称为低氮硝化纤维。N%为11%时用来制备赛璐珞塑料,N%为12%时用作涂料及照相底片。
(2)醋酸乙烯酯的反应
乙烯醇很不稳定,聚乙烯醇系由聚醋酸乙烯酯用甲醇醇解来制备:

聚乙烯醇与醛类反应生成聚乙烯醇缩醛,可用作安全玻璃粘合剂、电绝缘膜及涂料等。

常用的醛类为甲醛、丁醛,即R为H或-C3H7。
(3)光致变色反应
高分子光致变色依反应机理可分为:
1)异构化
①顺反异构

②分子内氢转移异构


③分子离解成离子或自由基
2)氧化还原反应

3)顺反异构与氧化还原结合

该体系具有储密度高、光响应快等特点,如将此原理与LB膜技术结合,制备出多层单分子膜材料,可为偶氮化合物在光信息存储领域中的应用展现光明的前景。
(4)重氮系高分子的光反应
含有重氮基团的高分子经光照分解出N2,同时发生物理性质的变化。

高分子重氮盐可溶于水,但曝光后转变为不溶于水的物质,因此该聚合物可用于制作阴图型平印印版。重氮聚丙烯酰胺也有类似的性质和用途。
2.聚合度变大的反应
这类反应主要有交联、接枝、嵌段和扩链等。
(1)交联反应
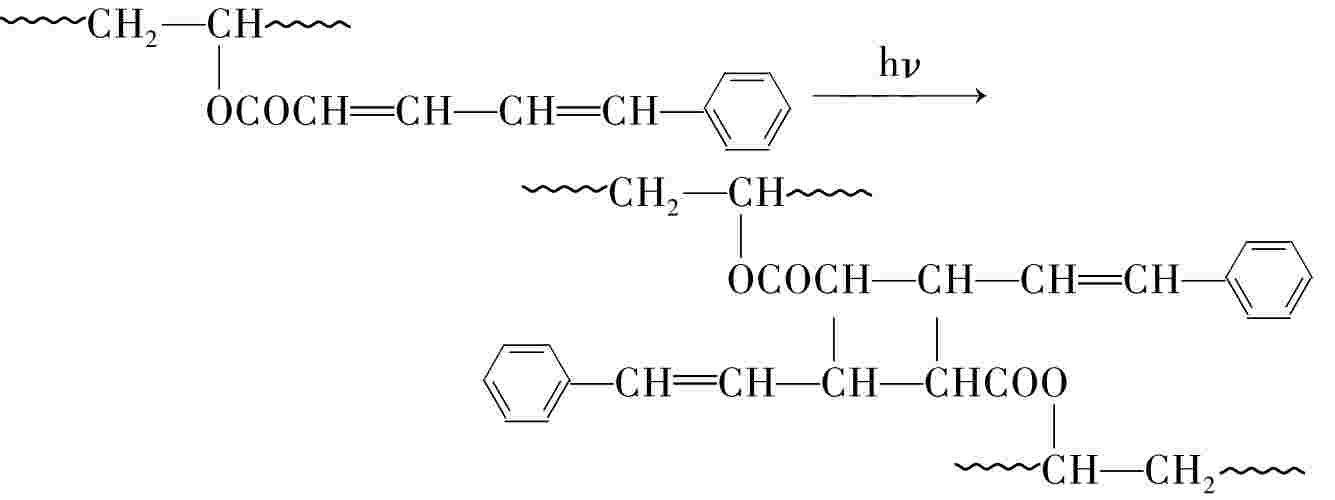
聚合物在光、热、辐射能或光交联剂作用下,分子链间以化学键连接起来构成三维网状或体型结构的反应,称为交联。交联反应可为聚合物提供许多优良性能,如提高强度、弹性、硬度、形变稳定性、耐化学性能等,因此被广泛应用于聚合物的改性。交联键的多少,常根据应用需要进行相应的控制,例如弹性体只需要少量交联,热固塑料则要求高度交联。这里主要以光成像为例来阐述交联反应。
许多高分子在光的直接或间接作用下,分子内或分子间结构发生化学变化,其性质也随之变化,如变成可溶性、不溶性、亲水性、亲油性、着色以及硬化等。这类高分子常常称之为感光性高分子。其感光性可由高分子化合物本身来完成,也可通过系统中共存的其它感光性小分子化合物吸收光能后再传递给高分子来完成。
感光性聚合物的发现距今已有100多年的历史,1826年,法国化学家J.N.Niepce着眼于沥青的光固化特性,将沥青涂在石板上,放进照相机里,经光学镜头长时间曝光后,用松节油除去未固化的沥青留下感光固化的部分,从而得到第一张永久性的影像。数年后,他又将沥青照相术应用到印刷业的制版过程中,从而发明了照相制版术,其方法是将沥青涂在供印刷用的铜版上。按上述沥青照相术制出图像后,将铜版浸入能溶解铜的酸性溶液之中(主要是FeCl3溶液),成功地制备出了凹凸图像——凸版。1832年,德国人G.Suckow发明了重铬酸盐在明胶等中的光固化现象,7年后(1939),英国人S.M.Ponton首先将重铬酸盐用于照相研究,到1850年,英国人F.Talbot将重铬酸盐与明胶混合后涂在钢板上制作照相凹版获得成功,之后重铬酸盐-蛋白、重铬酸盐-明胶被陆续应用到平版与凹版的制作中,使照相制版术迅速发展和广泛应用。
第二次世界大战后,聚乙烯醇肉桂酸酯的出现,使这种技术从印刷制版更广泛发展到电子工业等领域,这种被称为光刻法的电路制版新工艺给电子工业带来了划时代的革命。随着电子技术的发展,20世纪60年代将感电子和感X射线的聚合物应用于电子工业,可在半导体硅片上任意刻制微细图案,从而实现了现代计算机的超小型化和智能化,这对世界工业革命起到了不可估量的推动作用,可以当之无愧地说:感光高分子是当代计算机的基石。
如今,聚合物的光反应活性主要应用于电子工业、涂料工业及印刷工业,如印刷版的制作,UV固化油墨及涂料,集成电路、印刷线路、彩色显像管等的腐蚀加工等。其基本的光化学反应主要是光交联。
1)重铬酸盐-高分子体系的光固化
由重铬酸盐导致的高分子固化反应的机理一般认为是两步反应:第一步是酸性条件下,吸收250nm、350nm、440nm的光后还原为三价铬。
![]()
第二步是三价铬与高分子化合物中富电子的原子配位而使高分子交联固化:

PVA与Cr(Ⅲ)

明胶与Cr(Ⅲ)
环氧树脂、聚酰亚胺、聚乙烯醇缩丁醛树脂等高分子均可与重铬酸盐组成感光体系,仅仅是显影液不同而已。不过这一体系由于存在一些不足,特别是重铬酸盐的毒性及环境污染,目前已被淘汰。
2)肉桂酸系高分子的光交联
肉桂酸分子中的双键受到吸电子基(苯基及羧基)的作用,在320nm即有吸收,发生二聚,因此,聚乙烯醇肉桂酸酯可广泛应用于金属板的腐蚀加工和生产印刷线路的光致抗蚀膜,也可供作照相凹版用的光致抗蚀膜、耐印力高的阴图-阳图型胶印预涂版。其基本原理是光照后可发生光交联(二聚)反应,改变材料的理化性质。如:

用肉桂叉醋酸代替肉桂酸,将聚乙烯醇酯化得聚乙烯肉桂叉醋酸酯,其肉桂叉基遇光也发生二聚,形成环丁烷,导致聚乙烯醇链的交联反应。

3)叠氮系高分子的光交联
烷基叠氮物遇光(300nm以下)很易发生光分解,分解产生活泼亚氮物及氮气。芳基叠氮物则在吸收300nm以上的光时也会发生光分解:
![]()
这些单线态、三线态中间体依条件的不同而发生不同的反应,如:
①单线态、三线态均可耦合反应:
2RN∶─→RN═NR
②单线态的吸电子性较强,优先发生向双键的加成反应,及向C─H键、O─H键、N─N键等的插入反应。

③三线态中间体优先进行夺氢反应

聚合物分子链上含有叠氮基时,在光照情况下,可发生叠氮基的分解,产生亚氮基结构,两个氮烯发生耦合反应而使聚合物交联。

Kodak公司及Agfagevaert公司发表了多种叠氮高分子,它们都是“含叠氮基高分子型”的抗蚀剂,如:

当然,聚合物在叠氮化合物存在下也可发生交联反应,如叠氮基的光分解产物亚氮基与线型酚醛树脂中的羟基发生夺氢反应,从而使酚醛树脂交联。因此可使曝光部位对碱的可溶性大大降低。如用稀碱显影时,曝光部位被保留成为聚合物图像。

叠氮物与环化橡胶组成的体系,光固化反应为:

4)重氮醌类高分子的光交联
重氮醌类化合物中的重氮基不是离子基团,故不溶于水。但受光照时可发生分解,随后进行分子内的重排反应成为烯酮,在水存在下,烯酮水解为羧基,因此可溶于碱性溶液。高分子化合物中如含有重氮醌基团,则可利用上述性质制作成正型感光材料,如邻-重氮苯醌和邻-重氮萘醌类高分子化合物已广泛用于PS胶印版的制造。

不溶于碱性溶液

溶于碱性溶液
邻-重氮萘醌与碱溶性酚醛树脂体系在曝光处成盐,可和酚醛树脂一同被碱水溶解。未曝光部分交联不溶于碱溶液中,因此可作为阳图。该体系分辨率高,耐等离子刻蚀,无有机溶剂显影,广泛用于阳图PS版和正性光刻胶。
聚合物分子中如有光活性剂,也易发生自由基交联反应,生成难溶于溶剂和碱水溶液的网状结构。


(2)接枝反应
在聚合物主链上接上一些侧支链,其结构单元的结构和组成与主链不同,这样的化学过程称为接枝反应,形成的接枝共聚物的性质决定于主链和支链的组成、结构、长度以及支链的数目。长支链的接枝共聚物类似于共混物,支链短且多时则类似于无规共聚物。接枝也是聚合物改性的重要手段之一,例如可改善聚合物的相容性能、界面性能等。
接枝共聚物一般可用两种方法来制备,即聚合法和偶合法。聚合法是使第二单体在聚合物主链新产生的引发活性点上聚合,形成支链的方法,这在前面学习的共聚反应中已经阐述。耦合法是主链大分子的侧官能团与带端基官能团聚合物反应的方法,例如在液氨中用NaNH2为引发剂进行负离子聚合可得到末端为胺基的聚苯乙烯预聚物,然后与含有异氰酸酯侧基的甲基丙烯酸甲酯共聚物反应,即可形成接枝共聚物。


这种方法不仅接枝效率高,实施也方便,是一种较有前途的方法。
(3)扩链反应
通过适当方法使较低分子量的预聚体连接在一起,分子量因而增大的反应,称为扩链反应。如可生物降解的聚乳酸在六次甲基二异氰酸酯扩链后,其分子量可成倍增加。

因此,在通常的逐步聚合反应后,如需要再提高产物的分子量,除采用后聚合,强化聚合条件外,扩链反应乃是一种可供选择、较为方便的技术路线。选用的扩链剂应具有活性更高的可反应基团,使官能团间的反应能进一步进行,大幅度提高缩聚物的分子量。表6-1为某些遥爪预聚物的端基和扩链剂(交联剂)的官能团。
表6-1 遥爪预聚物的端基和扩链剂的官能团

3.聚合物变小的反应
聚合物分子量变小的反应总称为降解,其中包括解聚、无规断裂及低分子物质的脱除等反应。影响聚合物降解的因素很多,如热、光、机械力、超声波、化学药品及微生物等,有些还常受几种因素的综合影响。聚合物在使用过程中,受物理及化学因素的影响,性能变坏,这种过程称为老化,其中主要反应是降解。
聚合物的降解过程非常复杂,下面按降解的引发方式不同,依次就光降解、热降解、氧化降解作一些简单论述。
(1)光降解反应
聚合物在使用过程中经常受到日光照射,可发生光降解和光氧化,了解其机理,有利于采取光稳定措施。
聚合物受光照时是否引起分子中化学键的断裂,取决于光能和键能的相对强弱。红外光的波长在100nm以上,能量约为125kJ/mol,远低于共价键的离解能(约160~600kJ/ mol),因此对聚合物的降解甚小。波长为300~400nm的近紫外光能被含有双键及醛、酮等含羰基的聚合物所吸收而引起化学反应,但不能被只含C─C键的聚烯烃所吸收。
天然橡胶和二烯烃类橡胶对光照敏感,部分降解,性能很快变劣而老化。涤纶对280nm的紫外光有强烈的特征吸收而降解,产物主要是CO、H2、CH4。纯聚氯乙烯对光照稳定,并不吸收300~400nm紫外光。但PVC热解可产生少量的双键、羰基,就能吸收紫外线而引起光化学反应,从主链脱去HCl。饱和烃并不吸收日光,但少量的双键、羰基、催化剂残基、氢过氧化基团、过渡金属、芳基和其它杂质均可促使聚烯烃的光氧化反应。若这些生色基团位于薄膜表面,则可加速表面的光氧化。
300~400nm的紫外光仅能使多数聚合物呈激发态而不离解。但若有氧存在,则被激发的H─C键易被氧脱除,形成氢过氧化物,然后按氧化机理降解。另外,聚烯烃的光氧化有自动催化效应,可能是氧化产物起着光敏剂的作用。
高分子化合物在短于300nm的远紫外光照射时易发生光降解反应。通常将300nm以上光照射下有好的降解性的高分子称作光降解型聚合物,其常见的典型反应为以下几种:
1)Norrish-Ⅰ型反应
R.G.W.Norrish首先发现了饱和羰基化合物在气相中会发生光引发的脱羰反应,在250~320nm光的作用下,羰基上的弱键会断裂。如羰基相邻的C─C键断裂,即α-位断裂,则称为Norrish-Ⅰ型光降解。
这类反应主要发生在气相中,在溶液中则由于激发分子与溶剂分子的碰撞加快了振动弛豫而消耗了能量,使光化学反应难以发生,但也有资料显示仍然有不少类似反应发生在溶液之中。聚乙烯分子中由于结构上的缺陷或存在杂质,常常含有C═C或O═C键,在光照时,与羰基相邻的C─C键均裂,形成一个烷基自由基和酰基自由基导致降解反应发生。
![]()
2)Norrish-Ⅱ型反应
该反应是羰基吸收光能后形成激发态羰基,该激发态羰基从γ-位上提取氢,形成1,4-双基,再由六元环中间体将能量转移至β位,从而使α、β碳原子间的C─C断裂,发生大分子的降解。如聚甲基乙烯基酮的光解反应。

因此含羰基的聚合物一般易发生Norrish型反应,如美杜邦公司生产的含5%的羰基的乙烯和CO共聚物(E/CO)-Ecolyte,可制作啤酒罐、饮料罐的塑料连接环,其特点是自身降解(60~600天降解),无诱导期,使用时加稳定剂控制光解速度。另外,在含羰基的聚合物中添加光活化剂(乙酰丙酮、二茂铁、二硫化氨基甲酸),起初这些光活化剂起抗氧化剂的作用,待其诱导期结束、光活化剂耗尽、分解产物积累到一定浓度时,则以指数级的速度催化光氧化反应,如PE地膜中加入0.03%~0.3%的二茂铁,地膜经阳光照射1~4个月基本分解,PE从7~10万降解至6000。
此外,聚合物中催化剂残留物,以及加工过程中引入的过氧化物也能引发聚合物降解,如残留催化剂的引发作用:
Mn+Xn→M(n-1)+Xn-1+X·
X·+PH→P·+XH
过氧化物引发作用:
POOH→PO·+·OH
PO·+PH→POH+P·
P·+O2→POO·
POO·+PH→POOH+P·
上述聚合物尽管可发生多种光降解反应,但其反应速度不见得很快,为了加快光降解的进行,常常需要加入光降解促进剂,如添加光敏剂(芳香酮、多环芳香化合物、有机二硫化物、氮的卤化物、偶氮物、过渡金属盐或络合物)吸收光能(UV),产生自由基,从而引发聚合物降解,大幅度缩短光氧化老化的时间。英国的Scott教授发明了7种迟缓型光敏剂,在高浓度时能起热氧化稳定剂的作用,在低浓度下,是有效的光氧化降解引发剂。上海有机所的长链烷基二茂铁系,长春应化所的多卤化铁系,可用于PE、pp膜和包装材料的光降解引发剂。
显然,光降解是许多聚合物材料老化的主要原因之一,因此常常加入光稳定剂,以增强聚合物材料的耐老化性能。光稳定剂因其稳定机理不同可分为三种类型。
①光屏蔽剂:能反射和吸收紫外光,使光不透入聚合物内部,如炭黑,既有吸收紫外光的能力,也有抗氧化的作用。
②紫外吸收剂:能吸收290~400nm波长的紫外线的化合物,它们吸收紫外光会激发,当回到基态时,可将光能转化为热能,或同时放出弱的荧光或磷光,如2-羟基二苯甲酮、2-(2-羟基-5-甲基苯基)苯并三氮唑。
③猝灭剂:可与受光照激发的聚合物分子作用,通过猝灭反应,夺取聚合物激发态的能量,使其回归到基态,自身得到的能量以热的形式耗散掉。这类物质主要是二价镍的有机螯合物如硫代双(4-叔辛基苯酚镍)。
④金属钝化剂:一些微量的金属离子可加速聚合物的自身氧化过程,如能将这些金属离子螯合,便可降低聚合物的自身氧化性能,这类螯合剂称为金属钝化剂,如水杨醛肟可与铜形成络合物。
⑤受阻胺光稳定剂:这是一种高效的防光老化剂,其作用包括单线态的猝灭剂、自由基的捕捉剂、过氧化氢的分解剂,因此综合了抗紫外光氧化的各种作用,广泛应用于工业产品之中。其一般形式为:

⑥小分子吸收剂:聚氯乙烯分解出HCl,可进一步促使聚氯乙烯分解,而加入各种金属盐,如硬脂酸的钙盐、钡盐、锌盐;环氧化合物如环氧大豆油;有机金属化合物如二丁基二月桂酸锡等,可吸收HCl。
(2)热降解
虽然热氧化是聚合物最普遍的降解,但纯粹热降解也很重要。其中解聚、无规断链及侧基脱除是热降解的主要形式。
1)解聚
在热的作用下,大分子末端断裂,生成活性较低的自由基,然后按链式机理迅速逐一脱除单体而降解,脱除少量单体后,短期内残留物的分子量变化不大,这类反应称为解聚。



![]()
影响热降解产物的主要因素有热解过程中自由基的反应能力、参与链转移反应的氢原子的活泼性。所以含活泼氢的聚合物如聚丙烯酸酯类、支化聚乙烯等,热解时单体收率都很高。如聚合物裂解后生成的自由基被取代基所稳定,一般按解聚机理反应。利用该原理,可从废有机玻璃回收单体,因此热解反应是包装废弃物回收处理、循环利用的重要方法之一。
2)无规断裂
聚合物受热时主链发生随即断裂,分子量迅速下降,但单体回收率很低,这类热解反应即为无规断裂。例如聚乙烯断链后形成的自由基活性较高,分子中又含有许多活泼的仲氢原子,易发生链转移及双基歧化终止,因此单体收率很低。
3)取代基脱除
PVC、PVAc等受热时可发生取代基脱除反应。因而在热失重曲线上往往会出现平台。例如PVC在100~120℃下开始脱除HCl,在200℃下脱HCl速度很快,因而加工时(180~200℃)往往会出现聚合物色泽变深、强度降低等现象。总反应如下:
![]()
游离的HCl对脱HCl有催化作用,金属氯化物如HCl与加工设备作用生成的氯化铁能促进上述反应。另外,PVC分子量的大小对其热稳定性也有影响,因此在其热加工时,要加入百分之几的酸吸收剂,如硬脂酸钡、硬脂酸镉、有机锡、铅化合物等,以提高其热稳定性。
(3)氧化降解
通常将聚合物的氧化反应分为两类:直接氧化和自动氧化。所谓直接氧化系指聚合物与某些化合物在环境温度下的反应,如聚烯烃与KMnO4/H2SO4或HNO3的氧化反应,淀粉与Na2S2O8的氧化反应等。自动氧化则是指聚合物(PH)材料在使用或加工时与分子氧的反应。这种反应使聚合物分子量降低,性能变劣,老化加速。其降解机理属于自由基链式反应,并具有自动催化现象。链的引发可由多种途径,如残留的自由基引发剂、热裂解、光分解、辐射分解及机械力等都能诱发初级自由基,其具体反应过程如下:

另外,微量金属离子对聚合物的氧化起催化作用。其主要作用在于通过氧化还原反应分解氢过氧化物,从而生成自由基。
ROOH+Men(+)→RO·+Me(n+1)(+)+OH(-)
ROOH+Me(n+1)(+)→ROO·+Men(+)+H(+)
需要说明的是聚合物的氧化降解过程十分复杂,不同的聚合物具有不同的降解方式,如饱和链和不饱和链聚合物、碳链与杂链聚合物、带有不同取代基的聚合物,其降解情况都不尽相同。
(4)化学降解和生物降解
聚合物与化学试剂作用引起的降解反应称为化学降解。除氧化降解外,水、酸、碱、醇等各种有机溶剂及大气中的臭氧、CO2、NO2、SO2等都有可能引起聚合物的降解。化学降解是否发生,以及进行的程度,取决于聚合物的结构及化学试剂的性质。
水解反应是最重要的一类化学降解反应,许多杂链聚合物如聚酯、聚酰胺、多糖等,当水含量不高且在室温时,水分起着一定的增塑和降低刚性等作用;而温度较高,相对湿度较大时,它们对水就较为敏感,易发生水解使聚合度降低,该过程一般为无规裂解过程。聚碳酸酯、聚酯等加工前必须干燥除水,原因即在于此。表6-2列出了聚合物水解的一些典型例子。
表6-2 线型聚合物的水解

含有可水解基团的聚合物,还可进行醇解、酸解、胺解,也可被碱腐蚀。
生物酶也可降解许多聚合物,常见的纤维素酶可降解纤维素,淀粉酶可降解淀粉。聚乳酸手术缝合线等在生物体类被水解成乳酸、羟乙酸等产物。这些在体内发生降解的反应称为生化降解。其降解性能一般与聚合物的分子结构有关,归纳如下:
①具有侧链的化合物难降解,直链高分子比支链高分子、交联高分子易于生物降解。
②柔软的链结构容易被生物降解,有规晶态结构阻碍生物降解,所以聚合物的无定形区总比结晶区域先降解,脂肪族聚酯较易生物降解。主链柔顺性越大,降解速度越快。
③具有不饱和结构的化合物难降解,脂肪族高分子比芳香族高分子易于生物降解。
④相对分子质量对高聚物的生物降解性有很大影响。由于许多由微生物参与的聚合物降解都是由端基开始的,高相对分子质量的聚合物因端基数目少,降解速度较低。
⑤低相对分子质量低聚物比高相对分子质量聚合物易于降解。
⑥非晶态聚合物比晶态的较易进行生物降解。低熔点高分子比高熔点高分子易于生物降解。
⑦酯键、肽键易于生物分解,而酰胺键由于分子间的氢键难以生物分解。
⑧含有亲水基团的亲水性高分子比疏水性高分子易于生物降解。
⑨环状化合物难降解。
⑩表面粗糙的材料易降解。
4.高能辐射光反应
一般的平版印刷或光刻蚀,用紫外光作为能源,但由于易受光的波动性影响,分辨极限只能达到微米数量级。如要制成更精细的产品,如大规模集成电路(LSI)或超大规模集成电路(VLSI),则必须达到亚微米数量级的精度,从而利用高能辐射发展起来了所谓感电子束和感X射线的高分子化合物的应用技术。
聚合物在高能光子流作用下,主要发生交联(聚合、接枝、固化)及裂解,其交联类型主要分为H型及T型:

其裂解机理分为:
(1)主链裂解成两个大自由基

(2)侧基失去

Miller等人认为对于具有CH~~2─CHR1R~~2结构的乙烯基聚合物,其反应规律与R1R2有关:

①R1、R2任意一个为氢原子时,易发生交联反应。反应是由于α-位脱氢后,形成稳定的碳自由基,从而发生自由基耦合而交联。
该
②R1为甲基,R2为非氢侧链,或均为卤原子时则易发生降解,如

也有人得出“聚合热大的高分子经射线照射发生交联,聚合热低的高分子则发生降解”的结论。如表6-3所示。
表6-3 聚乙烯类的射线照射效应与R1、R2基、聚合热、主链键离解能的关系

上一篇:托马斯·杨与光的干涉
下一篇:情感态度价值观的重要性





.jpg)
.jpg)
