
五、我国中间业务创新产品定价策略
根据中间业务创新产品一般定价目标、定价原则、定价方法及西方商业银行定价经验,立足于我国商业银行现实状况和现行的制度框架,我国商业银行中间业务对创新产品制定价格时,首先明确所开办中间业务的定价目标,其次要对中间业务及收费情况进行合理分类;然后根据中间业务市场现状,辨明所提供服务的特别客户或市场细分,分析主要客户的利益和他们从其他竞争者提供的产品和服务中所获得的好处,最后确定中间业务创新产品收费定价策略。
(一)具体定价策略
1.歧视定价策略
这是指商业银行根据服务的客户对象不同,制定不同的收费定价标准。对贡献大的客户提供较低收费价格甚至于免费的优质服务和个性化服务,对普通客户提供标准价格收费服务,对无贡献的客户通过高收费价格使其退出占用的银行系统资源。这样,通过收费价格高低来选择银行客户,并引导不同类别的客户使用不同的服务渠道,优化银行资源的配置。
2.市场“榨取”定价策略
这是指银行在推出有专利保护的创新中间业务产品时,可以制定高价格,先从市场“榨取”相当的收入。这一般适合原创型中间业务产品的定价。
3.“打包”定价策略
这是指商业银行在提供一种中间产品服务后,有时会带来一系列的附加业务,因此,银行在制定价格时,可以考虑将这些相应业务进行打包,采取统一价格出售。通过“打包”定价,可使银行的许多中间业务产品对客户保持较高的吸引力。
4.数量折扣定价策略
这是指商业银行对创新中间业务产品一开始就以较低价格进入市场,以吸引客户大量消费该种创新金融产品并占有市场的策略。如:为鼓励银行卡的持卡人用卡消费,对持卡人可采用此策略。在持卡人得到实惠的同时,银行增加了银行卡的交易额,并获取更多的利润。
5.声望定价策略
是指银行利用中间业务产品在客户心中的声望所产生的某种心理来制定中间业务产品价格的一种高价格策略。因客户有崇尚名牌的心理,往往以价格判断质量,认为高价格代表高质量的服务。
(二)中间业务创新产品定价模型
根据商业银行中间业务的定价原则,考虑到影响中间业务定价的各种因素,运用中间业务的一般定价方法,从构建数学模型的角度,构建我国商业银行中间业务定价模型如下。
1.构建模型前提条件
(1)商业银行提供的中间业务产品种类繁多。
(2)约束条件为商业银行针对成本、销量和利润方面有一定的管理要求,且每种中间业务产品创新成本和销售量权重是已知的。
(3)制定合理价格的标准为使得商业银行销售总额或利润总额最大时,所确定中间业务产品价格。
(4)每种中间业务产品的价格和销售量之间的关系是已知的,如果用函数关系表示两者的关系,那么销售量是关于价格的减函数。
(5)各个中间业务产品的销售量之间的关系是已知的。
2.构建定价模型
考虑到监管当局对部分中间业务产品进行价格限制,根据银行目标不同分别建立中间业务创新产品定价模型如下:
(1)在监管当局不限制任何中间业务产品价格情况下,商业银行以利润总额最大化为目标的定价模型。[7]
一个单独的中间业务产品,其成本C由固定成本FC和变动成本VC组成,用公式表示为:
C=FC+VC
其中,FC是某个常数。VC=vX,v是平均单位变动成本,X是中间业务产品的销售量。根据前提条件v是已知的。
对于收入R,分为考虑税率和不考虑税率两种情况。
如果不考虑税率:R=PX
如果考虑税率:R=PX(1-tr)
其中,P表示中间业务产品销售价格;X表示中间业务产品销售量;tr表示税率,为已知数。
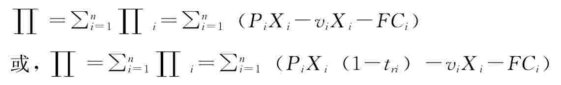
一个中间业务产品的利润就∏等于收入R减去成本C,用公式表示为:
∏=PX-vX-FC或∏=PX(1-tr)-vX-FC
利润总额等于每个中间业务产品的利润之和,其表达式为:

其中,Pi表示第i个中间业务产品的价格。
从数学的角度看,银行利润总额最大化的问题就是下面的规划问题。
![]()
由A1可以看出,使得总的利润最大化的价格就是可以确定的中间业务产品价格。
(2)在监管当局限制部分中间业务产品价格情况下,银行以利润总额最大化为目标的定价模型。[8]
按照我国《商业银行服务定价管理暂行办法》规定,部分中间业务产品将实行指导价格,即这些产品的价格要受到限制,不能按照A1来定价。这时银行要求每一个中间业务产品达到自身预期的利润目标,在此基础上,实现利润最大化。此时,上面的模型将变成有约束条件的规划问题。
可以用数学公式对约束条件进行表示,具体的形式为:
PiXi-ViXi-FCi≥∏i 或 PiXi(1-tr)-ViXi-FCi≥∏i
其中,∏i是第i个中间业务产品的预期利润目标,即利润不能低于已知的∏i。∏i一定是非负数。左边的公式没有考虑税率,右边的公式考虑了税率。
银行遵守监管当局制定的指导价格开办业务,无论怎样都有一个最低要求,即该中间业务产品不能赔钱。此时,在上面所写的约束条件中,取∏i=0即可。
将约束条件代入到规划问题中,得到

其中,st.表示约束条件。
A2表明,在对n个中间业务产品中的m个(i=1,2,…,m)实施指导价格,而且受到价格限制的m个产品实现预期利润目标的情况下,确定其他n-m个中间业务产品的价格,使得银行的利润总额最大化。
【注释】
[1]李庚南、王日:《银行中间业务如何定价》,《现代商业银行》,2003年第3期。
[2]冷崇总:《关于商业银行中间业务收费的思考》,《当代经济研究》,2003年第2期。
[3]李向科、涂永红:《商业银行中间业务定价策略综合模型探讨》,《货币金融评论》,2003年第1期。
[4]周春喜:《商业银行服务收费的国际比较及定价策略》,《价格理论与实践·财经市场》。
[5]李庚南、王日:《银行中间业务如何定价》,《现代商业银行》,2003年第3期。
[6]宗良:《境外商业银行如何收费》,《现代商业银行》,2002年第10期。
[7]该定价模型引自李向科、涂永红:《商业银行中间业务定价策略综合模型探讨》,《货币金融评论》,2003年第1期。
[8]该定价模型引自李向科、涂永红:《商业银行中间业务定价策略综合模型探讨》,《货币金融评论》,2003年第1期。
上一篇:经济信息的类型
下一篇:世纪大学生心理健康教育的内容





.jpg)
.jpg)
