
8 地基处理
8.1 概述
建筑物的地基,除应保证强度稳定性外,建筑物建成后还不应有影响其安全与使用的沉降和不均匀沉降。当天然地基无法满足这两个要求时,则必须对地基进行加固和处理。当已有建筑物的地基发生事故,或建筑物加层时,也需要对地基进行处理。经处理后的地基称为人工地基。
我国地域辽阔,自然地理环境不同,土质各异,其强度、压缩性和透水性等性质有很大的差别。其中,有不少是软土或不良土,例如淤泥和淤泥质土、冲填土、杂填土、泥炭土、膨胀土、湿陷性黄土、季节性冻土、岩溶和土洞等。随着我国国民经济不断地发展,建筑物的重量和占地范围越来越大,还经常不得不在工程地质条件不良的场地上建造房屋,因此,对地基处理的需求也越来越多。此外,当遇有旧房改造、加层、工厂扩建引起荷载增大,或深基础开挖和修建地下工程时,为防止出现土体失稳破坏、地面变形和地下水渗流等现象,也都要求对地基进行处理。
近年来,国内外地基处理的技术迅速发展,处理的方法越来越多,但是,我们必须针对地基土的特性以及上部结构对地基的要求,有的放矢、因地制宜地选择处理方法。要总结国内外在地基处理方面的经验教训,发展地基处理的技术,提高地基处理的水平,节约基本建设投资。
8.1.1 地基处理的对象
地基处理的对象主要是软弱地基和特殊土地基。
1)软弱地基
我国《建筑地基基础设计规范》中规定,软弱地基系指主要由淤泥、淤泥质土、冲填土、杂填土或其他高压缩性土层构成的地基。
(1)软土。淤泥及淤泥质土的总称为软土。软土的特性是含水量高、孔隙比大、渗透系数小、压缩性高、抗剪强度低。在外荷载作用下,软土地基承载力低,地基变形大,不均匀变形也大,且变形稳定历时较长,在比较深厚的软土层上,建筑物基础的沉降往往持续数年甚至数十年之久。软土地基是在工程实践中遇到最多需要人工处理的地基。
(2)冲填土。冲填土是指在整治和疏浚江河航道时,用挖泥船通过泥浆将夹大量水分的泥砂吹到江河两岸而形成的沉积土,亦称吹填上。冲填土的工程性质主要取决于颗粒组成、均匀性和排水固结条件,如以黏性土为主的冲填土往往是欠固结的,其强度较低且压缩性较高,一般需经过人工处理才能作为建筑物地基。如以砂性土或其他粗颗粒所组成的冲填土,其性质基本上与砂性土类似,可按砂性土考虑是否需要进行地基处理。
(3)杂填土。杂填土是由人类活动所形成的建筑垃圾、工业废料和生活垃圾等无规则堆填物。杂填土的成分复杂,分布极不均匀,结构松散且无规律性。杂填土的主要特性是强度低、压缩性高和均匀性差,即使在同一建筑场地的不同位置,其地基承载力和压缩性也有较大的差异。杂填土未经人工处理一般不宜作为持力层。
(4)其他高压缩性土。饱和松散粉细砂及部分粉土,在机械振动、地震等动力荷载的重复作用下,有可能会产生液化或震陷变形。另外,在基坑开挖时,也可能会产生流砂或管涌。因此,对于这类地基土,往往需要进行地基处理。
2)特殊土地基
特殊土地基大部分带有地区特点,包括湿陷性黄土、膨胀土、冻土、有机质土和山区地基等。
(1)湿陷性黄土。凡在上覆土的自重应力作用下,或在上覆土自重应力和附加应力共同作用下,受水浸湿后土的结构迅速破坏而发生显著附加沉陷的黄土,称为湿陷性黄土。由于黄土浸水湿陷而引起的建筑物不均匀沉降是造成黄土地区事故的主要原因,因此,当黄土作为建筑物地基时,应首先判别黄土是否具有湿陷性,再考虑是否需要进行地基处理以及如何处理。
(2)膨胀土。膨胀土是指颗粒成分主要由亲水性黏土矿物组成的黏性土。它是一种吸水膨胀和失水收缩的高塑性黏土,具有较大胀缩性。当利用膨胀土作为建筑物地基时,如果不进行地基处理,往往会对建筑物造成危害。
(3)季节性冻土。冻土是指气候在负温条件下,其中含有冰的各种土。季节性冻土是指该冻土在冬季冻结,而夏季融化的土层。多年冻土或永冻土是指冻结状态持续三年以上的土层。季节性冻土因其周期性的冻结和融化,对地基的不均匀沉降和地基的稳定性影响较大,也需要进行地基处理。
(4)有机质土和泥炭土。土中有机质含量大于5%时称为有机质土,大于60%时称为泥炭土。土中有机质含量高,强度往往降低,压缩性增大,特别是泥炭土,其含水量极高,压缩性很大,且不均匀,一般不宜作为天然地基,需要进行地基处理。
(5)岩溶、土洞和山区地基。岩溶或称“喀斯特”,它是石灰岩、白云岩、泥灰岩、大理石、岩盐、石膏等可溶性岩层受水的化学和机械作用而形成的溶洞、溶沟、裂隙,以及由于溶洞的顶板塌落使地表产生陷穴、洼地等现象和作用的总称。土洞是岩溶地区上覆土层被地下水冲蚀或被地下水潜蚀所形成的洞穴。岩溶和土洞对建(构)筑物的影响很大,可能造成地面变形,地基陷落,发生水的渗漏和涌水现象。在岩溶地区修建建筑物时要特别重视岩溶和土洞的影响。
山区地基地质条件比较复杂,主要表现在地基的不均匀性和场地的稳定性两方面。山区基岩表面起伏大,且可能有大块孤石,这些因素常会导致建筑物基础产生不均匀沉降。另外,在山区常有可能遇到滑坡、崩塌和泥石流等不良地质现象,给建(构)筑物造成直接的或潜在的威胁。在山区修建建(构)筑物时要重视地基的稳定性和避免过大的不均匀沉降,必要时需进行地基处理。
8.1.2 地基处理目的
地基处理的目的是利用各种地基处理方法对地基土进行加固,用以改良地基土的工程特性,主要表现在以下几个方面:
(1)提高地基土的抗剪强度。地基的剪切破坏表现在:建(构)筑物的地基承载力不够;偏心荷载及侧向土压力的作用使建(构)筑物失稳;填土或建(构)筑物荷载使邻近的地基土产生隆起;土方开挖时边坡失稳;基坑开挖时坑底隆起。地基的剪切破坏反映了地基土的抗剪强度不足,因此,为了防止剪切破坏,就需要采取一定措施以增加地基土的抗剪强度。
(2)降低地基土的压缩性。地基土的压缩性表现在:建(构)筑物的沉降和差异沉降较大,填土或建(构)筑物荷载使地基产生固结沉降;作用于建(构)筑物基础的负摩擦力引起建(构)筑物的沉降;大范围地基的沉降和不均匀沉降;基坑开挖引起邻近地面沉降;由于降水,地基产生固结沉降。地基的压缩性反映在地基土的压缩模量指标的大小。因此,需要采取措施以提高地基土的压缩模量,从而减少地基的沉降或不均匀沉降。
(3)改善地基土的透水特性。地基的透水性表现在:堤坝等基础产生的地基渗漏;基坑开挖工程中,因土层内夹薄层粉砂或粉土而产生流砂和管涌。以上都是地下水在运动中所出现的问题。为此,必须采取措施使地基土降低透水性和减少其上的水压力。
(4)改善地基的动力特性。地基的动力特性表现在:地震时饱和松散粉细砂(包括部分粉土)将产生液化;由于交通荷载或打桩等原因,使邻近地基产生振动下沉。为此,需要采取措施防止地基液化并改善其振动特性,以提高地基的抗震性能。
(5)改善特殊土的不良地基特性。主要是消除或减弱黄土的湿陷性和膨胀土的胀缩特性等。
8.1.3 地基处理方法
地基处理方法可分为物理地基处理方法、化学地基处理方法以及生物地基处理方法。各种地基处理方法的原理及其适用范围见表8-1。
表8-1 地基处理方法分类及其适用范围

续表8-1

8.1.4 地基处理方法的选用原则
地基处理的效果能否达到预期目的,首先有赖于地基处理方案选择是否得当、各种加固参数设计得是否合理。地基处理方法虽然很多,但任何一种方法都不是万能的,都有其各自的适用范围和优缺点。由于具体工程条件和要求各不相同,地质条件和环境条件也不相同。此外,施工机械设备、所需的材料也会因提供部门的不同而产生很大差异。施工队伍的技术素质状况、施工技术条件和经济指标比较状况都会对地基处理的最终效果产生很大的影响。一般来说,在选择确定地基处理方案以前应充分地综合考虑以下因素:
(1)地质条件。地形、地质;成层状态;各种土的指标(物理、化学、力学);地下水条件。
(2)结构物条件。结构物型式,规模;要求的安全度,重要性。
(3)环境条件。①气象条件;②噪声、振动情况,振动、噪声可能对周围居民或设施的影响;③邻近构筑物情况,指邻近的建筑物,桥台、桥墩,地下结构物等情况,加固过程中是否有影响,以及相应的对策;④地下埋设物,应查明上下水道、煤气、电讯电缆管线的位置,以便采取相应的对策;⑤机械作业、材料堆放的条件,加固过程中,涉及施工机械作业和大量建筑材料进场堆放,为此,要解决道路与临时场地等问题;⑥电力与供水条件。
(4)材料的供给情况。尽可能地采用当地的材料,以减少运输费用。
(5)机械施工设备和机械条件。在某些地区有无所需的施工设备和施工设备的运营状况,操作熟练程度。这也是确定采用何种加固措施的关键。
(6)工程费用的高低。经济技术指标的高低是衡量地基处理方案选择得是否合理的关键指标,在地基处理中,一定要综合比较能满足加固要求的各地基处理方案,选择技术先进、质量保证、经济合理的方案。
(7)工期要求。应保证地基加固工期不会拖延整个工程的进展。另一方面,如地基工期缩短,也可利用这段时间,使地基加固后的强度得到提高。
由于各地基处理问题具有各自独特的情况,所以在选择和设计地基处理方案时不能简单地依靠以往的经验,也不能依靠复杂的理论计算,还应结合工程实际,通过现场试验、检测并分析反馈不断地修正设计参数。尤其是对于较为重要或缺乏经验的工程,在尚未施工前,应先利用室内外试验参数按一定方法设计计算,然后利用施工第一阶段的观测结果反分析基本参数,采用修正后的参数进行第二阶段的设计,之后再利用第二阶段施工观测结果的反馈参数进行第三阶段的设计。以此类推,使设计的取值比较符合现场实际情况。因此,地基处理方案的选择和设计流程,大致如图8-1所示。

图8-1 地基处理的方案选择、设计、监测流程图
8.2 物理法加固技术
物理法加固技术是指通过物理的方法达到地基加固的目的,目前物理加固的方法主要有换填法、强夯法、挤密法、排水固结法、加筋法等。
8.2.1 换土垫层法
当建筑物荷重不大,基底下面软弱土不太厚且地下水位也较低,此时可将基底下软土层部分挖除或全部挖除,而代之以人工换土垫层作为建筑物持力土层。这种地基处理方法通常用于处理5层以下民用建筑、跨度不大的工业厂房,以及基槽开挖后用来处理基底范围内局部软弱土层。
目前,常用的垫层有砂垫层、砂卵石垫层、碎石垫层、灰土或素土垫层、煤渣垫层、矿渣垫层以及用其他性能稳定、无侵蚀性的材料做的垫层等。对于不同材料的垫层,虽然其应力分布有所差异,但测试结果表明,其极限承载力还是比较接近的,并且不同材料垫层上建筑物的沉降特点也基本相似,故各种材料垫层的设计都可近似按砂垫层方法进行。但对于湿陷性黄土、膨胀土和季节性冻土等特殊土采用换填法进行地基处理时,因其主要目的是为了消除或部分消除地基土的湿陷性、胀缩性和冻胀性,所以在设计中所考虑解决问题的关键也应有所不同。
1)换土垫层法的原理
换土填垫层法按其原理可体现以下五个方面的作用:
(1)提高浅层地基承载力。因地基中的剪切破坏从基础底面开始,随应力的增大而向纵深发展,故以抗剪强度较高的砂或其他建筑材料置换基础下较弱的土层,可避免地基的破坏。同时,垫层能更好地扩散附加应力而使其底面处软弱土层能承受相应荷载。
(2)减少沉降量。一般浅层地基的沉降量占总沉降量比例较大。如以密实砂或其他填筑材料代替上层软弱土层,就可以减少这部分的沉降量。由于砂层或其他垫层对应力的扩散作用,使作用在下卧层土上的压力较小,这样也会相应减少下卧层土的沉降量。
(3)加速软弱土层的排水固结。砂垫层和砂石垫层等垫层材料透水性强,软弱土层受压后,垫层可作为良好的排水层,使基础下面的孔隙水压力迅速消散,加速垫层下软弱土层的固结和提高其强度,避免地基发生塑性破坏。
(4)防止冻胀。因为粗颗粒的垫层材料孔隙大,不易产生毛细管现象,因此可以防止寒冷地区土中结冻所造成的冻胀。
(5)消除膨胀土的胀缩作用。
上述作用中以前三种为主要作用。并且在各类工程中,垫层所起的主要作用有时也是不同的,如房屋建筑物基础下的砂垫层主要起换土作用,而在路堤及土坝等工程中往往以排水固结为主要作用。
必须指出,砂垫层不宜用于处理湿陷性黄土地基,因为砂垫层较大的透水性反而容易引起黄土的湿陷。用素土或灰土垫层处理湿陷性黄土地基可消除1~3m厚黄土的湿陷性。
2)换填垫层法适用范围
根据《建筑地基处理技术规范》规定,换填法适用于淤泥、淤泥质土、湿陷性黄土、素填土、杂填土地基及暗沟、暗塘等浅层处理。具体适用范围见表8-2。
表8-2 换填法的适用范围

对于大面积填土,由于大范围地面负荷影响较深,所以,地基压缩深度深,地基沉降量大,且沉降延续时间也较长,这与换填法浅层处理地基的特点不同。因此,若采用大面积填土作为建筑地基,还应符合《建筑地基基础设计规范》(GBJ7—89)中的有关设计规定。
在基坑开挖后,虽然采用分层回填夯实的方法也可以处理较深的软弱土层,但是,垫层太厚不仅施工难度增大,还常常由于地下水位高需要采取降水措施、坑壁放坡占地面积大或需要基坑支护以及施工土方量大和弃土多等因素,从而使得处理费用增高、工期延长,因此,换填法的处理深度通常宜控制在3m以内较为经济合理,但也不应小于0.5m,因为垫层太薄,换土垫层的作用就不显著了。在湿陷性黄土地区或土质较好的场地,一般坑壁的边坡稳定性较好,处理深度也可限制在5m以内。
3)垫层设计
换填法地基处理的设计内容主要是确定垫层的厚度、宽度和承载力,必要时还应进行地基的变形计算。对于换土垫层,根据建筑物对地基强度和变形的要求,既要求垫层有足够的厚度以置换可能剪切破坏的软弱土层,又要求垫层有足够的宽度以防止垫层向两侧挤出;而对于排水垫层,则主要是在基础底面下设置厚度为30cm的砂、砂石或碎石等透水性大的垫层,以形成一个排水层,从而促使软弱土层的排水固结。
(1)垫层厚度的确定

图8-2 垫层设计示意图
垫层厚度z(见图8-2)应根据需置换软弱土的深度或下卧土层的承载力确定,并符合式(8-1)要求:
pz+pcz≤faz
(8-1)
式中:pz——相应于荷载效应标准组合时,垫层底面处的附加压力值(kPa);
pcz——垫层底面处土的自重压力值(kPa);
faz——垫层底面处经深度修正后的地基承载力特征值(kPa)。
垫层底面处的附加压力值pz可按压力扩散角θ分别按以下两式进行简化计算:
对于条形基础
![]()
(8-2)
对于矩形基础
![]()
(8-3)
式中:b——矩形基础或条形基础底面的宽度(m);
l——矩形基础底面的长度(m);
pk——相应于荷载效应标准组合时,基础底面处的平均压力值(kPa);
pc——基础底面处土的自重压力值(kPa);
z——基础底面下垫层的厚度(m);
θ——垫层的压力扩散角,宜通过试验确定,当无试验资料时可按表8-3所示。
表8-3 压力扩散角θ

注:①当z/b<0.25时,除灰土取θ=28°外,其余材料均取θ=0°,必要时,宜由试验确定。
②当0.25<z/b<0.5时,θ值可用内插法求得。
计算时一般先初步拟定一个垫层厚度,再用式(8-1)验算。如果不符合要求,则改变厚度,重新验算,直至满足要求为止。垫层厚度不宜大于3m,太厚施工较困难,而太薄(<0.5m)则换垫层的作用不显著。
(2)垫层宽度的确定
垫层底面的宽度应满足基础底面应力扩散的要求,可按下式确定:
b′≥b+2ztanθ
(8-4)
式中:b′——垫层底面宽度(m);
θ——压力扩散角,可按表8-3采用,当z/b<0.25时,仍按表中z/b=0.25取值。
垫层顶面每边超出基础底边不宜小于300mm,或从垫层底面两侧向上按当地开挖基坑经验的要求放坡确定垫层顶面宽度,整片垫层的宽度可根据施工的要求适当加宽。
(3)垫层承载力的确定
经换填处理后的地基,由于理论计算方法尚不够完善,垫层的承载力宜通过现场载荷试验确定。当无试验资料时,可按表8-4选用,并应验算下卧层的承载力。
(4)沉降计算
对于垫层下存在软弱下卧层的建(构)筑物,在进行地基变形计算时应考虑邻近基础对软弱下卧层顶面应力叠加的影响。当超出原地面标高的垫层或换填材料的重度高于天然土层重度时宜早换填,并应考虑其附加的荷载对建(构)筑物及邻近建(构)筑物的影响。
表8-4 各种垫层的承载力

注:①压实系数λc为土的控制干密度ρd与最大干密度ρdmax的比值,土的最大干密度宜采用击实试验确定,碎石或卵石的最大干密度可取2.0~2.2t/m3。
②采用轻型击实试验时,压实系数λc宜取高值;采用重型击实试验时,压实系数λc可取低值。
③矿渣垫层的压实指标为最后两遍压实的压陷差小于2mm。
④压实系数小的垫层,承载力特征值取低值,反之取高值。
⑤原状矿渣垫层取低值,分级矿渣或混合矿渣垫层取高值。
垫层地基的变形由垫层自身变形和下卧层变形组成。粗粒换填材料的垫层在满足本节前述条件下,在施工期间垫层自身的压缩变形已基本完成,且其值很小,垫层地基的变形可仅考虑其下卧层的变形。但对于细粒材料垫层,尤其是厚度较大的换填垫层或对沉降要求严格的建(构)筑物,应计算垫层自身的变形。设建筑物基础沉降量为s,则:
s=sc+sp
(8-5)
式中:sc——垫层自身变量(mm);
sp——压缩层厚度范围内(自下卧层顶面,即垫层底面算起)各土层变形之和(mm)。
垫层自身变形量可按下式计算:
![]()
(8-6)
式中:p——基底压力(kPa);
Es——垫层压缩模量,由静载试验确定,当无试验资料时可按表8-5取值。
α——基底压力扩散系数。
表8-5 垫层模量

注:压实矿渣的E0/Es比值可按1.5~3取用。
扩散系数α可按以下公式计算:
条形基础
![]()
(8-7)
矩形基础
![]()
(8-8)
下卧层的变形量可按分层总和法确定:
![]()
(8-9)
式中:ψ——沉降计算经验系数,按地区沉降观测资料及经验确定,也可按表8-6取值;
pz——垫层底面的附加应力(kPa);
b′——垫层底宽度(m);
Esi(1-2)——下卧土层第i层在100~200kPa压力作用下的压缩模量(kPa);
δi——第i层土平均附加应力系数与垫层底到第i层底距离的乘积;
n——下卧层计算深度内划分的土层数。
表8-6 沉降量计算经验系数ψ

注:
为沉降计算深度范围内压缩模量当量值。
,其中Ai为第i层土附加应力系数沿土层厚度的积分值。
(5)设计要点
①处理软土或杂填土的垫层。换填法处理软土或杂填土的主要目的是置换基底下可能被剪切破坏的软弱土层或杂填土层,因此,垫层厚度主要取决于剪切破坏区域的大小及工程对消除剪切区深度的要求。若基底下为杂填土层,则垫层厚度取决于杂填土层的埋藏深度。对于换填后其垫层下仍存在软弱下卧层的情况,尚应满足软弱下卧土层的承载力要求及工程对地基变形的要求。对于垫层宽度的大小,则必须满足基础底面压力扩散的要求,并避免垫层材料因向侧边挤出而增加垫层的竖向变形。
②处理湿陷性黄土的垫层。换填法处理湿陷性黄土的主要目的是为了消除或部分消除黄土的湿陷量。其中素土垫层一般用于4层以下的民用建筑物,而灰土垫层可用于6~7层的民用建筑物。
垫层厚度取决于工程对消除黄土湿陷量的要求。如果需全部消除湿陷量,对于非自重湿陷性黄土,应满足垫层底部总压力不大于下卧黄土层沉陷量起始压力的要求;对于自重湿陷性黄土则必须全部挖出,换填法仅适用于厚度不大的自重湿陷性黄土地基。
如果要求消除部分湿陷量,则应根据建筑物的重要性、基础形式和面积、基底压力大小以及黄土湿陷类型、等级等因素综合考虑。一般情况下,对于非自重湿陷性黄土,当垫层厚度等于基础宽度时,可消除湿陷量80%以上;当垫层厚度等于1.5倍基础宽度时,可基本消除湿陷量;而灰土垫层的厚度宜大于1.5倍基础宽度。对于自重湿陷性黄土,应控制剩余湿陷量不大于20cm,并满足最小处理厚度的要求,见表8-7。
表8-7 消除部分黄土湿陷量的最小处理厚度(m)

垫层宽度的大小取决于工程的要求,当垫层宽度超出建筑物外墙基础边缘的距离至少为垫层厚度且不小于1.5m时,可消除整个建筑范围内部分黄土层的湿陷性,防止水从室内外渗入地基,并保护垫层下未经处理的湿陷性黄土不致受水浸湿。对于直接位于基础下的垫层,为防止基底下的垫层向外挤出,垫层宽度应超出基础宽度至少为垫层厚度的40%,并不小于0.5m。
③处理膨胀土的垫层。换填法处理膨胀土的主要目的是为了消除或减少膨胀土的胀缩性能,适用于薄的膨胀土层或主要胀缩变形层不厚的情况。对于垫层厚度,应使地基的剩余胀缩变形量控制在容许值范围内,如采用砂垫层,则应满足以下条件:A.垫层厚度应为1~1.2倍基础,垫层宽度应为1.8~2.2倍基础宽度;B.垫层密度应不小于1.65t/m3;C.基底压力宜选用100~200kPa;D.基槽两边回填区的附加压力不应大于0.25p(p为基底压力);E.当土膨胀压力大于250kPa时,垫层材料宜选用中、细砂;当土膨胀压力较小时,垫层材料可采用粗砂。
4)换填法施工
(1)材料选用
①砂石。砂石垫层材料宜选用碎石、卵石、圆砾、砾砂、粗砂、中砂或石屑(粒径小于2mm的部分不应超过总重的45%),应级配良好,不含植物残体、垃圾等杂质。当使用粉细砂时,应掺入不少于总重30%的碎石或卵石。砂石的最大粒径不宜大于50mm,并通过试验确定虚铺厚度、振捣遍数、振捣器功率等技术参数。对湿陷性黄土地基,不得选用砂石等透水材料。
②粉质黏土。土料中有机质含量不得超过5%,亦不得含有冻土或膨胀土,不得夹有砖、瓦和石块等渗水材料。当含有碎石时,粒径不宜大于50mm。
③灰土。灰土的体积配合比宜为2∶8或3∶7。土料宜用粉质黏土,不宜使用块状黏土和砂质粉土,不得含有松软杂质,并应过筛,其颗粒粒径不得大于15mm。石灰宜用新鲜的消石灰,其颗粒粒径不得大于5mm。
④粉煤灰。可用于道路、堆场和小型建筑物、构筑物等的换填垫层。粉煤灰垫层上宜覆土0.3~0.5m。粉煤灰垫层中采用掺合剂时,应通过试验确定其性能及适用条件。作为建筑物垫层的粉煤灰应符合有关放射性安全标准的要求。粉煤灰垫层中的金属构件、管网宜采用适当的防腐措施。大量填筑粉煤灰时应考虑对地下水和土壤的环境影响。
⑤矿渣。垫层使用的矿渣是指高炉重矿渣,可分为分级矿渣、混合矿渣及原状矿渣。矿渣垫层主要用于堆场、道路和地坪,也可用于小型建筑物、构筑物地基。选用矿渣的松散重度不小于11kN/m3,有机质及含泥总量不超过5%。设计、施工前必须对选用的矿渣进行试验,在确认其性能稳定并符合安全规定后方可使用。作为建筑物垫层的矿渣应符合对放射性安全标准的要求。易受酸、碱影响的基础或地下管网不得采用矿渣垫层。大量填筑矿渣时,应考虑对地下水和土壤的环境影响。
⑥其他工业废渣。在有可靠试验结果或成功工程经验时,对质地坚硬、性能稳定、无腐蚀性和放射性危害的工业废渣等均可用于填筑换填垫层。被选用工业废渣的粒径、级配和施工工艺等应通过试验确定。
⑦土工合成材料。由分层铺设的土工合成材料与地基土构成加筋垫层。所用土工合成材料的品种与性能及填料的土类应根据工程特性和地基土条件,按照现行国家标准《土工合成材料应用技术规范》(GB50290—1998)的要求,通过设计并进行现场试验后确定。
作为加筋的土工合成材料应采用抗拉强度较高、受力时伸长率不大于4%~5%、耐久性好、抗腐蚀的土工格栅、土工格室、土工垫或土工织物等土工合成材料;垫层填料宜用碎石、角砾、砾砂、粗砂、中砂或粉质黏土等材料。当工程要求垫层具有排水功能时,垫层材料应具有良好的透水性。在软土地基上使用加筋垫层时,应保证建筑稳定并满足允许变形的要求。
(2)施工机具
垫层施工应根据不同的换填材料选择施工机具。素填土宜采用平碾或羊足碾;砂石等宜采用振动碾或振动压实机;当有效夯实深度内土的饱和度小于并接近0.6时可采用重锤夯实。
(3)含水量要求
为获得最佳夯实效果,宜采用垫层材料的最优含水量wop作为施工控制含水量。对于素土和灰土垫层,含水量可控制在最优含水量wop±2%范围内;当使用振动碾压时,可适当放宽至最优含水量wop的-6%~+2%范围内。对于砂石料垫层,当使用平板振动器时,含水量可取15%~20%;当使用平碾或蛙式夯时,含水量可取8%~12%;当使用插入式振动器时,砂石料则宜为饱和。对于粉煤灰垫层,含水量应控制在最优含水量wop±4%范围内。
表8-8 垫层的每层铺填厚度及压实遍数

(4)分层厚度
垫层的分层铺填厚度以及每层压实遍数宜根据垫层材料、施工机械设备及设计要求等通过现场试验确定。除接触下卧软土层的垫层应根据施工机械设备和下卧层土质条件的要求具有足够的厚度外,一般情况下,垫层的分层铺填厚度可取200~300mm,在不具备试验条件的场合,也可按表8-8选用。为保证分层压实质量,同时还应控制机械碾压速度。
(5)质量控制要求
垫层的质量必须分层控制及检验,并且以满足设计要求的最小密度为控制标准。质量检验方法主要有环刀法和贯入测定法。另外,对于垫层填筑工程竣工质量验收还可用:静载荷试验法、N63.5标准贯入法、N10轻便触探法、动测法、静力触探法等中的一种或几种方法进行检验。
各类垫层的质量控制可按下列要求进行:
①砂石垫层。对于中砂,要求最小干密度ρd≥1.6t/m3;对于粗砂,要求最小干密度ρd≥1.7t/m3;对于碎石或卵石,最小干密度ρd应根据经验适当提高。
②粉煤灰垫层。要求压实系数λ≥0.90。
③素土垫层和灰土垫层。当垫层厚度不大于3m时,要求压实系数λ≥0.93;当垫层厚度大于3m时,要求达到压实系数λ≥0.95。
④干渣垫层。要求达到表面坚实、平整、无明显缺陷,并且压陷差小于2mm。

图8-3 某工程垫层设计示意图
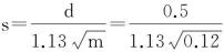
【例8-1】 某办公楼一侧墙基承受上部结构荷载p=140kN/m,基础为条形基础,宽度b=1.4m,埋深d=1.4m,埋深范围内土的容重γ为18kN/m3,基底为深厚淤泥质软黏土,其压缩模量Es=4.8MPa,fak=88kPa,容重γ为17kN/m3,拟采用当地产中砂做垫层处理,砂压密后的容重γ为19.5kN/m3。试进行垫层设计。垫层的剖面见图8-3。
【解】 (1)垫层厚度的确定。根据工程的实际情况,先取垫层厚度z=1.8m,进行垫层底面承载力验算。
垫层底面处的自重应力为:
pcz=γ0d+γ砂z=18×1.4+19.5×1.8=60.3kPa
因为砂垫层对基础传递下来的荷载有很大的扩散作用,扩散后宽度
为
=b+2ztanθ=1.4+2×1.8tanθ
其中θ为应力扩散角,由z/b=1.8/1.4=1.29以及垫层材料为中粗砂查表得θ=30°,故垫层底面的附加应力pz为

砂垫层底面的自重应力和附加应力之和为
pz+pcz=30.1+60.3=90.4kPa
砂垫层底面的承载力
fz=fak+m0γ0(d-0.5)
其中,m0为承载力的基础埋深修正系数,本例取m0=1.0。于是有
fz=88+1×18×(1.4-0.5)=104.2kPa
fz>pz+pcz
所以假设取z=1.8m是合理的。
(2)垫层宽度B的确定。
=b+2ztanθ=3.478m
实际可取B=3.6m。
(3)砂垫层承载力验算。在施工过程中,控制砂垫层的压实系数λc=0.94~0.97,由表可查得fz=150~200kPa,而基底压力p=100kPa<fz,所以砂垫层也满足承载力要求。
(4)沉降计算(基础中心线)。

图8-4 自重应力与附加应力分布图
![]()
![]()
![]()
![]()
=3.1cm
垫层以下土层的应力计算如图8-4所示。
8.2.2 强夯法
强夯法是20世纪60年代末、70年代初首先在法国发展起来的,国外称之为动力固结法,以区别于静力固结法。它一般是将10~40t的重锤以10~40m的落距,对地基土施加强大的冲击能,在地基土中形成冲击波和动应力,使地基土压实和振密,以加固地基土,达到提高强度、降低压缩性、改善砂土的抗液化条件、消除湿陷性黄土的湿陷性的目的。
强夯法经过40余年的发展,已广泛应用于一般工业与民用建筑、仓库、油罐、公路、铁路、飞机场跑道及码头的地基处理中,主要适用于加固砂土和碎石土、低饱和度粉土与黏性土、湿陷性黄土、杂填土和素填土等地基。强夯法以其适应性强、效果好、造价低、工期短等优点,成为我国地基处理的一项重要技术。
对于饱和黏性土地基,近年来发展了强夯置换法,即利用夯击能将碎石、矿渣等材料强力挤入地基,在地基中形成碎石墩,并与墩间土形成碎石墩复合地基,提高地基承载力和减小地基沉降。强夯置换法适用于高饱和度的粉土与软塑-流塑的黏性土等地基上对变形要求不严的工程。强夯置换法在设计前必须通过现场试验确定其适用性和处理效果。
1)加固原理
土的类型不同,其强夯加固机理亦不相同。饱和土的强夯加固机理可以分为三个阶段:
(1)加载阶段,即夯击的一瞬间,夯锤的冲击使地基土体产生强烈的振动和动应力,在波动的影响带内,动应力和孔隙水压力急剧上升,而动应力往往大于孔隙水压力,有效动应力使土体产生塑性变形,破坏土的结构。对于砂土,迫使土的颗粒重新排列而密实。对于黏性土,土骨架被迫压缩,同时由于土体中的水和土颗粒两种介质引起不同的振动效应,两者的动应力差大于土颗粒的吸附能时,土中部分结合水和毛细水从颗粒间析出,产生动力水聚结,形成排水通道,制造动力排水条件。
(2)卸载阶段,即夯击动能卸去的一瞬间,动力的总应力瞬息即逝,然而土中孔隙水压力仍然保持较高的水平,此时孔隙水压力大于有效应力,故土体中存在较大的负有效应力,引起砂土液化。在黏性土地基中,当最大孔隙水压力大于最小主应力、静止侧压力及土的抗拉强度之和时,土体开裂,渗透性迅速增大,孔隙水压力迅速下降。
(3)动力固结阶段,在卸载之后,土体中仍然保持一定的孔隙水压力,土体就在此压力作用下排水固结。在砂土中,孔隙水压力消散甚快,使砂土进一步密实;在黏性土中,孔隙水压力消散较慢,可能要延续2~4周。如果有条件排水固结,土颗粒进一步靠近,重新形成新的水膜和结构连接,土的强度逐渐恢复和提高,达到加固地基的目的。
关于非饱和土的强夯机理,可以认为:夯击能量产生的波和动应力的反复作用,迫使土骨架产生塑性变形,由夯击能转化为土骨架的变形能,使土密实,提高土的抗剪强度,降低土的压缩性。
动力置换是利用夯击时产生的冲击力,强行将砂、碎石等挤填到饱和软土层中,置换原饱和软土,形成“桩柱”或密实砂石层。与此同时,未被置换的下卧饱和软土,在动力作用下排水固结,变得更加密实,从而使地基承载力提高,沉降减小。
2)强夯法设计
(1)有效加固深度
梅纳(Menard)曾提出用下列公式估算有效加固深度:
![]()
(8-10)
式中:H——有效加固深度(m);
M——夯锤重(kN);
h——落距(m)。
由式(8-10)估算的有效加固深度较实测值大,可采用0.34~0.8的修正系数进行修正。但对同一类土,采用不同能量夯击时,其修正系数并不相同,因此,对同一类土,采用一个修正系数并不能得到满意的结果。影响有效加固深度的因素有单击夯击能、地基土的性质、不同土层的厚度、埋藏顺序和地下水位等,有效加固深度应根据现场试夯或当地经验确定。在缺少试验资料或经验时,《建筑地基处理技术规范》(JGJ79—2002)建议了其取值范围,见表8-9。
表8-9 强夯法的有效加固深度

注:强夯法的有效加固深度应从最初起夯面算起。
(2)单击夯击能
在设计中,根据需要加固的深度初步确定采用的夯击能,然后再根据机具条件确定起重设备、夯锤尺寸,以及自动脱钩装置。
起重设备可用履带式起重机、轮胎式起重机,也可采用专门制作的三脚架和轮胎式强夯机。由于1000kN吊机的卷扬机能力只有200kN左右,所以当锤重超过吊机卷扬机能力时,不能使用单缆锤施工工艺,需要利用滑轮组,并借助脱钩装置来起落夯锤。
夯锤的平面一般有圆形和方形,又分气孔式和封闭式。圆形带有气孔的锤较好,它可克服方形锤由于两次夯击落地不完全重合而造成的能量损失。气孔宜上下贯通,孔径可取250~300mm,它可减小起吊夯锤的吸力和夯锤着地的能量损失。锤底面积宜按土的性质确定,对砂性土一般为3~4m2,对黏性土不宜小于6m2。锤底静接地压力可取25~40kPa。锤重一般为10~25t,最大夯锤已达40t,落距为8~25m。对相同的夯击能量,常选用大落距方案,这样能获得较大的接地速度,将能量的大部分有效地传到地下深处,增加深层夯实效果,减小消耗在地表土层塑性变形的能量。
自动脱钩装置由工厂定型生产。夯锤挂在脱钩装置上,当起重机将夯锤吊到既定高度时,脱钩装置使锤自由下落进行夯实。
(3)最佳夯击能
从理论上讲,在最佳夯击能作用下,地基土中出现的孔隙水压力达到土的自重压力,这样的夯击能称为最佳夯击能。在黏性土中,由于孔隙水压力消散缓慢,当夯击能逐渐增大时,孔隙水压力相应地叠加,因此可根据孔隙水压力的叠加来确定最佳夯击能。在砂性土中,孔隙水压力增长及消散过程仅为几分钟,因此孔隙水压力不能随夯击能增加而叠加,可根据最大孔隙水压力增量与夯击次数关系来确定最佳夯击能。
夯点的夯击次数,可按现场试夯得到的夯击次数和夯沉量关系曲线确定,并应同时满足下列条件:①最后两击的平均夯沉量不宜大于下列数值:当单击夯击能小于4000kN·m时为50mm,当单击夯击能为4000~6000kN·m时为100mm,当单击夯击能大于6000kN·m时为200mm;②夯坑周围地面不应发生过大的隆起;③不因夯坑过深而发生提锤困难。
也可参照夯坑周围土体隆起的情况予以确定,就是当夯坑的竖向压缩量最大而周围土体的隆起最小时的夯击数,为该点的夯击次数。夯坑周围地面隆起量太大,说明夯击效率降低,则夯击次数要适当减少。对于饱和细粒土,击数可根据孔隙水压力的增长和消散来决定;当被加固的土层将发生液化时,此时的击数即为该遍击数,以后各遍击数也可按此确定。
(4)夯击遍数
夯击遍数应根据地基土的性质确定。一般来说,由粗颗粒土组成的渗透性强的地基,夯击遍数可少些;反之,由细颗粒土组成的渗透性弱的地基,夯击遍数要求多些。根据工程实践经验,一般可采用点夯2~3遍,对于渗透性较差的细颗粒土,必要时夯击遍数可适当增加。最后再以低能量满夯2遍,满夯可采用轻锤或低落距锤多次夯击,锤印搭接的方式。满夯的夯实效果好,可减小建(构)筑物的沉降和不均匀沉降。
(5)间歇时间
两遍夯击之间的间隔时间取决于土中超静孔隙水压力的消散时间。但土中超静孔隙水压力的消散速率与土的类别、夯点间距等有关。有条件时最好能在试夯前埋设孔隙水压力传感器,通过试夯确定超静孔隙水压力的消散时间,从而决定两遍夯击之间的间隔时间。当缺少实测资料时,可根据地基土的渗透性确定;对于渗透性较差的黏性土地基,间隔时间不应少于3~4周;对于渗透性好的地基,超孔隙水压力消散很快,夯完一遍,第二遍可连续夯击。
(6)夯击点布置
夯击点布置是否合理与夯实效果有直接的关系。夯击点位置可根据基底平面形状,采用等边三角形、等腰三角形或正方形布置。对于某些基础面积较大的建(构)筑物,为便于施工,可按等边三角形或正方形布置夯点;对于办公楼、住宅建筑等,可根据承重墙位置布置夯点,一般可采用等腰三角形布点,这样保证了横向承重墙以及纵墙和横墙交接处墙基下均有夯击点;对于工业厂房来说,也可按柱网来设置夯击点。
夯击点间距的确定,一般根据地基土的性质和要求处理的深度而定。对于细颗粒土,为便于超静孔隙水压力的消散,夯点间距不宜过小。当要求处理深度较大时,第一遍的夯点间距更不宜过小,以免夯击时在浅层形成密实层而影响夯击能往深层传递。此外,若各夯点之间的距离太小,在夯击时上部土体易向周围已夯成的夯坑中挤出,从而造成坑壁坍塌,夯锤歪斜或倾倒,影响夯实效果。第一遍夯击点间距可取夯锤直径的2.5~3.5倍,第二遍夯击点位于第一遍夯击点之间。以后各遍夯击点间距可适当减小。对加固深度较深或单击夯击能较大的工程,第一遍夯击点间距宜适当增大。

图8-5 夯击点布置及夯击次序(单位:m)
图8-5表示了两种夯击点的布置及夯击次序。图8-5(a)中,13个击点夯一遍分三次完成。第一次夯5点,4.2m×4.2m正方形布置;第二次夯4点,4.2m×4.2m正方形布置;第三次夯4点,3m×3m正方形布置。三次完成后13个夯击点为2.1m×2.1m正方形布置。图8-5(b)中,9个击点夯一遍分三次完成。第一次夯4点,6m×6m正方形布置;第二次夯1点,在6m×6m正方形中心;第三次夯4点,4.2m×4.2m正方形布置。三次完成后9个夯击点为3m×3m正方形布置。
(7)处理范围
由于基础的应力扩散作用,强夯处理范围应大于建(构)筑物基础范围,具体放大范围可根据建筑结构类型和重要性等因素考虑确定。对于一般建(构)筑物,每边超出基础外缘的宽度宜为基底下设计处理深度的1/2至2/3,并不宜小于3m。
(8)承载力确定
强夯地基承载力特征值应通过现场载荷试验确定,初步设计时也可根据夯后原位测试和土工试验指标按现行国家标准《建筑地基基础设计规范》(GB50007—2011)有关规定确定。
3)强夯法施工
强夯法施工是该法质量控制的重要一环。目前,国外已出现了将设计和施工结合起来随时控制的信息化施工方法。信息化施工的基本过程是:在现场对施工过程的有关内容进行测试,将其结果输入计算机处理,得出加固地基的定量评价,然后反馈回来对原设计进行修正,以后再按新方案进行强夯施工。循环往复,直至达到预定目标。信息化施工可以弥补因设计阶段情况欠明,或设计人员将地基理想简单化所带来与实际情况不符的缺点。信息化施工使工程的安全性、经济性及高效率融为一体,是我国今后强夯法施工的发展方向。
(1)施工机具及设备
强夯法的主要施工设备包括夯锤、起重机和脱钩装置三部分。
①夯锤。夯锤的重量与要加固的土层深度和落距有关,如加固深度和落距已定,可按式(8-4)确定夯锤的重量,一般采用80~400kN的锤重。夯锤底面积大小与土的类型有关,一般取3~7m2,锤底静压力值可取25~40kPa,对于饱和细颗粒土锤底静压力应取较小值,夯锤底面形式以圆形为好,夯击时能量损失较少。锤的底面最好对称设置若干个与其顶面贯通的通气孔(直径250~300mm),以减小夯锤下落和提升时空气阻力和吸力,特别是消除夯坑较深尚需继续夯击时的气垫影响。夯锤材质最好用铸钢,如条件所限,亦可用钢板壳内填混凝土。
②起重设备。国内外起重设备一般都采用稳定性好、移动方便的履带式起重机。国外多采用大吨位的起重机,起重能力达5倍锤重,可采用单缆吊锤,夯锤下落时,钢丝绳同夯锤一起下落,夯击效率较高,一般每分钟1~2击。法国制成的186个轮胎的起重机能起吊2000kN夯锤,落距可达25m,用此强夯能取得满意的效果。我国目前一般还只具备小吨位起重机施工条件,起重能力不大,故常采用脱钩装置,只要起重力大于1.5倍锤重,就可进行强夯施工,但每夯一击需2min~3min,国内强夯施工所用锤重多为100kN,最大400kN,最大落距25m。
③脱钩装置。当锤重超出吊机卷扬机的能力时,就不能使用单缆锤施工工艺,此时只有利用滑轮组并借助脱钩装置来起落夯锤。具体操作时将夯锤挂在脱钩装置上,当起重机将夯锤吊到既定高度时,利用吊机上副卷扬机的钢丝吊起锁卡焊合件,使锤脱落,自由下落强夯地基。
(2)施工要点
①平整场地。估计强夯后可能产生的平均地面变形,并以此确定地面高程,然后用推土机推平。
②回填垫层。在平整的地基上回填砂垫层和其他垫层,其厚度一般为1.0~2.0m,并用推土机推平,来回碾压以利于吊机作业。
③放夯击点位置。用石灰或打小木桩的办法放夯击点的位置,其偏差不应大于50cm。
④吊机就位进行强夯。当第一遍夯完后,用新土或周围的土将夯坑填平,再进行下一遍夯击,直至将计划的夯击遍数夯完为止。最后一遍为满夯(搭夯),其落距3~5m即可。
⑤做好强夯记录,注意观察施工过程。
⑥安全措施。当强夯施工时所产生的振动,对邻近建筑物或设备产生有害影响时,应采取防振或隔振措施。为防止强夯时飞石击人,现场工作人员应戴安全帽,夯击时所有人员应退到安全线以外。
(3)施工质量检验
强夯施工结束后应隔一定时间方能对地基加固质量进行检验。对碎石土和砂土地基,其间隔时间可取1~2周;对低饱和度的粉土和黏性土地基可取3~4周。
质量检验可采用标准贯入、静加触探等原位测试方法检测加固土的处理效果。检测点的数量应根据场地复杂程度和建筑物的重要性确定。对于简单场地上的一般建筑物,每个建筑物地基的检验点不应少于3处;对于复杂场地或重要建筑物地基应增加检验点数。检验深度应不小于设计处理深度。质量检验还可采用现场取土样,做室内土工试验方法进行。对于一般工程应采用两种或两种以上方法进行检验。对于重要工程应增加检验项目,也可做现场大压板载荷试验。质量检验内容还应包括检查强夯施工过程中的各项测试数据和施工记录,凡不符合设计要求时应补夯或采取其他有效措施。
8.2.3 挤密桩加固法
挤密桩加固法系采用类似于沉管灌注桩的机械和方法,通过冲击和振动,在地基中形成土孔,然后填入砂(或石、石灰、灰土等材料),并予以捣实而成直径较大的桩,使地基土在较大的深度范围内得以挤密加固。因此这种桩起着挤密的作用,又称挤密桩。按挤密时填入的材料不同,又可分为砂桩、碎石桩、石灰桩、灰土桩等。
挤密桩是属于柔性桩加固地基的范畴,它主要靠桩管打入地基时,对土的横向挤密作用,使土粒彼此移动,颗粒之间互相靠紧,空隙减小,土的骨架作用随之增强。所以挤密法加固地基使松软土发生挤密固结,从而使土的压缩性减小,抗剪强度提高。软弱土被挤密后与桩体共同作用组成复合地基,共同传递建筑物的荷载。在黏性土地基设置砂桩后,同时也具有砂井那样的排水固结作用。
1)土或灰土挤密桩法
土或灰土挤密桩法是通过沉管(锤击、振动)、冲击(长锤、橄榄锤)或爆扩方法成孔,使土侧向挤出挤密桩周土,提高桩间土的密实度和承载力,消除湿陷性。孔中填以素土,分层击实为土桩,填以灰土击实为灰土桩。
土或灰土挤密桩一般用于处理地下水位以上的湿陷性黄土、素填土和杂填土地基,处理深度5~15m。当地基土含水量大于23%及其饱和度大于0.65时,不宜选用此类方法。
土挤密桩法宜应用于以消除土的湿陷性病害为主要目的的场合;而灰土挤密桩法则不仅如此,还可应用于地基承载力加固或地基水稳性提高。在有条件和有经验的地区,也可就近利用工业废料(如粉煤灰、矿渣或其他无公害废渣)夯填桩孔,并可掺入适量石灰或水泥作为胶结料,以提高桩体的强度和水稳定性。
(1)加固机理
土桩、灰土桩挤压成孔时,桩孔位置原有土体被强制侧向挤压,单个桩孔外侧土挤密效果试验表明,孔壁附近土的干密度ρd最大,沿径向随着与孔壁距离的增加,依次向外,干密度逐渐减小,直至接近土的原始干密度ρ0。这一挤密影响区半径一般为(1.5~2.0)d,d为桩孔的成孔直径。相邻2桩或3桩成孔挤密后,出于交界面处挤密效果的叠加作用,将使桩间土的干密度ρd进一步增大。显然这一叠加效果与桩距成反比。
地基土的含水量对挤密效果影响很大,类似于Proctor击实原理,当土的含水量接近其最优含水量时,挤密效果最佳。此外,土的原始干密度对挤密影响区半径和挤密效果亦有显著影响,原始干密度较小时,挤密影响区半径就小,挤密效果就差。
土桩挤密地基是由素土夯填的土桩和桩间挤密的土体组合而成。由于土桩与桩间土的物理力学性质无明显差异,在基础均匀荷载作用下,土桩上的应力σp与桩间土上的应力σs之比,即桩土应力比n,一般n=σp/σs≈1.0。因此,土桩挤密地基与基础接触应力的分布和换填法中土垫层的情况类似。
灰土桩使用的灰土材料,是采用石灰和土按一定的比例(2∶8或3∶7)拌和,这种材料在化学性能上具有气硬性和水硬性,并随着龄期增长,土体的固化作用加强。灰土硬化后属于脆性材料,28d的无侧限抗压强度qu不低于500kPa。灰土桩的变形模量En随着应力水平的提高而减小,一般En=40~200MPa。灰土的水稳性可以用饱和状态下的抗压强度与普通状态下的抗压强度之比,即软化系数来表示。灰土的软化系数一般约为0.7,表明灰土具有一定的水稳定性,并且灰土在高含水量或水下仍可以硬化和发展强度。此外,对灰土的水稳定性的要求较高时,还可以采用适量外掺剂如2%~4%的水泥等,可有效地提高灰土的水稳性,以及相应复合地基的变形和强度稳定性。由于灰土桩具有一定的胶凝强度,其变形模量亦显著高于桩间土10倍左右。因此,灰土桩除具有与土桩相同的挤密作用外,还有分担荷载、降低土中应力,以及对土的侧向约束等作用。
(2)土或灰土挤密桩设计

图8-6 等边三角形布桩
①桩径和桩距。桩可布置成等边三角形,也可布置成正方格形,理想的形式是等边三角形。桩的直径宜采用300~600mm,并可根据所选用的成孔设备和成孔方法确定。桩距一般可取桩身直径的3~5倍。如原地基的密实度较大,则可取桩距大些;反之可取小些。根据工程经验,可参考表8-10选择桩距。
表8-10 桩距选择

桩距还可用公式计算。如图8-6所示,取桩延深1m计算,挤密前土质量为m0,为三角形ABC面积乘以天然密度平均值
d,即:
![]()
挤密后,由于半个桩体积挤入三角形ABC内,且密度为设计要求密度
c·ρdmax,故挤密后土质量m1应为:
![]()
因m0=m1,即
![]()
故

(8-11)
式中:s——桩的间距(m);
d——桩直径(m);
ρdmax——桩间土的最大干密度(t/m3);
d——地基土挤密前的平均干密度(t/m3);
c——地基土挤密后,桩间土平均压实系数,宜取0.93。
当采用灰土桩处理填土地基时,鉴于其干密度变异性较大,不宜按(8-11)确定桩间距s。为此,可根据挤密前的地基土承载力标准值fsk和挤密后复合地基要求达到的承载力标准值fspk,按下式计算:
![]()
(8-12)
式中:fpk——灰土桩的承载力标准值,宜取fpk=500kPa。
②桩布置的范围。局部处理时,对非自湿陷性黄土、素填土、杂填土等地基,每边超出基础的宽度不应小于0.25b(b为基础短边宽度),并不应小于0.5m,对自重湿陷性黄土地基不应小于0.75b,并不小于1m。
整片处理宜用于Ⅲ、Ⅳ级自重湿陷性黄土,每边超过建筑物外墙基础外缘的宽度不宜小于处理层厚度的1/2,并不应小于2m。
③桩孔内填料。填料应按压实系数控制压夯实质量。当用素土填时,压实系数λc不应小于0.97,灰与土体积比宜为2∶8或3∶7。
④地基承载力与变形计算。土或灰土挤密桩处理地基的承载力标准值,应通过原位测试或结合当地经验确定。当无试验资料时,对土挤密桩地基,不应大于处理前的1.4倍,并不应大于180kPa;对灰土挤密桩地基,不应大于处理前的2倍,并不应大于250kPa。
土或灰土挤密桩处理地基的变形计算应按《建筑地基基础设计规范》(GBJ7—89)的有关规定执行。其中复合土层的压缩模量应通过试验或结合当地经验确定。
(3)施工
①成孔施工时地基土宜接近土的最优含水量,当含水量低于12%时,宜加水冲湿至最优含水量。
②向孔内填料前,孔底必须夯实,然后用素土或灰土在最优含水量下分层回填夯实。
③施工时,基础底面以上应预留0.7~1.0m的土层,待施工结束后,将其挖除或分层压实。
(4)质量检验
主要检验桩和桩间土的干密度、承载力和施工记录。对重要或大型工程,尚应进行载荷试验或其他原位测试。
2)砂石桩法
砂石桩法通过沉管(锤击、振动)挤密桩间土,沉管下端为可开口的活瓣桩尖或预制桩尖,通过桩管灌入砂石,边拔管边振动(或锤击)形成砂石桩以形成复合地基。
砂石桩适用于处理松散砂土、素填土和杂填土等地基。对在饱和黏性土地基上不以变形为主要控制条件的工程也可采用砂石桩置换处理。
(1)工作机理
提高地基土密实度是砂石桩最传统、最基本也是最重要的功能之一。这一功能主要来源于砂石桩的挤密作用和振密作用。砂石桩的挤密作用与土桩、灰土桩的工作机理相同。而振密作用则主要来源于沉管的垂直振动和激振力,很显然挤密作用和振密作用对松散砂土或粉土的效果十分明显,这是因为这类土的结构特征属单粒结构,松散而孔隙比大,粒间连接弱,且不稳定。但对于黏性土尤其是饱和黏性土则作用不大,甚至相反,振密作用的激振力会导致黏土孔隙水压力积聚而加剧对地基原有结构的破坏。
近年来,砂石桩法开始在黏性土加固处理中得到应用,主要基于两个作用:一是砂石桩在软弱黏性土中的置换作用,使得基础下接触应力向砂石桩柱体集中,从而有效地降低了土中的应力水平,同时置换也使得复合地基的整体强度提高,压缩性降低;二是砂石桩柱体的存在提高了复合地基的排水性能,结合排水预压法使得砂石桩法的应用得到扩展。
(2)设计计算
碎石桩和砂桩的设计计算包括桩体材料的选择,桩体直径的大小,布桩形式、桩距、桩长的选择,碎石桩和砂桩复合地基稳定性验算及地基沉降的计算。
①加固范围。砂石桩挤密地基的宽度应超出基础的宽度,每边放宽不应少于1~3排。砂石桩用于防止砂层液化时,每边放宽不宜小于处理深度的1/2,并不应小于5m。当可液化土层上覆盖有厚度大于3m的非液化层时,每边放宽不宜小于液化土层厚度的1/2,并不应小于3m。
②桩位布置。对大面积满堂处理,桩位宜用等边三角形布置,对独立或条形基础,桩位宜用正方形、矩形或等腰三角形布置。对于圆形或环形基础(如油罐基础)宜用放射形布置,如图8-7。

图8-7 桩位布置
③加固深度。加固深度应根据软弱土层的性能、厚度或工程要求按下列原则确定:A.当相对硬层的埋藏深度不大时,应按相对硬层埋藏深度确定;B.当相对硬层的埋藏深度较大时,对按变形控制的工程,加固深度应满足碎石桩或砂桩复合地基变形不超过建筑物地基容许变形值的要求;C.对按稳定性控制的工程,加固深度应不小于最危险滑动面的深度;D.在可液化地基中,加固深度应按要求的抗震处理深度确定;E.桩长不宜短于4m。
④桩径。碎石桩和砂桩的直径应根据地基土质情况和成桩设备等因素确定。采用30kW振冲器成桩时,碎石桩的桩径一般为0.7~1.0m,采用沉管法成桩时,碎石和砂桩的桩径一般为0.3~0.7m,对饱和黏性土地基宜选用较大的直径。
⑤砂石桩间距。砂石桩的间距应通过现场试验确定,但不宜大于桩径的4倍。在有经验的地区,砂石桩间距也可按如下公式计算。
A.松散砂土地基
等边三角形布置时
![]()
(8-13)
正方形布置时
![]()
(8-14)
e1=emax-Dr(emax-emin)
式中:s——砂石桩间距(m);
d——砂石桩直径(m);
e0——地基处理前砂土的孔隙比,可按原状土样试验确定,也可通过动力或静力触探等对比试验确定;
emax、emin——砂土最大和最小孔隙比,可按《土工试验方法标准》(GB/T50123—1999)的有关规定确定;
e1——要求达到的孔隙比;
Dr——地基挤密后要求砂土达到的相对密实度,可取0.70~0.85。
B.黏性土地基
等边三角形布置时
![]()
(8-15)
正方形布置时
![]()
(8-16)
其中
![]()
以上式中:Ac——1根砂石桩承担的处理面积(m2);
Ap——砂石桩的截面积(m2);
m——面积置换率;
d——桩的直径(m);
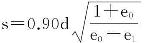
de——等效影响圆的直径(m);等边三角形布置,de=1.05s;正方形布置,de=1.13s。
⑥砂石桩复合地基的承载力。复合地基的承载力由桩体承载力和桩间土承载力组成,应通过复合地基的现场载荷试验确定,由于地基承载力相当于容许的基底压力,所以,当具有单桩和桩间土的载荷试验得出的承载力标准值时,可按下式计算:
fspk=mfpk+(1-m)fsk
(8-17)
式中:fspk——复合地基承载力标准值;
fpk——单桩单位截面积承载力标准值;
fsk——桩间土的承载力标准值。
对于小型工程的黏性土地基,如无现场载荷试验资料,复合地基的承载力标准值可按下式计算:
![]()
(8-18)
![]()
(8-19)
式中:n——桩土应力比;
σp、σs——桩和桩间土的竖向应力;
Ep、Es——分别为桩身和桩间土的压缩模量。
⑦砂石桩的填料量。桩孔内的填料宜用砾砂、粗砂、中砂、圆砾、卵石、碎石等。填料中含泥量不得大于5%,并不宜含有大于50mm的颗粒。
砂石桩的填料量是控制砂石桩质量的重要指标。砂石桩孔内的填砂石量可按下式计算:
![]()
(8-20)
式中:S——填砂石量(以重量计);
Ap——砂石桩的截面积;
l——桩长;
ds——砂石桩砂石料的相对密度(比重);
w——砂石料含水量。
【例8-2】 某场地为细砂地基,天然孔隙比e0=0.96,emax=1.14,emin=0.60,承载力的标准值为100kN/m2。由于不能满足上部结构荷载要求,决定采用碎石桩加密地基,桩长7.5m,直径d=500mm,等边三角形布置,地基挤密后要求砂土的相对密度达到0.80。试确定桩的间距和复合地基的承载力。
【解】 (1)求桩距
e1=emax-Dr(emax-emin)=1.14-0.80(1.14-0.60)=0.276
由式
,得:
![]()
取s=1m。
(2)求复合地基承载力
de=1.05s=1.05×1=1.05m
![]()
因无试验资料,故采用公式计算:
(3-1)]×100(取n=3)
=145.4kPa
8.2.4 排水固结法
排水固结法(预压法)是在建筑物建造前,对天然地基或对已设各种排水体(如砂井和排水垫层等)的地基施加预压荷载(如堆载、真空预压或联合预压),使土体固结沉降基本完成或完成大部分,从而提高地基土强度的一种地基处理方法。根据所施加的预压荷载不同,排水固结法可分为堆载预压法、真空预压法和联合预压法。
1)加固原理

图8-8 排水固结法增大地基土密度的原理
饱和软黏土地基在荷载作用下,孔隙中的水被慢慢排出,孔隙体积慢慢地减小,地基发生固结变形。同时,随着超静水压力消散,有效应力逐渐提高,地基土的强度逐渐增长。现以图8-8为例加以说明。当土样的天然固结压力为
时,其孔隙比为e0,在
曲线上其相应的点为A点;当压力增加Δσ′,固结终了时,变为C点,孔隙比减小Δe,曲线ABC称为压缩曲线。与此同时,抗剪强度与固结压力成比例地由A点提高到C点。所以,土体在受固结压力时,一方面孔隙比减小产生压缩,另一方面抗剪强度也得到提高。如从C点卸除压力Δσ′,则土样发生回弹,图中
曲线)为回弹曲线,如从F点再加压Δσ′,土样发生再压缩,沿虚线变化到C′,其相应的强度包络线如图8-8所示。从再压缩曲线
曲线)可清楚地看出,固结压力同样从
增加Δσ′,而孔隙比减小值为Δe′,Δe′比Δe小得多。这说明,如果在建筑物场地先加一个和上部建筑物相同的压力进行预压,使土层固结(相当于压缩曲线上从A点变化到C点),然后卸除荷载(相当于在回弹曲线上由C点变化到F点),再建造建筑物(相当于在压缩曲线上从F点变化到C′点),这样,建筑物所引起的沉降即可大大减小。如果预压荷载大于建筑物荷载,即所谓超载预压,则效果更好。因为经过超载预压,当土层的固结压力大于使用荷载下的固结压力时,原来的正常固结黏土层将处于超固结状态,从而使土层在使用荷载作用下的变形大为减小。
土层的排水固结效果与它的排水边界条件有关。如图8-9(a)所示的排水边界条件,即土层厚度相对荷载宽度来说比较小,这时土层中的孔隙水向上下面透水层排出而使土层发生固结,称为竖向排水固结。根据固结理论,黏性土固结所需的时间与排水距离的平方成正比,土层越厚,固结延续的时间越长。为了加速土层的固结,最有效的方法是增加土层的排水途径,缩短排水距离。砂井、塑料排水板等竖向排水体就是为此目的而设置的,如图8-9(b)所示。这时土层中的孔隙水主要从水平向通过砂井从竖向排出。砂井缩短了排水距离,因而大大加速了地基的固结速率(或沉降速率),这一点无论从理论上还是从工程实践上都得到了证实。

图8-9 排水法的原理
2)堆载预压设计计算步骤
软黏土地基抗剪强度较低,无论是直接建造建(构)筑物还是进行堆载预压(Preloading)往往都不可能快速加载,而必须分级逐渐加荷,待前期荷载下地基强度增加到足以加下一级荷载时才可加下一级荷载。具体计算步骤是首先用简便的方法确定一个初步的加荷计划,然后校核这一加荷计划下地基的稳定性和沉降。
(1)利用地基的天然地基土抗剪强度计算第一级容许施加的荷载p1,对饱和软黏土可采用下列公式估算:
![]()
(8-21)
式中:K——安全系数,建议采用1.1~1.5;
cu——天然地基的不排水抗剪强度(kPa);
γ——基底标高以上土的重度(kN/m3)
D——基础埋深(m)。
(2)计算第一级荷载下地基强度增长值。在p1荷载作用下,经过一段时间预压,地基强度会提高,提高以后的地基强度为cu1:
![]()
(8-22)
式中:η——考虑剪切蠕动及其他因素的强度折减系数;
——p1作用下地基因固结而增长的强度。
(3)计算p1作用下达到所确定固结度所需要的时间。目的在于确定第一级荷载停歇的时间,亦即第二级荷载开始施加的时间。
(4)根据第(2)步所得到的地基强度cu1计算第二级所能施加的荷载p2。p2可近似地按下式估算:
![]()
(8-23)
求出在p2作用下地基固结度达70%时的强度以及所需要的时间,然后计算第三级所能施加的荷载,依次可计算出以后的各级荷载和停歇时间。
(5)按以上步骤确定的加荷计划进行每一级荷载下地基的稳定性验算。如稳定性不满足要求,则调整加荷计划。
(6)计算预压荷载下地基的最终沉降量和预压期间的沉降量。这一项计算的目的在于确定预压荷载卸除的时间。这时地基在预压荷载下所完成的沉降量已达到设计要求,所残余的沉降量是建(构)筑物所允许的。
3)超载预压
对沉降有严格限制的建(构)筑物,应采用超载预压法处理地基。经超载预压后,如受压土层各点的有效竖向应力大于建(构)筑物荷载引起的相应点的附加总应力,则今后在建(构)筑物荷载作用下地基土将不会再发生主固结变形,而且将减小次固结变形,并推迟次固结变形的发生。
超载预压可缩短预压时间,如图8-10所示,在预压过程中,任一时间地基的沉降量可表示为:
![]()
(8-24)
式中:st——时间t时地基的沉降量(mm);
sd——由于剪切变形而引起的瞬时沉降(mm);
t——t时刻地基的平均固结度;
sc——最终固结沉降(mm);
ss——次固结沉降(mm)。

图8-10 超载预压消除主固结沉降
上式可用于:①确定所需的超载压力值ps,以保证使用(或永久)荷载pt作用下预期的总沉降量在给定的时间内完成;②确定在给定超载下达到预定沉降量所需要的时间。
在永久填土或建(构)筑物荷载pt作用下,地基的固结沉降采用通常的方法计算。
为了消除超载卸除后继续发生的主固结沉降,超载应维持到使土层中间部位的固结度Uz(t+s)达到下式要求:
![]()
(8-25)
该方法要求将超载保持到在pt作用下所有的点都完全固结为止,这时土层的大部分将处于超固结状态。因此,这是一个安全度较大的方法,它所预估的ps值或超载时间都大于实际所需的值。
对于有机质黏土、泥炭土等,次固结沉降在总沉降中占有相当的比例,采用超载预压法对减小永久荷载下的次固结沉降有一定的效果,计算原则是把pt作用下的总沉降看做主固结沉降和次固结沉降之和。
4)砂井排水固结的设计计算
常用的竖向排水体有普通砂井、袋装砂井和塑料排水板,三者的作用机理相同,均可采用普通砂井的设计方法。
(1)砂井设计
砂井设计内容包括砂井的直径、间距、长度、布置方式和范围等。
①砂井的直径和间距。砂井的直径和间距应根据地基土的固结特性和预定时间内所要求达到的固结度确定。砂井的直径不宜过大或过小,过大不经济,过小施工易造成灌砂率不足、缩颈或砂井不连续等质量问题。常用的普通砂井直径可取300~500mm,袋装砂井直径可取70~120mm。塑料排水板已标准化,一般相当于直径60~70mm。砂井的间距可按井径比选用,井径比(n)按下式确定:
n=de/dw
(8-26)
式中:de——砂井有效排水范围等效圆直径(mm);
dw——砂井直径(mm)。
普通砂井的间距可按n=6~8选用,塑料排水板和袋装砂井的间距可按n=15~22选用。
②砂井长度。砂井的长度应根据建筑物对地基的稳定性、变形要求和工期确定。当压缩土层不厚、底部有透水层时,砂井应尽可能贯穿压缩土层;当压缩土层较厚,且间有砂层或砂透镜体时,砂井应尽可能打至砂层或透镜体;当压缩土层很厚,其中又无透水层时,可按地基的稳定性及建筑物变形要求处理的深度来决定。按稳定性控制的工程,如路堤、土坝、岸坡、堆料场等,砂井深度应通过稳定分析确定,砂井长度应超过最危险滑弧面的深度2.0m。从沉降考虑,砂井长度宜穿透主要的压缩土层。

图8-11 砂井平面布置图
③砂井的布置和范围。砂井常按梅花形和正方形布置(如图8-11)。假设每个砂井的有效影响面积为圆面积,如砂井间距为l,则等效圆(有效排水范围)的直径de与l的关系为:梅花形时,de=1.05l;正方形时,de=1.13l。由于梅花形排列较正方形紧凑和有效,因此应用较多。砂井的布置范围应稍大于建筑物基础范围,扩大的范围可由基础轮廓线向外增大2~4m。
④砂垫层。在砂井顶面应铺设排水砂垫层,以连通各个砂井形成通畅的排水面,将水排到场地以外。砂垫层厚度不应小于0.5m;水下施工时,砂垫层厚度一般为1.0m左右。为节省砂料,也可采用连通砂井的纵横砂沟代替整片砂垫层,砂沟的高度一般为0.5~1.0m,砂沟宽度取砂井直径的2倍。
(2)地基固结度计算
①竖向平均固结度Uz可按下式计算:
![]()
(8-27)
如果考虑逐级加荷,则时间t从加荷历时的一半起算,如为双面排水,H取土层厚度的一半。
②根据Barron的解法计算径向平均固结度Ur:
![]()
(8-28)
式中:TH——水平向固结时间因素,
;
CH——水平固结系数
;
KH——水平渗透系数(cm/s);
F——与n有关的系数,
;
n——井径比,n=de/dw,一般取n为4~12。
③砂井的平均固结度为:
Urz=1-(1-Ur)(1-Uz)
(8-29)
【例8-3】 某工程建在饱和软黏土地基上,砂井长H=12m,间距l=1.5m,梅花形布置,dw=30cm,Cv=CH=1.0×10-3cm2/s,求一次加荷3个月时砂井地基的平均固结度。
【解】 (1)竖向固结度
![]()
![]()
×0.987=20%
(2)水平向平均固结度
de=1.05l=1.05×150=157.5cm
![]()
![]()
=0.979
![]()
![]()
=1-0.0775=92.25%
地基的平均固结度
Urz=1-(1-Ur)(1-Uz)=1-(1-0.9225)(1-0.2)=93.8%
(3)沉降计算
地基土的总沉降一般包括瞬时沉降、固结沉降和次固结沉降三部分。瞬时沉降是在荷载作用下由土的畸变所引起,并在荷载作用下立即发生的。固结沉降是由孔隙水的排出而引起土体积减小所造成的,占总沉降的主要部分。次固结沉降则是由于超静水压力消散后,在恒值有效应力作用下土骨架的徐变所致。
次固结大小和土的性质有关。泥炭土、有机质土或高塑性黏土的次固结沉降在总沉降中占很可观的部分,而其他土所占比例则不大。在建(构)筑物使用年限内,次固结沉降经判断可以忽略的话,则最终总沉降量可认为是瞬时沉降量与固结沉降量之和。软黏土的瞬时沉降sd一般按弹性理论公式计算。固结沉降sc目前工程上通常采用单向压缩分层总和法计算,这只有当荷载面积的宽度或直径大于可压缩土层或当可压缩土层位于两层较坚硬的土层之间时,单向压缩才可能发生,否则应对沉降计算值进行修正以考虑三向压缩的效应。
①单向压缩固结沉降sc的计算
应用一般单向压缩分层总和法将地基分成若干薄层,其中第i层土的压缩量为:
![]()
(8-30)
总压缩量为:
![]()
(8-31)
式中:e0i——第i层土中点之土自重应力所对应的孔隙比;
e1i——第i层土中点之土自重应力和附加应力之和所对应的孔隙比;
hi——第i层土厚度。
e0i和e1i从室内固结试验所得的
曲线上查得。
②瞬时沉降sd的计算
软黏土地基由于侧向变形而引起的瞬时沉降占总沉降相当可观的部分,特别是在荷载比较大,加荷速率比较快的情况下,因为这时地基中产生了局部塑性区。
sd这一部分沉降量,目前系采用弹性理论公式计算,当黏土地基厚度较大,作用于其上的圆形或矩形面积上的压力为均布时,sd可按照下式计算:
![]()
(8-32)
式中:p——均布荷载;
b——荷载面积的直径或宽度;
Cd——考虑荷载面积形状和沉降计算点位置的系数(见表8-11);
E、μ——土的弹性模量和泊松比。
表8-11 半无限弹性表面各种均布荷载面积上各点的Cd值

5)真空预压设计计算
真空预压法是先在需加固的软土地基表面铺设一层透水砂垫层或砂砾层,再在其上覆盖一层不透气的塑料薄膜或橡胶布,四周密封好,与大气隔绝,在砂垫层内埋设渗水管道,然后与真空泵连通进行抽气,使透水材料保持较高的真空度,在土的孔隙水中产生负的孔隙水压力,使土中孔隙水和空气逐渐吸出,从而使土体固结。
真空预压法适用于饱和均质黏性土及含薄层砂夹层的黏性土,特别适用于新吹填土、超软地基的加固,但不适用于在加固范围内有足够水源补给的透水土层,以及无法堆载的倾斜地面和施工场地狭窄等场合。
真空预压在抽气后薄膜内气压逐渐下降,薄膜内外形成一个压力差(称为真空度),由于土体与砂垫层和塑料排水板间的压差,从而发生渗流,使孔隙水沿着砂井或塑料排水板上升而流入砂垫层内,被排出塑料薄膜外;地下水在上升的同时,形成塑料板附近的真空负压,使土体内的孔隙水压形成压差,促使土中的孔隙水压力不断下降,地基有效应力不断增加,从而使土体固结,直至加固区土体与排水体中压差趋向于零,此时渗流停止,土体固结完成。所以真空预压过程是在总应力不变的条件下,孔隙水压力降低、有效应力增加的过程,实质为利用大气压差作为预压荷载,使土体逐渐排水固结的过程。
真空预压法加固软土地基同堆载预压法一样,完全符合有效应力原理,只不过是负压边界条件的固结过程。因此,只要边界条件与初始条件符合实际,各种固结理论(如太沙基理论、比奥理论等)和计算方法都可求解。
工程经验和室内试验表明,土体除在正、负压作用下侧向变形方向不同外,其他固结特性无明显差异。真空预压加固中,竖向排水体间距、排列方式、深度的确定、土体固结时间的计算,一般可采用与堆载预压基本相同的方法进行。
真空预压的设计内容主要包括密封膜内的真空度、加固土层要求达到的平均固结度、竖向排水体的尺寸、加固后的沉降和工艺设计等。
(1)膜内真空度
真空预压效果与密封膜内所能达到的真空度大小关系极大。根据国内一些工程的经验,当采用合理的工艺和设备,膜内真空度一般可维持600mmHg左右,相当于80kPa的真空压力,此值可作为最低膜内设计真空度。
(2)加固区内要求达到的平均固结度
一般可采用80%的固结度,如工期许可,也可采用更大一些的固结度作为设计要求达到的固结度。
(3)竖向排水体
一般采用袋装砂井或塑料排水带。真空预压处理地基时,必须设置竖向排水体。因为砂井(袋装砂井或塑料排水带)能将真空度从砂垫层中传至土体,并将土体中的水抽至砂垫层然后排出。若不设置砂井,就起不到上述作用,也达不到加固的目的。竖向排水体的规格、排列方式、间距和深度的确定与砂井排水固结设计相同。
抽真空的时间与土质条件和竖向排水体的间距密切相关。达到相同的固结度,竖向排水体的间距越小,则所需的时间越短(见表8-12)。
表8-12 袋装砂井间距与所需时间关系表

(4)沉降计算
先计算加固前在建筑物荷载下天然地基的沉降量,然后计算真空预压期间所完成的沉降量,两者之差即为预压后在建筑物使用荷载作用下可能发生的沉降。预压期间的沉降可根据设计要求达到的固结度推算加固区所增加的平均有效应力,从
曲线上查出相应的孔隙比进行计算。
对于承载力要求高,沉降限制严的建筑,可采用真空-堆载联合预压法。工程实践表明,真空预压和堆载预压的效果是可叠加的,但真空和堆载必须同时作用。
真空预压的面积不得小于基础外缘所包围的面积,一般真空的边缘应比建筑基础外缘超出不小于3m;另外,每块预压的面积应尽可能大,根据加固要求彼此间可搭接或有一定间距。加固面积越大,加固面积与周边长度之比也越大,气密性就越好,真空度就越高(见表8-13)。
真空预压的关键在于要有良好的气密性,使预压区与大气层隔绝。当在加固区发现有透气层和透水层时,一般可在塑料薄膜周边采用另加水泥土搅拌桩的壁式密封措施。
真空预压法一般能取得相当于78~92kPa的等效荷载堆载预压法的效果。
表8-13 真空度与加固面积关系表

8.3 化学法加固技术
化学加固法指利用水泥浆液、黏土浆液或其他化学浆液,通过灌注压入、高压喷射或机械搅拌,使浆液与土颗粒胶结起来,以改善地基土的物理和力学性质的地基处理方法。本节将分别介绍灌浆法、水泥搅拌法和高压喷射注浆法。
8.3.1 灌浆法
1)概述
灌浆法是指利用液压、气压或电化学原理,通过注浆管把浆液均匀地注入地层中,浆液以填充、渗透和挤密等方式,使土颗粒间或岩石裂隙中的水分和空气排出,经人工控制一定时间后,浆液将原来松散的土粒或裂隙胶结成一个整体,形成一个结构新、强度大、防水性能高和化学性能良好的结石体。
灌浆法的应用范围很广,能够达到很多强化的目的:可以防渗,增加地基土的不透水性,如防止流砂、钢板桩渗水及改善地下工程的开挖条件;防止桥墩和边坡护岸的冲刷;整治塌方滑坡、处理路基病害;加固、提高地基土的承载力,减少地基的沉降和不均匀沉降;进行托换技术,既有建筑物的地基加固与纠偏等。
2)加固原理
(1)浆液材料
选择的浆材品种和性能直接关系着灌浆工程的质量和造价。灌浆工程中所用的浆液是由主剂(原材料)、溶剂(水或其他溶剂)及各种外加剂混合而成。浆液材料分类的方法很多,可以按浆液所处状态分:真溶液、悬浮液和乳化液;按工艺性质分:单浆液和双浆液;按主剂性质分:无机系和有机系等。常见的灌浆材料有水泥浆材、粉煤灰水泥浆材、硅粉水泥浆材、黏土水泥浆等。灌浆材料的选择对浆液性质有直接的关系,所以要根据工程实际需要选择灌浆材料,从以下几个方面考察浆液的性质:材料的分散度、沉淀析水性、凝结性、热学性、收缩性、结石强度、渗透性和耐久性。
选择浆液材料有如下要求:①浆液应是真溶液而不是悬浊液,浆液黏度低,流动性好,能进入细小裂隙;②浆液凝胶时间可从几秒至几小时范围内随意调节,并能准确地控制,浆液一经发生凝液就在瞬间完成;③浆液的稳定性好,在常温常压下,长期存放不改变性质;④浆液无毒无臭,对环境不污染,对人体无害,属非易爆物品;⑤浆液应对注浆设备、管路、混凝土结构物、橡胶制品等无腐蚀性,并容易清洗;⑥浆液固化时无收缩现象,固化后与岩石、混凝土等有一定粘结性;⑦浆液结石体有一定抗压和抗拉强度,不龟裂,抗渗性能和防冲刷性能好;⑧结石体耐老化性能好,能长期耐酸、碱、盐、生物细菌等腐蚀,且不受温度和湿度的影响;⑨材料来源丰富,价格低廉;⑩浆液配制方便,操作容易。
(2)灌浆理论
地基处理中,灌浆工艺所依据的理论主要可归纳为以下四类:
①渗透灌浆。渗透灌浆是指在压力作用下使浆液充填土的孔隙和岩石的裂隙,排挤出孔隙中存在的自由水和气体,而基本上不改变原状土的结构和体积,所用灌浆压力相对较小,这类灌浆一般只适用于中砂以上的砂性土和有裂隙的岩石。代表性的渗透灌浆理论有:球形扩散理论、柱形扩散理论和袖套管法理论。
②劈裂灌浆。劈裂灌浆是指在压力作用下,浆液克服地层的初始应力和抗拉强度,引起岩石和土体结构的破坏和扰动,使其沿垂直于小主应力的平面上发生劈裂,使地层中原有的裂隙或孔隙张开,形成新的裂隙或孔隙,浆液的可灌性和扩散距离增大,而所用的灌浆压力相对较高。
③挤密灌浆。挤密灌浆是指通过钻孔在土中灌入极浓的浆液,在注浆点使土体挤密,在注浆管端部附近形成“浆泡”。当浆泡的直径较小时,灌浆压力基本上沿着孔的径向扩展。随着浆泡尺寸的逐渐增大,便产生较大的上抬力而使地面抬动。
④电动化学灌浆。如地基土的渗透系数比较小,只靠一般静压力难以使浆液注入土的孔隙,此时需用电渗的作用使浆液进入土中。电动化学灌浆是指在施工时将带孔的注浆管作为阳极,用滤水管作为阴极,将溶液由阳极压入土中,并通以直流电,在电渗作用下,孔隙水由阳极流向阴极,促使通电区域中土的含水量降低,并形成渗浆通路,化学浆液也随之流入土的孔隙中,并在土中硬结。电动化学灌浆是在电渗排水和灌浆法的基础上发展起来的一种加固方法。但由于电渗排水作用,可能会引起邻近既有建筑物基础的附加下沉,这一情况应予以重视。
3)设计与计算
(1)设计程序和内容
灌浆设计一般应遵循以下程序:①地质调查:查明地基的工程地质特性和水文地质条件;②方案选择:根据工程性质、灌浆目的及地质条件,初步选定灌浆方案;③灌浆试验:除进行室内灌浆试验外,对较重要的工程,还应选择有代表性的地段进行现场灌浆试验,以便为确定灌浆技术及灌浆施工方法提供依据;④设计和计算:确定各项灌浆参数和技术措施;⑤补充和修改设计:在施工期间和竣工后的运用过程中,根据观测所得的异常情况,对原设计进行必要的调整。
设计内容主要包括以下方面:①灌浆标准:通过灌浆要求达到的效果和质量指标;②施工范围:包括灌浆深度、长度和宽度;③灌浆材料:包括浆材种类和浆液配方;④浆液影响半径:指浆液在设计压力下所能达到的有效扩散距离;⑤钻孔布置:根据浆液影响半径和灌浆体设计厚度,确定合理的孔距、排距、孔数和排数;⑥灌浆压力:规定不同地区和不同深度的允许最大灌浆压力;⑦灌浆效果评估:用各种方法和手段检测灌浆效果。
(2)灌浆方案的选择
①灌浆目的如为提高地基强度和变形模量,一般可选用以水泥为基本材料的水泥浆、水泥砂浆和水泥水玻璃浆,或采用高强度化学浆材。
②灌浆目的如为防渗堵漏时,可采用黏土水泥浆、黏土水玻璃浆、水泥粉煤灰混合物,以及无机试剂为固化剂的硅酸盐浆液等。
③在裂隙岩层中灌浆一般采用纯水泥浆或在水泥浆中掺入少量膨润土,在砂砾石层中或在溶洞中采用黏土水泥浆,在砂层中一般只采用化学浆液,在黄土中采用单液硅化法或碱液法。
④对孔隙较大的砂砾石层或裂隙岩层中采用渗入性注浆法,在砂层灌注粒状浆材宜采用水力劈裂法;在黏性土层中采用水力劈裂法或电动硅化法,纠偏建筑物的不均匀沉降则采用挤密灌浆法。
有时在考虑浆材选用上,还需要考虑浆材对人体的危害或对环境的污染问题。
(3)灌浆标准
所谓灌浆标准,是指设计者要求地基灌浆后应达到的质量指标。所用灌浆标准的高低,关系到工程量、进度、造价和建筑物的安全。灌浆目的和要求不同,很难规定一个比较具体和统一的准则,只能根据具体情况做出具体的规定。下面仅提出几点与确定灌浆标准有关的原则和方法。
①防渗标准。防渗标准是指渗透性的大小。防渗标准越高,表明灌浆后地基的渗透性越低,灌浆质量也就越好。这不仅体现在地基渗水量的减少,而且因为渗透性越小,地下水在介质中的流速越低,地基上发生管涌破坏的可能性就越小。
②强度和变形标准。根据灌浆的目的、强度和变形的标准随工程的具体要求而不同。如:A.为了增加嫁接桩的承载力,主要应沿桩的周边溜浆,以提高桩侧界面间的黏聚力,对支承桩则在桩底灌浆以提高桩端土的抗压强度和变形模量;B.为了减少坝基础的不均匀变形,仅需在坝基下游基础受压部位进行固结灌浆,以提高地基土的变形模量,而无需在整个坝基灌浆;C.对振动基础,有时灌浆目的只是为了改变地基的自然频率以清除共振条件,因而不一定需用强度较高的浆材;D.为了减小挡土墙的土压力,则应在墙背至滑动面附近的土体中灌浆,以提高地基土的重度和滑动面的抗剪强度。
③施工控制标准。灌浆后的质量指标只能在施工结束后通过现场检测来确定。有些灌浆工程甚至不能进行现场检测,因此必须制定一个保证获得最佳灌浆效果的施工控制标准。
A.在正常情况下注入理论耗浆量Q为:
Q=V·n·m
(8-33)
式中:V——设计灌浆体积;
n——土的孔隙率;
m——无效注浆量。
B.按耗浆量降低率进行控制。由于灌浆是按逐渐加密原则进行的,孔段耗浆量也随加密次序的增加而逐渐减少。若起始孔距布置正确,则第二次序的耗浆量将比第一次序大为减少,这是灌浆取得成功的标志。
(4)浆材及配方设计原则
①对渗入性灌浆工艺,浆液必须能渗入土的孔隙,即所用浆液必须是可灌的。这是一项最基本的要求,不满足它就谈不上灌浆。若采用劈裂灌浆工艺,则浆液不是向天然孔隙,而是向被较高灌浆压力扩大了的孔隙渗入,因而对可灌性要求就不如渗入性灌浆严格。
②一般情况下浆液应具有良好的流动性和流动性维持能力,以便在不太高的灌浆压力下获得尽可能大的扩散距离。但在某些地质条件下,例如地下水的流速较快和土的孔隙尺寸较大的,往往要采用流动性较小和触变性较大的浆液,以免浆液扩散至不必要的距离和防止地下水对浆液的稀释及冲刷。
③浆液的析水性要小,稳定性要高,以防在灌浆过程中或灌浆结束后发生颗粒沉淀和分离,并导致浆液的可泵性、可灌性和灌浆体的均匀性大大降低。
④对防渗灌浆而言,要求浆液结石具有较高的不透水性和抗渗稳定性,若灌浆目的是加固地基,则结石应具有较高的力学强度和较小的变形性。与永久性灌浆工程相比,临时性工程所述要求较低。
⑤制备浆液所用原材料及凝固体都不应具有毒性或毒性尽可能小,以免伤害皮肤,刺激神经和污染环境。某些碱性物质虽然没有毒性,但若流失在地下水中,也会造成环境污染,故应尽量避免这种现象。
⑥有时浆液尚应具有某些特殊的性质,如膨胀性、高亲水性、高抗冻性和低温固化性等,以适应特殊环境和专门工程的需要。
⑦不论何种灌浆工程,所用原材料都应就近取材,从而降低造价。
⑧关于浆液的凝结时间,要注意以下几个问题:浆液的凝结时间变幅较大,如化学浆液的凝结时间可在几秒钟到几小时之间调整,水泥浆一般为3~4h,动土水泥浆则更慢,可根据灌浆土层的体积、渗透性、孔隙尺寸和孔隙率、浆液的流变性和地下水流速等实际情况决定。总的来说,浆液的凝结时间应足够长,以便计划注浆量能渗入到预定的影响半径内,当在地下水中灌浆时,除应控制注浆速率以防浆液被过分稀释或被冲走外,还应设法使浆液能在灌注过程中凝结;混凝土与水泥灰浆有初凝和终凝之分,但浆液的凝结时间并无严格的定义。许多试验室都是根据自己拟定的方法研究浆液的凝结时间,由于标准不一,难以进行比较。
(5)浆液扩散半径的确定
浆液扩散半径r是一个重要参数,它对灌浆工程量及造价具有重要的影响,如果选用的r值不符合实际情况,还将降低灌浆效果甚至导致灌浆失败。r值可按第二节中的理论公式估算,当地质条件较复杂或计算参数不易选准时,就应通过现场灌浆试验来确定。
(6)孔位布置
灌浆孔的布置是根据浆液的注浆有效范围,且应相互重叠,使被加固土体在平面和深度范围内连成一个整体的原则决定的。
①单排孔的布置。如图8-12所示,灌浆体的厚度为:
![]()
![]()
(8-34)
若灌浆体的设计厚度为T,则灌浆孔距为
![]()
(8-35)

图8-12 单排孔布置

图8-13 无效面积计算图
设计中可能出现以下几种情况:A.当l值接近零时,b值仍不能满足设计厚度时,应考虑采用多排灌浆孔;B.虽单排孔能满足设计要求,但若孔距太小,钻孔数太多,就应进行双排孔的方案比较;C.设T为设计帷幕厚度,h为弓形高,L为弓长,如图8-13,则每个灌浆孔的无效面积为:
![]()
(8-36)
浆液的浪费量为:
m=Sn·n
(8-37)
式中:n——土的孔隙率。

图8-14 双排孔最优设计布孔方案
②多排孔的布置。多排孔设计的基本原则是要充分发挥灌浆孔的潜力,以获得最大的灌浆体厚度,不允许出现两排孔间搭接不紧密的情况,也不要求搭接过多而出现浪费。图8-14为双排孔正好紧密搭接的最优设计布孔方案。可以推导出最优排距Rm和最大灌浆有效厚度Bm的计算式:
![]()
(8-38)
奇数排:
![]()
(8-39)
偶数排:
![]()
(8-40)
式中:n——灌浆孔排数。
(7)灌浆压力
由于浆液的扩散能力与灌浆压力的大小密切相关,有不少人倾向于采用较高的灌浆压力,在保证灌浆质量的前提下,使钻孔数尽可能减少。高的灌浆压力还能使一些微细孔隙张开,有助于提高可灌性。当孔隙中被某种软弱材料填充时,高灌浆压力能在充填物中造成劈裂注浆,使软弱材料的密实度、强度和不透水性等得到改善。此外,高灌浆压力还有助于挤出浆液中的多余水分,使浆液结石的强度提高。但是,当灌浆压力超过地层的压重和强度时,有可能导致地基及其上部结构的破坏。因此,一般都以不使地层结构破坏或仅发生局部的和少量的破坏,作为确定地基允许灌浆压力的基本原则。容许灌浆压力值与一系列因素有关,如地层土的密度、强度和初始应力,钻孔深度、位置及灌浆次序等因素有关,而这些因素又难以准确地预知,因而宜通过现场灌浆试验来确定。
(8)灌浆量
灌浆用量的体积应为土的孔隙体积。但在灌浆过程中,浆液并不可能完全充满土的孔腺体积,而土中水分亦占据孔隙的部分体积。所以,在计算浆液用量时,通常应乘以小于1的灌注系数,但考虑到浆液容易流到设计范围以外,所以灌注所需的浆液总用量Q可参照下式计算:
Q=K·V·n·1000
(8-41)
式中:Q——浆液总用量(L);
V——注浆对象的土量(m3);
n——土的孔隙率;
K——经验系数:软土、黏性土、细砂为0.3~0.5;中砂、细砂为0.5~0.7;砾砂为0.7~1.0;湿陷性黄土为0.5~0.8。
(9)注浆顺序
注浆顺序必须采用适合于地基条件、现场环境及注浆目的的方法进行,一般不宜采用自注浆地带某一端单向推进压注方式,应按跳孔间隔注浆方式进行,以防止串浆,提高注浆孔内浆液的强度与时俱增的约束性。对有地下动水流的特殊情况,应考虑浆液在动水流下的迁移效应,从水头高的一端开始注浆。对加固渗透系数相同的土层,首先应完成最上层封顶注浆,然后再按由下而上的原则进行注浆,以防浆液上冒。如土层的渗透系数随深度而增大,则应自下而上进行注浆。注浆时应采用先外围后内部的注浆顺序,若注浆范围以外有边界约束条件(能阻挡浆液流动的障碍物)时,也可采用自内侧开始顺次往外侧的注浆方法。
8.3.2 水泥搅拌法
1)概述
水泥土搅拌法是用于加固饱和黏性土地基的一种新方法。它是利用水泥(或石灰》等材料作为固化剂,通过特制的搅拌机械,在地基深处就地将软土和固化剂(浆液或粉体)强制搅拌,由固化剂和软土间所产生的一系列物理和化学反应,使软土硬结成具有整体性、水稳定性和一定强度的水泥加固土,从而提高地基强度和变形模量。根据施工方法的不同,水泥土搅拌法分为水泥浆搅拌(国内称深层搅拌法)和粉体喷射搅拌两种,前者是用水泥浆和地基土搅拌,后者是用水泥粉或石灰粉和地基土搅拌。
水泥土搅拌法相比较其他处理方法而言有很多优点:能够最大限度地利用原土;搅拌不会使地基土侧向挤出,所以对周围原有建筑物的影响很小;可以根据不同地基土及工程设计要求,合理选择固化剂及其配方,设计比较灵活;施工时无振动、无噪普、无污染,可在市区内和密集建筑群中进行施工;土体加固后重度基本不变,对软弱下卧层不致产生附加沉降;与钢筋混凝土桩基相比,节省了大量的钢材,并降低了造价;根据上部结构的需要,可灵活地采用柱状、壁状、格栅状和块状等加固型式。
2)加固原理
(1)加固机理
水泥搅拌桩的基本原理是基于水泥加固土的物理化学反应过程,首先将固化剂灌入需处理的软土地层内,并在灌注过程中上下搅拌均匀,使水泥与土发生水解和水化反应,生成水泥水化物并形成凝胶体,将土颗粒或小土团凝结在一起形成一种稳定的结构整体,从而形成水泥骨架作用,同时,水泥在水化过程中生成的钙离子与土颗粒表面的钠离子进行离子交换作用,生成稳定的钙离子,从而进一步提高土体的强度,达到提高其复合地基承载力的目的。水泥与软土拌合后,将发生如下物理化学反应:
①水泥的水解水化反应。减少了软土中的含水量,增加土粒间的粘结,水泥与土拌合后,水泥中的硅酸二钙、硅酸三钙、铝酸三钙以及铁铝四钙等矿物与土中水发生水解反应,在水中形成各种硅、铁、铝质的水溶胶,土中的CaSO4大量吸水,水解后形成针状结晶体。
②离子交换与团粒作用。水泥水解后,溶液中的Ca2+含量增加,与土粒发生阳离子交换作用,等当量置换出K+、Na+,形成软土大的土团粒和水泥土的团粒结构,使水泥土的强度大为提高。
③硬凝反应。阳离子交换后,过剩的Ca2+在碱性环境中与
、Al2O3发生化学反应,形成水稳性的结晶水化物,增大了水泥土的强度。
④碳化反应。水泥土中的Ca(OH)2与土中或水中CO2化合生成不溶于水的CaCO3,增加了水泥土的强度。
水泥与地基土拌合后经上述的化学反应形成坚硬桩体,同时桩间土也有少量的改善,从而构成桩与土复合地基,提高地基承载力,减少了地基的沉降。
(2)水泥搅拌桩的加固土物理力学特性
根据冶金研究院、天津市勘察院、铁四院及铁三院的试验研究,水泥加固土的主要物理力学特性如下:
①物理性质
重度:由于拌入土中的固化材料与孔隙中水的重度相差不大,搅拌中还产生部分土的挤出和隆起,且固化后固化材料本身存在孔隙,因此,在饱和的软土中加固土体的重度与天然土的饱和重度很接近,试验说明固化体重度仅增加3%~5%。但在非饱和的大孔隙土中,固化体的重度将较天然土的重度增加量要大一些,见表8-14。此外,固化料掺合量大时,固化体重度增加幅度也大。
含水量:水泥加固土含水量略低于原土的含水量,约减少3%~7%,对粉喷桩而言,干粉状水泥的加入使土的塑性状态随之变化,掺入比为7%~15%时,其塑性状态降低一个等级,即由流塑变为软塑,软塑变为可塑等;当掺入比大于15%时,塑性状态可以降低1~2个等级。
②化学性质
A.土的种类对水泥土强度的影响。不同成因软土对水泥的强度有较大的影响。
B.水泥掺入比对水泥土qu的影响。不同成因的不同类别地基土的不同水泥掺入比与水泥加固土无侧限抗压强度的关系:qu随土的水泥掺入比的增大而增大,当掺入比小于5%时,水泥土水化反应很弱,水泥土的强度比原状土增长较小,水泥掺入比宜大于10%,地基土的不同水泥土的强度随水泥掺入比的增加速率也不同,粉土的增长速度最大,淤泥质土最小。
C.水泥标号对水泥土的qu的影响。试验表明,水泥标号越高,水泥的早期强度增长速率越快,当水泥掺入比相同时,水泥标号每提高100号,水泥土的无侧阻抗压强度提高15%~30%。根据试验结果可以用325#水泥代替现在较常用的425#水泥作为加固材料,以加大水泥用量,更有利于水泥掺入的均匀性。
D.龄期的影响。根据室内试验,天津地区水泥加固土一般有以下关系:
qu(7)=(0.6~0.7)qu(28)=(0.4~0.47)qu(90)
qu(28)=(0.7~0.75)qu(90);qu(90)=(0.9~0.95)qu(180)
E.土中含水量的影响。在固化剂种类和掺入量相同的情况下,浆液喷搅时,土的天然含水量越低,加固土的强度就越高。由于土的种类及固化剂性质不尽相同,同时水泥掺入量也不相同。有的试验说明,水泥掺入量比较大时,强度随含水量增大而显著减少,当掺入比为32%时,土中含水量每减少10%,强度可增加66%。对粉喷桩,土中含水量对水泥土强度的影响不同于浆液搅拌,当土中含水量过低时,水泥水化不充分,水泥土强度反而降低。
F.施工工艺的影响。水泥土体强度在其他条件相同时,还与施工工艺有关。如同一种土中,固化剂掺入量相同,采用复搅的办法可明显提高桩体强度。
在含水量很小的松散填土中,搅拌时块状土不能破碎,造成桩体松散,采用注水后上下多次预搅,即可保证桩体强度。
在黏性很大的土中,可能出现搅拌头上形成土团,随搅拌头转动,搅拌不均,复搅也不能奏效,只有改变搅拌头的形式才是有效途径。
3)设计与计算
(1)水泥土桩复合地基的承载力计算
①单桩竖向承载力计算
单桩竖向承载力标准值可按下式计算,取其中较小值。
![]()
(8-42)
=qsUpL+αApqp
(8-43)
式中:fcuk——与搅拌桩桩身加固土配比相同的室内加固土试块(边长为70.7mm或50mm的立方体)的90d龄期无侧限抗压强度平均值;
η——强度折减系数,可取0.3~0.5;
Up——桩周边长;
L——桩长;
qp——桩端天然地基土的承载力标准值,可按《建筑地基基础设计规范》(GBJ7—89)第三章第二节的有关规定确定;
qs——桩周土平均容许摩阻力如表8-14;
α——桩端天然地基土的承载力折减系数,可取0.4~0.6。
表8-14 搅拌桩桩周土的容许摩阻力

式(8-42)中的加固土强度折减系数η是一个和工程经验以及拟建物性质密切相关的参数。工程经验包括施工队伍素质、施工质量、室内强度试验与实际加固强度比值以及对实际工程处理效果等的掌握情况。拟建工程性质包括拟建工程的工程地质条件、上部结构对地基的要求以及工程的重要性等,目前在设计中一般取η=0.35~0.50。如果施工队伍素质较好,施工质量很高,现场实际施工的搅拌桩加固强度与室内试验结果接近,以往实际工程处理效果优良,且工程地质条件简单,工程对地基沉降要求又不高时,可取高值,反之取低值。
式(8-43)中桩端土承载力折减系数α取值与施工时桩底部施工质量有关,特别是当桩端为较硬土层、桩较短时,取高值。如果桩底施工质量不好,搅拌桩没能真正支承在硬土层上,桩端地基承载力不能充分发挥,或桩较长时,取低值,目前设计中常取α=0.5。
为使单柱承载力的设计合理,设计时应使桩体强度与承载力相协调,即:
ηfcukAp≥qsUpL+αApqp
(8-44)
单桩承载力应通过现场载荷试验加以验证,或先施工试桩,据以确定单桩承载力,当桩体强度小于500kPa时,单桩承载力应通过现场载荷试验确定。式(8-44)表明当桩长超过一定长度,控制单桩承载力的主要指标为桩体强度,所以可采取有效方法提高桩体强度来提高搅拌桩竖向承载力,如加大上部喷灰量、桩体加芯技术等。
②复合地基承载力计算
水泥土复合地基承载力的计算,采用桩土分担荷载比的原理,按下式计算:
![]()
(8-45)
式中:fsp——复合地基的承载力标准值;
fk——桩间土天然地基承载力标准值;
m——面积置换率;
β——桩间土承载力折减系数,当桩端土为软土时可取0.5~1.0,当桩端土为硬土时可取0.1~0.4,当不考虑桩间软土作用时可取零。
其实,桩身强度对β也有影响。例如桩端是硬土,但桩身强度很低,桩身压缩变形很大,这时桩间土可承受较大荷载,β也可取大值,这样较为经济。总之,桩间土承载力折减系数的确定,是各种复合地基所遇到的一个复杂问题,上述规范提出的经验数据,在实际工程中通过原型或大荷载试验来测定是切合实际的,在重要的或规模很大的工程中应进行桩土分担比测试。
上述式中的天然地基承载力标准值的取值概念较模糊,从经济和安全角度综合考虑,建议按如下取值:一般而言,任何复合地基的桩间土的承载力不低于天然地基土的承载力。从安全储备上考虑,水泥土桩的土的承载力用天然地基土的承载力替代是适宜的,如主要加固区在基底,则取该层土的承载力标准值;如在基底一定深度以下,则取加固段内该层土以上承载力的加权平均值。
(2)水泥土复合地基的变形计算
水泥土复合地基的变形由复合土层的变形和桩端以下土层变形两部分组成。由于缺少系统的变形场测试资料,大多采用材料力学的推论或土力学的经验方法计算。
①复合土层的变形计算
群桩体的压缩变形S1可按下式计算:
![]()
(8-46)
式中:po——群桩体顶面处的平均压力;
poz——群桩体底面处的附加压力;
L——实际桩长;
Eps——复合土层压缩模量;
Eps=mEp+(1-m)Es
(8-47)
其中:Ep——搅拌桩的压缩模量,可取(100~200fcuk);
Es——桩间土的压缩模量。
大量的搅拌桩设计计算及实测结果表明,桩体的压缩变形量仅在10~30mm之间变化。因此,当荷载大、桩较长或桩体强度小时,取大值;反之,当荷载小、桩较短或桩身强度高时,可取小值。
②桩端以下土层的变形计算
将复合土层看作一层土,下部为若干层土,用分层总和法计算复合土层下影响深度内各层土的变形。具体按国家标准《建筑地基基础设计规范》的有关规定进行计算。在深厚的超软土中,当置换率较大时,如前述,复合土体呈现深基效应,此时,按刚性桩群桩桩底沉降计算方法较为稳妥。
8.3.3 高压喷射注浆法
1)概述
高压喷射注浆法是用高压水泥浆通过钻杆由水平方向的喷嘴喷出,形成喷射流,以此切割土体并与土拌合形成水泥土加固体的地基处理方法。利用钻机将带有喷嘴的注浆管钻进至土层预定深度后,以20~40MPa压力把浆液或水从喷嘴中喷射出来,形成喷射流冲击破坏土层。当能量大、速度快、脉动状的射流动压大于土层结构强度时,土颗粒便从土层中剥落下来。一部分细颗粒随浆液或水冒出地面,其余土粒在射流的冲击力、离心力和重力等的作用下与浆液搅拌混合,并按一定的浆土比例和质量大小有规律地重新排列。浆液凝固后,便在土层中形成一个固结体。高压喷射注浆法所形成的固结体的形态与高压喷射流的作用方向、移动轨迹和持续喷射时间有密切关系。一般分为旋转喷射(旋喷)、定向喷射(定喷)和摆动喷射(摆喷)三种。
高压喷射注浆法主要适用于处理淤泥、淤泥质土、流塑、软塑或可塑黏性土、粉土、砂土、黄土、素填土和碎石土等地基。对土中含有较多的大粒径块石、植物根茎或过多的有机质时,应根据现场试验确定其适用范围,对地下水流速度大、浆液无法凝固、永久冻土及对水泥有严重腐蚀性的地基不宜采用。其主要有以下几个特点:
(1)适用范围广。由于固结体的质量明显提高,它既可用于工程新建之前,又可用于竣工后的托换工程,可以不损坏建筑物的上部结构,且能使已有建(构)筑物在施工时不影响使用功能。
(2)施工简便。施工时只需在土层中钻一个孔径为50mm或300mm的小孔,便可在土中喷射成直径为0.4~4.0m的固结体,因而施工时能贴近已有建(构)筑物,成型灵活,既可在钻孔的全长范围形成柱型固结体,也可仅作其中一段。
(3)可控制固结体形状。在施工中可调整旋喷速度和提升速度,增减喷射压力或更换喷嘴孔径改变流量,使固结体形成工程设计所需要的形状。
(4)可垂直、倾斜和水平喷射。通常是在地面上进行垂直喷射注浆,但在隧道、矿山井巷工程、地下铁道等建设中亦可采用倾斜和水平喷射注浆。处理深度已达30m以上。
(5)耐久性较好。由于能得到稳定的加固效果并有较好的耐久性,所以可用于永久性工程。
(6)料源广阔。浆液以水泥为主体。在地下水流速快或含有腐蚀性元素、土的含水量大或固结体强度要求高的情况下,则可在水泥中掺入适量的外加剂,以达到速凝、高强、抗冻、耐蚀和浆液不沉淀等效果。
(7)设备简单。高压喷射注浆全套设备结构紧凑,体积小,机动性强,占地少,能在狭窄和低矮的空间施工。
2)加固机理
(1)高压喷射流对土体的破坏作用
破坏土体结构强度的最主要因素是喷射动压,根据动量定律,在空气中喷射时的破坏力为:
![]()
(8-48)
式中:P——破坏力[(kg·m)/s2];
ρ——密度(kg/m3);
vm——喷射流的平均速度(m/s);
A——喷嘴截面积(m2)。
亦即破坏力对于某一密度的液体而言,是与该射流的流量、流速的乘积成正比。而流量又为喷嘴截面积与流速的乘积。所以在一定的喷嘴面积的条件下,为了获得更大的破坏力,需要增加平均流速,也就是需要增加旋喷压力。一般要求高压脉冲泵的工作压力在20MPa以上,这样就使射流像刚体一样冲击破坏土体,使土与浆液搅拌混合,凝固成圆柱状的固结体。
喷射流在终期区域,能量衰减很大,不能直接冲击土体使土颗粒剥落,但能对有效射程的边界土产生挤压力,对四周土有压密作用,并使部分浆液进入土粒之间的空隙里,使固结体与四周土紧密相依,不产生脱离现象。
(2)水(浆)、气同轴喷射流对土的破坏作用
单射流虽然具有巨大的能量,但由于压力在土中急剧衰减,因此破坏土的有效射程较短,致使旋喷固结体的直径较小。

图8-15 喷射流轴上动水压力与距离的关系
当在喷嘴出口的高压水喷射流的周围加上圆筒状空气射流,进行水、气同轴喷射时,空气流使水或浆的高压喷射流从破坏的土体上将土粒迅速吹散,使高压喷射流的喷射破坏条件得到改善,阻力大大减少,能量消耗降低,因而增大了高压喷射流的破坏能力,形成旋喷固结体的直径较大。图8-15为不同类喷射流中动水压力与距离的关系,表明高速空气具有防止高速水射流动压急剧衰减作用。
旋喷时,高压喷射流在地基中将土体切削破坏。其加固范围就是喷射距离加上渗透部分或压缩部分的长度为半径的圆柱体。一部分细小的土粒被喷射的浆液所置换,随着液流被带到地面上(俗称冒浆),其余的土粒与浆液搅拌混合。在喷射动压力、离心力和重力的共同作用下,在横断面上土粒按质量大小有规律地排列起来,小颗粒在中部居多,大颗粒多数在外侧或边缘部分,形成了浆液主体搅拌混合、压缩和渗透等部分,经过一定时间便凝固成强度较高且渗透系数较小的固结体。随着土质的不同,横断面结构也多少有些不同。由于旋喷体不是等颗粒的单体结构,固结质量也不均匀,通常是中心部分强度低,边缘部分强度高。
定喷时,高压喷射注浆的喷嘴不旋转,只作水平的固定方向喷射,并逐渐向上提升,便在土中冲成一条沟槽,并把浆液灌进槽中,最后形成一个板状固结体。固结体在砂性土中有一部分渗透层,而在黏性土中却无这一部分渗透层。
在大砾石层中进行高压喷射注浆时,因射流不能将大砾石破碎和移位,只能绕行前进并充填其空隙。其机理接近于静压灌浆理论中的渗透灌浆机理。
在腐殖土中进行高压喷射注浆时,固结体的形状及其性质受植物纤维粗细长短、含水量高低及土颗粒多少影响很大。在含细短纤维不太多的腐殖土中喷射注浆时,纤维的影响很小,成桩机理与在黏性土中相同。在含粗长纤维不太多的腐殖土中喷射注浆时,射流仍能穿过纤维之间的空隙而形成预定形状的固结体;但在粗长纤维密集部位,射流受严重阻碍导致破坏力大为降低,固结体难以形成预定形状且强度受到显著的影响。
(3)水泥与土的固结机理
水泥和水拌合后,首先产生铝酸三钙水化物和氢氧化钙,它们可溶于水中,但溶解度不高,很快就达到饱和,这种化学反应连续不断地进行,就析出一种胶质物。这种胶质物体有一部分混在水中悬浮,后来就包围在水泥微粒的表面,形成一层胶凝薄膜。所生成的硅酸二钙水化物几乎不溶于水,只能以无定形体的胶质包围在水泥微粒的表层,另一部分渗入水中。由水泥各种成分所生成的胶凝膜,逐渐发展起来成为胶凝体,此时表现为水泥的初凝状态,开始有胶粘的性质。此后,水泥各成分在不缺水、不干涸的情况下继续不断地按上述水化程序发展、增强和扩大,从而产生下列现象:①胶凝体增大并吸收水分,使凝固加速,结合更密;②由于微晶(结核晶)的产生进而生出结晶体,结晶体与胶凝体相互包围渗透并达到一种稳定状态,这就是硬化的开始;③水化作用继续渗入到水泥微粒内部,使未水化部分再参加以上的化学反应,直到完全没有水分以及胶质凝固和结晶充盈为止,但无论水化时间持续多久,很难将水泥微粒内核全部水化完,所以水化过程是一个长久的过程。
3)设计与计算
(1)室内配方与现场喷射试验
为了解喷射注浆固结体的性质和浆液的合理配方,必须取现场各层土样,在室内按不同的含水量和配合比进行试验,优选出最合理的浆液配方。
对规模较大及较重要的工程,设计完成之后,要在现场进行试验,查明喷射固结体的直径和强度,验证设计的可靠性和安全度。
(2)设计程序
高压喷射注浆的设计程序如图8-16所示。

图8-16 高压喷射注浆的设计程序
(3)固结体尺寸
①固结体尺寸主要取决于下列因素:A.土的类别及其密实程度;B.高压喷射注浆方法(注浆管的类型);C.喷射技术参数(包括喷射压力与流量,喷嘴直径与个数,压缩空气的压力、流量与喷嘴间隙,注浆管的提升速度与旋转速度)。
②在无试验资料的情况下,对小型的或不太重要的工程,可根据经验选用。
③对于大型的或重要的工程,应通过现场喷射试验后开挖或钻孔采样确定。
(4)固结体强度
①固结体强度主要取决于下列因素:土质;喷射材料及水灰比;注浆管的类型和提升速度;单位时间的注浆量。
②固结体强度设计规定按28d强度计算。试验证明,在黏性土中,由于水泥水化物与黏土矿物继续发生作用,故28d后的强度将会继续增长,这种强度的增长可作为安全储备。
③注浆材料为水泥时,固结体抗压强度的初步设定可参考表8-15。
④对于大型的重要的工程,应通过现场喷射试验后采样测试来确定固结体的强度和渗透性等性质。
表8-15 固结体抗压强度

(5)承载力计算
竖向承载旋喷桩复合地基承载力特征值应通过现场复合地基载荷试验确定。初步设计时,可按下式估算:
![]()
(8-49)
式中:fspk——复合地基承载力特征值(kPa);
m——面积置换率;
Ra——单桩竖向承载力特征值(kN);
Ap——桩的截面积(m2);
β——桩间土承载力折减系数,可根据试验或类似土质条件工程经验确定,当无试验资料或经验时,可取0~0.5,承载力较低时取低值;
fsk——处理后桩间土承载力特征值(kPa)。
单桩竖向承载力特征值可通过现场单桩载荷试验确定。也可按以下两式估算,取其中较小值:
Ra=ηfcuAp
(8-50)
![]()
(8-51)
式中:fcu——与旋喷桩桩身水泥土配比相同的室内加固土试块(边长为70.7mm的立方体)在标准养护条件下28d龄期的立方体抗压强度平均值(kPa);
η——桩身强度折减系数,可取0.33;
n——桩长范围内所划分的土层数;
li——桩周第i层土的厚度(m);
qsi——桩周第i层土的侧阻力特征值(kPa),可按现行国家标准《建筑地基基础设计规范》(GB50007—2011)有关规定或地区经验确定;
qp——桩端地基土未经修正的承载力特征值(kPa),可按现行国家标准《建筑地基基础设计规范》(GB50007—2011)有关规定或地区经验确定。
(6)地基变形计算
旋喷桩复合地基的沉降计算应为桩长范围内复合土层以及下卧土层变形值之和,计算时应按国家标准《建筑地基基础设计规范》(GB50007—2011)有关规定进行计算。其中复合土层的压缩模量可按下式确定:
![]()
(8-52)
式中:Esp——旋喷桩复合土层压缩模量(kPa);
Es——桩间土的压缩模量,可用天然地基土的压缩模量代替(kPa);
Ae——加固单元面积(m2);
Ap——旋喷桩截面积(m2);
Ep——桩体的压缩模量,可采用测定混凝土割线模量的方法确定(kPa)。
由于旋喷桩迄今积累的沉降观测及分析资料很少,因此,复合地基变形计算的模式均以土力学和混凝土材料性质的有关理论为基础。
(7)防渗堵水设计
防渗堵水工程设计时,最好按双排或三排布孔形成帷幕,见图8-17。孔距为1.73R0(R0为旋喷桩设计半径),排距为1.5R0时最经济。

图8-17 布孔孔距和旋喷注浆固结体交联图
定喷和摆喷是一种常用的防渗堵水的方法,由于喷射出的板墙薄而长,不但成本较旋喷低,而且整体连续性也很好。
(8)浆量计算
浆量计算有两种方法,即体积法和喷量法,取其大者作为设计喷射浆量。
①体积法
![]()
(8-53)
②喷量法
以单位时间喷射的浆量及喷射持续时间计算出浆量,计算公式为:
![]()
(8-54)
式中:Q——需要用的浆量(m3);
De——旋喷体直径(m);
D0——注浆管直径(m);
K1——填充率(0.75~0.9);
h1——旋喷长度(m);
K2——未旋喷范围土的填充率(0.5~0.75);
h2——未旋喷长度(m);
β——损失系数(0.1~0.2);
v——提升速度(m/min);
H——喷射长度(m);
q——单位时间喷浆量(m3/min)。
根据计算所需的喷浆量和设计的水灰比,即可确定水泥的使用数量。
(9)浆液材料与配方
根据喷射工艺要求,浆液应具备以下特性:
①良好的可喷性。目前,国内基本上采用以水泥浆为主剂,掺入少量外加剂的喷射方法。水灰比一般采用1∶1到1.5∶1就能保证较好的喷射效果。浆液的可喷性可用流动度或黏度来评定。
②足够的稳定性。浆液的稳定性好坏直接影响到固结体质量。以水泥浆液为例,其稳定性好系指浆液在初凝前析水率小,水泥的沉降速度慢、分散性好以及浆液混合后经高压喷射而不改变其物理化学性质。掺入少量外加剂能明显地提高浆液的稳定性。常用的外加剂有膨润土、纯碱、三乙醇胺等。浆液的稳定性可用浆液的析水率来评定。
③气泡少。若浆液带有大量的气泡,则固结体硬化后就会有许多气孔,从而降低喷射固结体的密度,导致固结体强度及抗渗性能降低。为了尽量减少浆液气泡,应选择非加气型的外加剂,不能采用起泡剂,比较理想的外加剂是代号为NNO的外加剂。
④调剂浆液的胶凝时间。胶凝时间是指从浆液开始配制起,到土体混合后逐渐失去其流动性为止的这段时间。胶凝时间由浆液的配方、外加剂的掺量、水灰比和外界温度确定。一般从几分钟到几小时,可根据施工工艺及注浆设备来选择合适的胶凝时间。
⑤良好的力学性能。影响抗压强度的因素很多,如材料的品种、浆液的浓度、配比和外加剂等。
⑥无毒、无臭。浆液对环境不污染及对人体无害,凝胶体为不溶和非易燃、易爆物。浆液对注浆设备、管路无腐蚀性并容易清洗。
⑦结石率高。固化后的固结体有一定粘结性,能牢固地与土粒相粘结。要求固结体耐久性好,能长期耐酸、碱、盐及生物细菌等腐蚀,并且不受温度、湿度的变化而变化。
8.3.4 水泥搅拌桩地基处理设计
1)建筑条件
某七层框架结构建筑物,采用钢筋混凝土条形基础,基础埋深d=1.9m,基础宽度b=3.8m。采用深层搅拌桩处理地基,要求处理后复合地基承载力特征值fspk=150kPa,取桩身水泥土强度fcu=1.8MPa,基底平均压力p0=164.4kPa,地下水位0.9m。
2)土质条件
表8-16 各土层土质参数表

3)设计计算
(1)确定复合地基承载力特征值fsp
基础地面以上土的加权平均重度
![]()
基础埋深承载力修正系数ηd=1.0
![]()
(2)确定桩径d,桩长l,褥垫层厚度d′
取褥垫层厚度d′=300mm,桩径d=500mm,桩长l=10.0m,桩端落在土层⑤上。
(3)确定单桩承载力Ra
①按Ra=ηfcuAp确定
查表,水泥土搅拌桩(湿法)桩身强度折减系数η=0.25~0.33,取η=0.30,则Ra=0.30×3600×3.14×0.252=212kN。
②按桩端、桩侧摩阻力计算,由公式
确定
A.确定总桩侧阻力值Rs
土层③:黏土IL=0.53,可塑状态黏土qs=12~18kPa,取qs=15kPa
Rs=upqsl=2×3.14×0.25×15×10=235.5kN
B.确定总桩端阻力值Rp
取桩端阻力折减系数α=0.5
Rp=αqpAp=0.5×110×3.14×0.252=10.8kN
Ra=Rs+Rp=235.5+10.8=246.3kN
C.确定Ra
所以按Ra=212.0kN进行设计。

图8-18 水泥土搅拌桩桩位布置平面图(1∶100)
(4)确定桩土面积置换率m
取桩间土承载力折减系数β=0.3
由公式![]()
可得:

=0.114
按m=0.12布桩。
(5)桩位布置
桩距
=1.3,条形基础沿长度方向每1.3m需要布桩数量
。
4)持力层承载力验算
将基础和桩端范围内的搅拌桩和桩间土视为由复合土层组成的假想的实体基础。
搅拌桩桩体的压缩模量Ep=(100~200)fcu。
取 Esp=mEp+(1-m)Es=0.12×180×3.6+(1-0.12)×4.73=81.1MPa
则 Es1/Es2=Esp/Es2=81.1/10.7=7.6,h/b=3.1/3.8=0.8
查表,确定地基压力扩散角θ=25°。
基础底面处土的自重应力
![]()
桩端处的附加压力值
![]()
桩端以上土的自重压力值
![]()
(17.7-10)×3.7+(19.1-10)×5.4+(19.2-10)×0.9=114.1kPa
桩端以上土的平均重度
![]()
桩端处经深度修正后的地基承载力特征值
fz =fak+ηdγ0(d-0.5)=100+1.0×9.35×(1.4+0.8+3.7+5.4+0.9-0.5)
=209.4kPa
所以pz+pcz=51.8+114.1=165.9kPa<fz=209.4kPa
因此,桩端持力层承载力满足要求。
5)沉降计算
水泥土搅拌桩复合地基的变形由复合土层的变形s1和桩端以下未加固土层的变形s2两部分组成,即s=s1+s2。
(1)复合土层的变形s1计算
在加固区底面的附加压力pzl作用下,下卧层强度验算的应力扩散法中,复合土层顶面的附加压力值pz=p0-pc=164.4-13.4=151kPa
因此
![]()
(2)桩端以下未加固土层的变形s2计算
依《建筑地基基础设计规范》(GB50007—2011)第5.3.7条规定,地基变形计算深度Zn=b(2.5-0.4lnb)=3.8×(2.5-0.4×ln3.8)=7.47m。
计算至土层⑤底部,则Zn=13.1m,满足要求。
取沉降计算系数ψs=0.7,由Zn/b=13.1/3.8=3.4
查得附加应力α=0.116
则![]()
因此水泥土搅拌桩复合地基的总沉降s=s1+s2=2.0+4.2=6.2mm
《建筑地基基础设计规范》(GB50007—2011),表5.3.4规定地基变形允许值[s]=0.002l=0.002×7200=14.4>s=6.2mm,其中l为相邻柱基的中心距离,本工程l=7.2m。所以,复合地基变形计算符合要求。
8.4 特殊条件下地基处理技术
8.4.1 冷冻法处理
冷冻法地基处理即在地面上打设一定数目的冻结孔并下放冻结管,利用冷冻机将一定配比的盐水溶液降温,然后通过盐水泵将低温送入冻结管内,流动的低温盐水将地热带出地面,再经过冷冻机组进入冻结管内,如此不断循环进行热交换便会形成以冻结管为中心的冻土圆柱,冻土圆柱不断扩展直至与相邻冻结圆柱搭接,最终受冻土体就成为具有一定强度和厚度的冻土墙或冻土帷幕,达到土体加固的目的。
1)冷冻法的技术难点
土体冻结有时会出现冻胀现象,土体融化时会出现融沉现象。其原因是水结冰时体积要增大9%,并有水迁移现象。但像砂土这样的冻水地层,一般不会出现冻胀现象。冻胀现象出现在黏性土质的冻结过程中。冻结过程中土体的孔隙率和含水量的变化会导致土体渗透性变化。这种变化可能会造成地基土层的不均匀沉降,引起结构物的破坏。城市区域高层建筑林立,地面设施众多,地下管线密布。因此,冻胀、融沉引起地表移动造成的环境影响问题关系重大,应予以严格控制。
2)冷冻法的社会效益
冷冻法不受地表场地及深度限制,且不污染环境,为城市地下建设,特别是繁华市区内工程建设提供了新的施工方法。而且其工艺先进,安全可靠,经济合理,文明施工程度高,在我国大力发展城市建设之际,冷冻法施工技术具有良好的发展前景。该技术得到一致好评,具有良好的经济、社会效益,具有较高的推广、研究和运用价值。
8.4.2 建筑物纠偏技术
在建筑工程中,某些建筑物经常不可避免地建在承载力低、土层厚度变化大的较软弱地基上,或因地基局部浸水湿陷,或因建筑物荷载偏心等因素,往往造成建筑物或工业设备基础过大的沉降或不均匀沉降。此外,对大面积堆料的厂房,还会引起桩基础倾斜和吊车卡轨等现象。通常的处理方法有加大基础、加固地基、凿开基础矫正柱子、基础加压、基础减压等方法。近年来,我国在基础纠偏工程中创造出一些新的方法,实践证明,方法简便、效果良好。以下简要介绍顶桩掏土法和排土纠偏法。
1)建筑物倾斜的主要原因
导致建筑物产生过大不均匀沉降的主要原因如下:
(1)对建筑场地工程地质情况了解不全面。产生建筑物倾斜过大的工程事故多数是设计人员对建筑物地质情况了解不全面造成的。例如,岩土工程勘察报告未能提供古河道、古井、古墓等的存在,以及未能准确提供软弱土层分布情况。而这大多数是由客观原因造成的,勘察孔分布密度未能满足地基土层变形情况要求,但这也有的是岩土工程勘察不合格造成的。
(2)设计方面的原因。除了对地基土层情况不明造成设计不到位,也存在设计人员对非均质地基上建筑物地基设计经验不足造成的工程事故。对地基土层分布不均匀,特别是存在古河道以及建筑物上部荷载分布不均匀等情况,设计人员未作特殊处理是产生不均匀沉降的主要原因。有的设计人员对软土地基上的建筑物设计只重视地基承载力的验算,不重视或忽略控制沉降,这也是造成工程质量事故的原因。
(3)施工方面的原因。有些建筑物产生过大变形倾斜是施工质量未能满足要求造成的。近年来,施工质量方面原因造成工程事故的比例有增多的趋势。
建筑物纠偏是一项技术难度较大的工作,需要对已有建筑物的结构、基础和地基,以及相邻建筑物做详细的了解,需要岩土工程、结构工程以及工程施工的知识,需要岩土工程和结构工程等专业技术人员的合作。纠偏技术人员应该具有较强的综合分析能力。建筑物纠偏过程中应力和位移的调整过程,不能过于求成,只能慢慢进行。因为纠偏过大也有可能造成建筑物另一侧的倾斜,对建筑物的整体有影响。
纠偏过程是为移动的调整过程,纠偏工作计划往往根据建筑物倾斜变化的情况不断调整,因此现场监测具有非常重要的意义。现场监测成果不仅利于对前段纠偏效果进行分析,而且可为下阶段纠偏工作提供依据。精密水准测量是重要的监测手段,如需要还可进行建筑物倾斜度测量、地基土水平位移以及结构应力测量等。
2)考虑建筑物纠偏的条件
当建筑物发生以下情况时,一般考虑纠偏:①倾斜已造成建筑物结构性损坏或者明显影响建筑物的功能;②倾斜已经超过国家或地方颁布的危房标准值;③倾斜已经明显地影响人们的心理和情绪。
如果建筑物的地基变形在持续发展,则需要同时考虑地基加固,阻止建筑物的继续沉降。应该根据建筑物的结构形式和功能要求、地基与基础的情况、环境和施工条件选择合适的纠偏方法。一般有顶桩掏土法、排土纠偏法以及综合处理等纠偏方式。
3)纠偏工作的一般程序
①搜集有关资料,包括建筑物的设计和施工文件、工程地质资料、建筑物的沉降、倾斜和裂缝观测资料等;②分析建筑物倾斜的原因、危害程度、发展趋势,确定对建筑物实施纠偏的必要性和可行性;③确定合适的纠偏方法和纠偏目标;④制定详细的纠偏方案,要求安全可靠、技术可行、不影响环境、总费用较低,纠偏方案中应该明确规定监测的内容和要求;⑤组织纠偏施工。在纠偏前应对纠偏建筑物及周围环境做一次认真的观测并做好记录,一方面用作纠偏施工控制的参考,另一方面,一旦发生纠纷,可作为法律依据;⑥做好纠偏结束以后的善后工作,同时继续进行定期监测,观测纠偏的效果和稳定性,如有变化,应采取补救措施。
4)纠偏工作的要点
①确定纠偏目标;②控制纠偏速率;③考虑微调过程;④把握监测工作频率;⑤做好防护工作;⑥防止建筑物回倾;⑦选用专业施工队伍。
5)建筑物纠偏的方法
倾斜建筑物的纠偏方法主要分为两大类:一类对沉降少的一侧促沉;另一类对沉降多的一侧顶升。促沉纠偏又可分为掏土促沉、加载促沉、降低地下水位促沉、湿陷性黄土地基浸水促沉、砍桩促沉和应力释放促沉等;顶升纠偏又可分为机械顶升、灌浆顶升等。常用的纠偏方法及其特点见表8-17。
表8-17 常用的纠偏方法分类

续表8-17

(1)顶桩掏土法
该法是将锚杆静压桩和水平向掏土技术相结合。其工作原理是先在建筑物基础沉降多的一侧压桩,并立即将桩与基础锚固在一起,迅速制止建筑物的下沉,然后在沉降少的一侧基底下掏土,以减少基底受力面积,增加基底压力,从而增大该处土中应力,使建筑物缓慢而又均匀地下沉,产生回倾,必要时可在掏土一侧设置少量保护桩,以提高回倾的稳定性,最后达到纠偏矫正的目的。而施工过程中必须加强建筑物沉降和裂纹的观测。
(2)排土纠偏法
排土纠偏法的形式有多种,现在介绍以下几种:
①抽砂纠偏法。为了纠正建筑物在使用期间可能出现的不均匀沉降,在建筑物基底顶先做一层0.7~1m厚的砂垫层,在预估沉降量较小的部位,每隔一定距离预留砂孔一个。当建筑物出现不均匀沉降时,可在沉降量较小的部位,用铁管在预留孔中取出一定数量的砂体,从而使建筑物强迫下沉,达到沉降均匀的目的。
当建筑物出现不均匀沉降时,可在沉降量较小的部位,用铁管在预留孔中取出一定数量的砂体,若取砂孔四周的砂体未能在自重下挤出孔洞,则应在砂孔中冲水,促使孔周围的砂体下陷,从而使建筑物强迫下沉,达到沉降均匀的目的。
施工中要严格控制取出砂的体积和取砂孔冲水以强迫基础的下沉时,可单排冲水,每孔的冲水量不宜过多,水压不宜过大,一般以取砂孔能自行被砂填满为限。取砂的深度也不宜过大,至少应小于垫层厚度的10cm,以免扰动砂垫层下面的地基土。为谨慎计,取砂可分阶段进行,每阶段沉降为2cm,待下沉稳定后再进行阶段的取砂。
②钻孔取土纠偏法。软黏土地基上的建筑物发生倾斜时,用钻孔取土法纠正能收到良好的效果。
软黏土的特性是强度低而变形大,如果控制加荷速率,可以使地基逐步固结而提高承载力和减小变形量。如果加荷速率过大,有可能使地基土进入不排水状态,从而产生较大的塑性变形使基底土侧向挤出。这不但增大了地基变形,有时甚至导致整个地基剪切破坏。钻孔取土纠偏法就是利用软土中应力变化后产生侧向挤出这个特性来调整变形和纠偏倾斜。
当基础一侧出现较大沉降而倾斜时,就在沉降小的一侧基础周围钻孔,孔位距基础边缘30cm左右,钻孔中心距约10cm,钻孔深度达到软黏土层。为了防止连续钻孔后可能使钻孔被挤塌以及便于钻孔的操作,在基础底面以上设内径76mm、长约1m的套管。钻好孔后再在孔中掏土,使此侧软土地基有可能产生侧向挤出而产生较大的下沉,达到纠偏的目的。
为了加速倾斜的调整过程,还可在基础下沉较小一侧的基础上逐级增加偏心荷载,使该处地基中附加应力增大,加速软黏土的侧向变形和挤出,以达到纠偏的目的。
当黏性土地基上的建筑物发生倾斜时,用钻孔取土法纠正能收到良好的效果。其方法是利用软土中应力变化后将产生侧向挤出这一特征来调整变形和纠正倾斜。
当基础一侧出现较大沉降而倾斜时,在沉降小的一侧基础周围钻孔,然后再在孔中掏土,使此侧软土地基土有可能产生侧向挤出而产生较大下沉,达到纠偏的目的。
为了加速倾斜的调整过程,还可在基础下沉较小一侧的基础上逐级增加偏心荷载,该处地基中附加应力增大,加速软黏土的侧向变形和挤出。
③调整上部纠偏法。调整上部纠偏法是指当原有结构的受力状态很不合理而造成倾斜,通过对上部结构采取某些结构措施,使其受力状态得到改善,传到地基中的附加应力分布均匀,建筑物沉降反向调整,从而达到纠偏目的的方法。

图8-19 外筑加固法示意图

图8-20 新老砌体的一种连接方法
有人把建筑物外侧砌筑附加结构或者增设支撑系统的结构调整法称为外筑加固法(见图8-19),要求外筑部分有坚实的基础,新老砌体间有可靠的连接,充分估计新老基础可能产生的沉降差异,并采取一定的预防措施。图8-20是新老砌体的一种连接方式,支撑系统必须与房屋的钢筋混凝土梁柱有可靠的连接。
8.4.3 托换技术
托换法指为了解决对原有建筑物的地基需要处理、基础需要加固或改建的问题,以及对原有建筑物基础下需要修建地下工程以及邻近建造新工程而影响到原有建筑物的安全问题的技术总称。
在进行托换施工时,应加强施工监测和竣工后的沉降观测,并做好施工记录。
按照托换工程的目的,托换技术可分为以下三类:
(1)补救性托换。例如,原有建筑物基础下地基不满足地基承载力和变形要求时,需将原有基础加深至比较好的持力层上;若较好的土层埋藏较深,地下水位高等原因,也可采用扩大原有基础底面积以减小基底压力,或地基进行加固,提高其承载力,减少地基变形等均属补救性托换。在房屋增层工程上,也常采用这种托换技术。我国在20世纪50年代和60年代间,各地建造的住宅基本上是三层至四层,目前这些建筑物的上部结构和地基基础绝大多数仍然完好无损。为了节约用地和减小基建投资并达到改善居住条件的目的,许多城市采用了旧房加层改造方法,使二三层房屋增至四五层,国外也有增至七八层的,图8-21及图8-22就是这种托换形式。
(2)预防性托换。例如,原有建筑物的地基已经满足承载力和变形的要求,但由于原有建筑邻近地段要修建较深的新建建筑物基础,包括深基坑的开挖和隧道穿越已有建筑物等,因而需将原有建筑物基础进行加固,或对其地基进行加固,有时在已有建筑物基础侧面修筑比较深的板墙、网状机构树桩或地下连续墙等,用以维护建筑物的地基和基础不受到挠动与破坏,故又称侧向托换。

图8-21 补救性托换(基础加深)

图8-22 补救性托换(基础加宽)
(3)维持性托换。在某些情况下,就考虑到以后基础可能出现差异沉降,在设计时就预留将来需要顶升基础安放千斤顶所需的净空等。例如,目前国内在软黏土地基上建造油罐时,就常在环形基础中预留以后可埋设千斤顶的净空,即属这种托换方式。
托换技术的起源可追溯到古代,但是直到20世纪30年代,兴建美国纽约市的地下铁道时才得到迅速发展。近年来,世界上大型和深埋的结构物和地下铁道的大量施工,尤其是古建筑物还需要进行改建、加层和加大使用荷载时,都需要采用托换技术,因而托换技术也有了飞跃的发展。尤其是德国,自20世纪40年代后期,在许多城市的扩建和改造技术,如基础加压纠偏法、锚杆静压法、基础减压和增加刚度法都有很大的创新特色。
托换技术是一种建筑技术难度较大、费用较高、责任心强的特殊施工方法,因为它可能危及生命和财产的安全,并需要应用各种地基处理技术,同时需要善于巧妙和灵活地综合选用这些技术。
1)桩式托换
桩式托换用于软弱黏性土、松散砂土、饱和黄土、素填土和杂填土等地基。
桩式托换可分为坑式静压桩托换、锚杆静压桩托换、灌注桩托换和树根桩托换等。
(1)坑式静压桩托换
坑式静压桩托换适用于对条形基础的托换加固。其桩身直径为15~25cm的预制钢筋混凝土方桩。每节桩长由托换坑的净高和千斤顶形成确定。
施工时先贴近托换加固建筑物的外侧或内侧开挖一个竖坑,并在基础底面下开挖一个横向导坑。在导坑内放入第一节桩,并安置千斤顶及测力传感器,驱动千斤顶压桩。每压入一节后,采用硫黄胶泥进行接桩。到达设计深度后,拆除千斤顶。对钢管桩,根据工程要求可在管内填入混凝土,并用混凝土将柱与原有基础浇筑成整体。
(2)锚杆静压桩托换
锚杆式静压桩的工作原理是利用建筑物自重,先在基础上埋设锚杆,借助锚杆反力,通过反力架用千斤顶预制好的桩逐节经基础开槽出来的桩孔压入至设计土层。当桩压力达到1.5倍的设计荷载时,将桩与基础用微膨胀混凝土封住,当混凝土达到设计强度后,该桩便能承受上部结构荷载,并能阻止建筑物的不均匀沉降。
锚杆式静压桩的优点是施工时无振动、无噪音、设备简单、质量轻、造价低、操作方便、移动灵活等,可在场地和空间狭窄的条件下施工。
锚杆式静压桩托换法适用于既有建筑物和新建建筑物的地基处理和基础加固。锚杆式静压桩托换时采用C30的200mm×200mm或300mm×300mm预制钢筋混凝土桩,每节长1~3m。压桩时,千斤顶所产生的反力通过埋在基础上的锚杆和反力架传递给基础。当需要对桩施加预应力时,应在不卸载条件下立即将桩与基础锚固,在封桩混凝土达到设计强度后才能拆除压力架和千斤顶。当不需要对桩施加预应力时,在达到设计深度和压桩力后,即可拆除桩架,并进行封桩处理。
锚杆式静压桩施工的次序和注意事项:
①桩位孔和锚杆孔的开凿。孔洞不宜过大,但最好是下大上小,利于基础受冲减,不宜将全部孔凿压完后再压桩,而是采用流水作业以保证托换过程中地基基础有足够的安全度。
②安装锚杆静压桩反力装置。抗拔锚杆是用环氧砂浆做粘结剂,将锚杆埋设在已钻好孔的钢筋混凝土基础中,锚杆埋深是10倍的锚杆直径。锚杆可用光面直杆,端部加焊钢筋箍,也可用螺旋锚杆,以抗拔锚杆为支柱,安装反力架、电动葫芦、千斤顶等压桩设备。
③压桩和接桩。压桩施工应对称进行,以防止基础受力不均匀。压桩不宜中途停止,若停歇时间过长,会使桩圈一定范围内重塑区内原增大的孔隙水压力逐渐消散,土的抗剪强度逐渐增高,从而增大桩的侧向阻力。
④桩与基础锚固。当压桩力达到1.5倍设计承载力后,在不卸荷的条件下,立即将桩与基础用强度等级为C30的微膨胀早强混凝土灌在一起,不使桩因卸载而有回弹的余地,并促使桩下及桩周一定范围的土中形成预压力泡,可使基础有微量回弹,从而减小基底压力,减少了地基沉降。工程实践证明,凡施加预加应力的桩基础几乎没有沉降。
(3)灌注桩托换
对于具有沉桩设备所需净空条件的既有建筑物的托换加固,可采用灌注桩托换。
各种灌注桩的试用条件宜按下述固定进行:①螺旋钻孔灌注桩适用于均质黏性土地基和地下水位较低的地质条件;②潜水钻孔灌注桩适用于黏性土、淤泥和砂土地基;③人工挖孔灌注桩适用于地下水位以上或透水性小的地层,当孔壁不能直立时,应加设砖砌护壁或混凝土护壁防塌孔。
灌注桩施工完毕后,应在桩顶用现浇梁等支撑建筑物的柱或墙。
(4)树根桩托换
树根桩是一种小直径就地灌注的钢筋混凝土桩。由于成桩方向可竖可斜,犹如在基础下生出若干树根而得名。树根桩适用于既有建筑物的修复和加层,古建筑整修、地下铁道穿越、桥梁工程等各类地基处理和基础加固,以及增强边坡稳定等。
树根桩穿过既有建筑物基础时,将主钢筋和树根桩主筋焊接,并应将基础顶面上的混凝土凿毛,浇筑一层大于原基础强度的混凝土。采用斜向树根桩时,应采取防止钢筋笼端部插入孔壁土体中的措施。
(5)压入桩托换
①顶承静压桩。顶承静压桩是利用建筑物上部结构自重作支撑反力,采用普通千斤顶,将桩分节压入土中。施工时基础一侧开挖导坑,导坑逐步扩展到基础下面,再在基础底面挖开一个缺口,在缺口中垂直放进第一节带桩尖的钢管,桩顶放一块钢板,钢板上安装液压千斤顶,千斤顶上装压力传感器,传感器上垫钢板顶住基础,用千斤顶加压使桩压入土中,接桩用电焊,从压力传感器上可观测到桩贯入到设计图层时的阻力,当桩所承受的荷载已超过设计单桩承载力150%时就可停止加荷。在按设计需要进行压桩托换的其他部位,先后将桩压入设计土层。在认为危险已经排除的情况下,交错取出千斤顶,并向管内浇灌混凝土,压实后再将基础上所挖缺口填平,并在基础下支模浇筑混凝土,使桩和基础浇筑成整体,如图8-23所示。

图8-23 顶承静压桩示意图

图8-24 预试桩托换示意图
②预试桩托换。预试桩托换和顶承式静压桩托换的施工方法基本相同,其主要特点是,当桩管至顶进深度后,用两个并排设置的千斤顶放在基础底和钢管顶之间,两个千斤顶之间要有足够的空间,以便将来安放楔紧的工字钢桩。用千斤顶对桩顶加荷至设计荷载的150%为止,在荷载保持不变的情况下,1小时内桩的沉降不再增加时即认为已下沉稳定。然后,取一段工字型钢竖放在两个千斤顶之间,再用锤打紧钢楔。经验证明,只要转移约10%的荷载,就可有效地对桩进行预压,从而阻止了千斤顶预压后桩的回弹,然后取出千斤顶,采用干填法或在压力不大的条件下将混凝土灌注到基础底面。将桩顶和工字型钢用混凝土包起来,施工即告完成。这种楔固方法使用作用在桩顶上的全部荷载阻止桩体回弹和随后的沉降。这是此法比顶承式静压桩的优越之处。预试桩托换是1917年美国在纽约修建地下铁道时发明的,它适用于地下水位较高的地质条件,不适于在填石地基及有障碍的地基中压桩,如图8-24所示。
③自承式静压桩。自承式静压桩是利用静压机械加配重作为反力,通过油压系统,将预制桩分节压入土中,桩身接头采用硫黄砂浆连接。
2)灌注托换法
灌浆托换是利用气压或液压将各种无机或有机化学浆液注入土中,使地基土固化,起到提高地基土的强度、消除湿陷性或防渗堵漏作用的一种加固方法。在各类土木工程中进行砂浆处理已有百余年历史。
灌浆材料有粒状浆材如水泥浆、黏土浆等,以及化学浆材如硅酸钠、氢氧化钠、环氧树脂等。灌浆托换属于原位处理,施工较为简便,能快速硬化,加固体强度高,一般情况下可以实现不停产加固。但是,灌浆托换因浆材价格多数较高,通常仅限于浅层加固处理,加固深度常为3~5m。当加固深度超过5m时往往是不经济的,应与其他托换方法进行技术经济比较后再决定是否采用。如图8-25所示。

图8-25 灌注桩托换
灌注桩托换的施工过程是:①成孔,成孔一般采用螺旋钻孔桩、潜水钻钻孔、沉管后再挖出管中的土的方法以及人工挖孔等;②清除孔内沉渣;③在孔内下钢筋笼;④灌注混凝土;⑤桩身混凝土达到龄期后,将桩顶不密实的混凝土凿除,再与承台或者托梁连接,承台或托梁即可支承被托换的上部结构,其荷载的传递是靠楔或千斤顶来转移的。
建筑工程中用于基础托换的灌浆法主要有硅化加固法、水泥硅化法、碱液加固法。
(1)硅化加固法
硅化加固法始于1887年,是一种比较古老的灌浆工艺。它是利用带有孔眼的注浆管将硅酸钠溶液与氯化钙溶液分别轮换注入土中,使土体固化的一种化学加固法。采用双液硅化时,应根据地下水流速按下列规定灌注:①当地下水流小于1m/d时,先向每个加固层中自上而下灌注水玻璃,然后自下而上灌注氯化钙溶液;②当地下水流小于3m/d时,轮流将水玻璃和氯化钙溶液注入加固层中;③当地下水流大于3m/d时,首先在所选定的深度内将水玻璃和氯化钙同时灌入,以减少地下水流速,然后再轮流将水玻璃和氯化钙溶液分别注入。
灌注厚度一般不大于0.5m,一次灌注不能完成者进行多层灌注,层次的厚度与工程要求和地基土的空隙大小有关,同时受注浆管长度的限制,灌注前应通过试验确定。
注浆压力一般与处理深度处的覆盖压力、建筑物的荷载、浆液黏度、灌注速度和灌浆量等因素有关。注浆过程中压力是变化的,起始压力小,最终压力高。
(2)水泥硅化法
水泥硅化法是将水玻璃与水泥分别配成两种浆液,按照一定比例用两台泵或一台双缸独立分开的泵将两种浆液同时注入土中。这种浆液不仅具备水泥浆的优点,而且还兼有某些化学浆液的优点,例如凝结时间快、可灌性高等,可以准确控制凝结时间。
(3)碱液加固法
已有的化学加固方法都是将化学溶液灌入土中后,由溶液本身析出胶凝物质将分散的土颗粒胶结而使土得到加固,例如上述硅化加固法及其他高分子有机溶液加固都是这种原理。但是,碱液加固的原理不同于上述方法,它本身并不能析出任何胶凝物质,而是使土颗粒表面活化,然后再接触彼此胶结成整体,从而提高土的强度。
碱液在常温下加固反应缓慢,一般加固3天土体才能获得强度,温度越高,早期土体强度越大,因此碱液加固土体强度的分布是不均匀的。在注浆管下端浆液出口处,由于浆液温度高,受热时间长,因而土体强度高,从上到下,由近至远,浆液温度逐渐降低,土体强度也随之降低。当细颗粒含量较多时,由于土颗粒的比表面积大,化学反应可充分发生,则加固土体强度相应较高。经碱液加固处理后,土体水稳定性大大改善,湿陷性可完全消除,压缩性也相应降低。
3)综合托换
由于城市建设的发展,除各类建筑物不断增加外,地下铁道、地下商场、大型通风管沟以及电缆地沟等构筑物也日趋增多,而且往往穿越部分原有建筑,有时还会穿越一些重要的有历史价值的建筑物。为使这些建筑物相邻地下工程施工期间能正常使用或者尽量减少损坏,就需要对原有建筑物基础进行托换。在一个建筑物的托换过程中,往往需要多种方法进行综合使用,这就无论在规模上还是在技术难度上都远远超过一般托换工程。尤其在地下修建地下铁道时,为了防止对相邻建筑物及交通的影响,其托换技术往往具有大型、综合的特点。
8.4.4 建筑物移位技术
随着国民经济的快速发展,我国各大城市的地下工程活动日益增多,各种城市地下工程活动会使建筑物基础、道路路基和路面、立体交通枢纽各类地下管线等市政设施产生各种位移,如建筑物的沉降和不均匀沉降、建筑物的水平位移等,这些移位不同程度地影响甚至危害了建筑物的使用功能和安全。建筑物产生各种移位有如下几个方面的原因:①各种建筑物的基础在设计和施工方面有缺陷或不完善。建筑物的设计偏重于非对称的美学艺术,造成建筑物的不匀称;上部结构对地基施加的荷载作用不均匀,甚至差异较大;结构重心与荷载中心偏离;沉降缝布置欠妥等因素造成建筑物倾斜。②地基勘察和勘探点布置不全面或者勘探点深度不够。对大型高层建筑有的仅做了建筑物本身的地基勘察,未做区域性地质调查,地下情况不明就提出地质勘察报告。③地基内土层不均匀,填土层厚薄或松密不一;设计人员对各层岩土的类型、结构、厚度、坡度未加分析研究就采用一些不合理的勘察参数,导致基础设计错误;有的拟建场地内有未勘察明细的沟谷等不良工程地质现象,造成先天性缺陷。
从力学角度看,使建筑物产生各种移位的主要原因包括:①土体的应力、应变状态的变化;②土体的含水量和孔隙比的变化;③土体颗粒骨架的黏弹性变形,即土的流失;④土体的结构破坏;⑤土体的化学成分变化等。
1)地下机构移位控制的方法
地下构筑物移位的控制技术包括构筑物的地基加固、纠倾及迁移等。当建筑物沉降或沉降差过大,影响构筑物正常使用时,有时在进行加固后尚需进行移位控制。具体来说就是要对构筑物的纠倾和顶升。所谓纠倾是将偏斜的建筑物纠正,纠倾的途径有两种:一种途径是将沉降小的部位促沉,使沉降均匀而将建筑物的偏斜纠正;另一途径是沉降大的部位顶升,将建筑物纠偏纠正。顶升法有时也用于虽无不均匀沉降但沉降量过大的建筑物,通过顶升使之提高到一定高度。促沉纠倾有两类:一类是通过加载来使地基变形达到促沉纠倾的目的;另一类是通过掏土来调整地基土的变形达到促沉纠倾的目的。掏土有的直接在建筑物沉降较少一侧的基础下掏土;有的在建筑物沉降较少一侧的外侧地基中掏土。另外,移位控制技术还包括国内近来发展起来的CCG注浆法等。
(1)注浆法移位控制技术
注浆技术是岩土工程学的一个分支,属于地基处理的范畴,是由经验方法逐步完善成为一门具有一定理论体系的技术,到现在已有200年的历史。注浆技术大致经历了几个发展阶段,由原始黏土浆液注浆、初级水泥浆液注浆、中级化学注浆发展到今天的注浆阶段。
注浆的分类较多,根据注浆施工时间、注浆材料、工艺流程、受注对象等标准有多种分类方法。根据浆液在岩土层中的运动形式和浆液对注浆对象的作用方式可以分为以下几种类型。
①充填或裂隙注浆。岩石裂隙、节理和断层的防渗注浆;或者洞穴、构造断裂带、隧道衬砌壁后注浆;或者采空区注浆、回填土的孔隙填充注浆等属于此类。土层填充注浆一般注浆深度不大,静压注浆即可;岩层裂隙、采空区注浆一般注浆深度大,压力也较高。
②渗透注浆。渗透注浆是在不足以破坏土体结构的压力下,把浆液注入粒状土的孔隙中,从而取代和排除其中的空气和水。浆液一般是均匀地扩散到土颗粒间的孔隙内,将土粒胶结起来,以达到增强土体强度和防渗能力的目的。
③压密注浆。压密注浆通常是指土体的压密注浆,可以适用于中细砂和能够充分排水的黏土。压密注浆是指浆液在压力的作用下,通过钻孔挤密土体,以达到加固的目的。由于浆液材料的不同,浆液体在土层中的膨胀会以不同的形状出现。对于像砂浆、细石混凝土等一些极稠的注浆材料,浆液的颗粒较大,浆液在土体中只能形成球状或者圆柱状的浆泡,浆液体的主要运动形式就是球状和圆柱状膨胀,浆液对土体的作用方式也以径向挤密土体为主。
(2)CCG注浆法移位控制和加固原理
CCG注浆施工过程中浆泡向外扩张将在土体中形成非常复杂的径向和切向应力场。紧靠浆泡的土体中形成塑性区,离开浆泡区域中的土体基本上发生弹性变形。CCG注浆加固原理主要有以下两个方面。
①由于CCG注浆浆液很稠,浆液注入土层中的设计位置后形成一个泡状整体均匀地向周围扩大,从而挤密周围的土体,使土体强度有一定程度的提高。
②桩体作用。通过注浆管的提升或下降,CCG注浆可以在土体中形成一个柱状注浆体,注浆体可作为竖向增强体与周围的土体形成复合地基。注浆体的刚度比桩间土的刚度大,在荷载作用下,为保持注浆体和浆间土之间的变形协调,在注浆体上产生应力集中现象,使注浆体承担较大比例的荷载,并通过注浆体将荷载传递给较深的土层,同时桩间土体承担的荷载减小。这样复合地基承载力较原天然地基承载力有所提高,地基沉降量减小。
CCG注浆在上述两方面的综合作用下达到加固地基、提高地基承载力的目的。
(3)CCG注浆对移位和加固效果的影响因素
①土的性质。通常黏性土比砂性土难以挤密,CCG注浆最适宜于砂性土,对饱和的黏性土的挤密效果并不是十分理想。黏性土体中若采用较好的排水措施也可以采用CCG注浆法。若排水不畅,将在土体中引起较高的孔隙水压力,因此宜采用较低的注浆速率。
②上覆土压力。如果上覆土比较薄,待加固的土层中的土自重应力较小,若注浆的速率和注浆压力较大,上覆土层将会产生较大的隆起。
③注浆压力和注浆速率。过大的注浆压力和注浆速率将会导致上覆土层的过分隆起。最大的注浆压力的确定还应考虑邻近建筑物的敏感程度。
④注浆量。注浆量的不均匀分布将会导致被加固的土层的加固程度不均匀。注浆浆液的体积通常占被加固土体体积的4%~20%。
⑤注浆方式和注浆点的顺序。注浆方式主要有两种,即由上而下的方式和由下而上的方式,通常按由下而上的方式注浆要经济得多。注浆点顺序的合理安排会明显影响土体的加固效果,通常采用跳注方式进行注浆。
(4)静压桩法移位控制技术
静压桩施工由于其噪声小、无泥浆污染、沉桩速度快等优点在东南沿海软土地基城市建设中获得日益广泛的应用。在实际工程中,静压桩机可以用于基础工程,也可作为基坑围护桩。但作为移位控制中的应用,静压桩通常与锚杆结合在一起形成一种桩基施工工艺,称为锚杆静压桩。其基本原理是利用锚杆桩将上部结构部分荷载通过桩身和桩尖传入地基较深较好的持力层,达到控制移位,或者减轻基础持力层的负载,从而控制建筑物过大沉降及不均匀沉降的目的。
(5)掏土法移位控制技术
掏土法也是对建筑物进行移位控制的有效技术之一。掏土法移位控制技术是指掏土、钻孔取土、穿孔取土纠倾等方法的技术总称。它属于迫降纠倾,已有30多年的应用历史,其基本原理是进行有控制的地基应力释放,在建筑物倾斜相反的一侧,根据工程地质情况,设计挖空取土,造成地基侧应力解除,使基底反力重新分布,从而调整建筑物的沉降差异,达到控制建筑物移位,实现扶正、纠偏的目的。
(6)湿陷性黄土地基上人工注水方法移位控制技术
人工注水法移位控制技术的基本原理是利用湿陷性黄土地基遇水后在一定压力作用下发生较大沉陷的特征,在倾斜房屋基础较小的一侧,用人工控制水量将水注入地基内,使基础发生沉陷,达到控制房屋竖向移位,从而实现房屋纠偏的目的。
思考题与习题
1.简述地基处理的对象和目的。
2.何谓软弱地基?它有何特征?其特征指标和成因是什么?
3.换填垫层法的原理是什么?如何确定垫层的厚度和宽度?为什么厚度太薄(<0.5m)和太厚(>3.0m)都不合适?宽度太小可能会出现什么问题?
4.何谓强夯法?试述其加固原理。
5.砂石桩的作用原理是什么?
6.试述排水固结法的加固原理与应用条件。
7.在砂井固结理论中,何谓竖向排水固结度、径向排水固结度和总固结度?
8.阐述CCG注浆法移位控制和加固原理。
9.阐述静压桩法移位控制技术。
10.阐述掏土法移位控制技术。
11.阐述湿陷性黄土地基上人工注水方法移位控制技术。
12.阐述冷冻法的技术难点。
13.阐述托换技术的种类及其要点。
14.试述真空预压法的加固原理。
15.某单独基础底面边长为1.8m,埋深0.5m,所受轴心荷载标准值Fk=500kN。基底以上为填土,重度γ=18.0kN/m3;其下为淤泥质土,其承载力特征值fak=80kPa。若在基础下用重度为γ=20.0kN/m3的粗砂做厚度为1.0m的砂垫层,试验算砂垫层厚度是否满足要求,并确定砂垫层的底面尺寸。
16.某砖混结构的办公楼,承重墙传至基础顶面的荷载N=200kN/m,地表为1.5m厚的杂填土,γ=16kN/m3,γsat=17kN/m3;下面为淤泥层,含水量w=48%,γsat=19kN/m3,地下水位距地表深1.2m。设计基础的垫层。
17.某海港工程为软黏土地基,Cv=CH=1.5×10-3cm2/s,采用砂井堆载预压法加固,砂井长L=16m,dw=30cm,间距l=1.5m,梅花形布置。求一次加荷2个月时砂井地基的平均固结度。
18.某松砂地基,地下水位与地面平,采用砂桩或振冲桩加固,砂桩直径dc=0.6m,该地基土的ds=2.7,γ=17.5kN/m3,emax=0.95,emin=0.6,要求处理后能抗地震的相对密实度Dr=0.8,求砂桩的间距。
19.某场地为细砂地基,天然孔隙比e=0.95,emax=1.12,emin=0.60。基础埋深1.0m,有效覆盖压力18kPa。决定使用砂桩加密地基。砂桩长8.0m,直径d0=500mm,间距s=1.5m,正三角形排列。试计算加密后的相对密度,并查表估算地基承载力。
上一篇:强大的北洋新军
下一篇:被调查者的人口统计学特征





.jpg)
.jpg)
