
积分计算中的常规方法如第一、第二换元法,分部积分法,牛顿-莱布尼兹公式等等,相信读者都已相当熟悉了,在此不再赘述。本节我们主要介绍一些非常规但又很实用的方法。这些方法充分体现出数学思维的灵动美,有的反映出定积分计算特有的奥妙之处。希望读者朋友细加体会,领悟其中的奥妙进而熟练自如地应用。
一、分段技巧
例1 求
。
分析 关键是去掉绝对值,记积分为I。
解法一 当0≤a<b时,分部积分法,得
I=(a+1)e-a-(b+1)e-b
a<b<0时,分部积分法,得
I=(b-1)eb-(a-1)ea
a<0<b时,分部积分法,得

解法二 先求不定积分∫xe-|x|dx,然后套用牛顿-莱布尼兹公式

要求F(x)在x=0处可导,至少必须连续,F(0+)=F(0-),推出
c1=c2
所以 F(x)=-|x|e-|x|-e-|x|+c
最后得I=F(b)-F(a)=(|a|+1)e-|a|-(|b|+1)e-|b|。
例2 计算
。
解 记f(x)=sgn[sin(lnx)],易知f(x)在x=0处无定义,在(0,1]上不连续点是e-kπ(k=0,1,2,…),任意补充一个f(0),由于f在[0,1]上的有界性及其不连续点集仅有一个聚点,故f在[0,1]上R-可积。
当x∈[e-(k+1)π,e-kπ]时,f(x)=(-1)k+1

例3 求
。
解 分析
被积函数有界且仅有可数个间数点。
间断点集的聚点唯一为0,故补充定义f(0)=1,得知f在[0,1]上R-可积。故此类积分形式上是广义瑕积分,实质上仍是R-积分。
因此
思考:能否算出此级数的和?
分析 级数展开出来是
若换序,得出
此级数和为ln2-1<0,但原条件收敛级数不能随意地换序。换一种方式处理如下:

所以原积分=2ln2-1。
例4 计算
。
分析 凡属于
一类积分,通法是令x=π-t。
解 记原积分为I,令x=π-t

再令万能置换u=tant,但当
时,变换失效,故必须分段考虑
故得

二、递推关系的应用
著名的积分
就是用递推关系式
得出的。
在建立递推关系的过程中,分部积分法是关键技术手段。
例5 计算积分
解 由对称性,显然有

或

得

例6 计算积分
。
解 
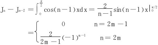
例7 计算狄利克雷积分
解法一 利用积化和差易得

最后一项视n奇偶定夺。易算出Jn=π。
解法二 
解法三 因为
所以 Jn=Jn-1=…=J0=π。
例8 计算
。
分析 当n是奇数时,此Jn相当于例7中的Jn除以2,即
(n奇)。
关键是当n为偶数时,联想和差化积公式
sinnx-sin(n-2)x=2sinxcos(n-1)x
解 
故 
三、对称性原则
众所周知,若f(x)为[-a,a]上的奇函数时
;
若f(x)为[-a,a]上的偶函数时
。
在本段我们将对上述公式加以推广,得到另外两个公式(1)和(2),并结合实例说明其应用。
1.对一般的[-a,a]上的可积函数,有

例9 计算积分
解 
或令x=-t代换亦可得。
2.区间[0,a]上的对称性公式

例10 求积分
解 
化归为求积分
。利用分段技术


例11 计算积分
。
解法一 考虑含参变量积分


此种引入参变量的方法在求一类特别难求的积分如
等时特别有效。但对本题而言显得大材小用,有点繁琐。
解法二 
而
故原积分等于
。
解法三 
注 将上述三种解法作一个对比是很有意思的,学数学需要一些豁然开朗的事情才会有趣,才能提高。
例12 计算积分
。
解 仅凭观察该积分的外形,就知常规手法一定不行,故用对称性原则一试。
引入
(请思考一下上式的几何含义是什么?事实是φ(x)关于点
呈中心对称状)

注 上述解法的本质就是拼图游戏,即将两块对称的复杂图形拼成了一个矩形。
习题4.1
1.求
。
2.假设f(x)满足f(x)=f(x-π)+sinx,且x∈[0,π]时,f(x)=x,计算
。
3.计算
。
4.计算积分
(递推关系In=In-2);

5.记
并且有
6.求以下各积分的值

7.已知f(x)连续
的值。
(1999年数学(四))
8.设f∈C3(R),证

(北师大2004年)





.jpg)
.jpg)
