
3.2.3 市场预测的方法
1.近期需求预测方法
(1)简单平衡法
预测某商品的国内市场需求可按下式进行计算:
某商品的年需求量=年消费量+当年出口量-当年进口量+当年年末库存量-年初库存量
(2)购买力估算法
购买力估算法常用于预测对消费品的需求。
①预测居民的预期购买力
居民的预期购买力=居民的预期货币收入-税收支付-存款净增额-其他非商品支出
②分析预测居民对某类商品的购买支出在总商品支出中所占的比例
③分析预测居民对某商品的购买支出在某类商品支出中所占的比例,即预测期对某种商品的需求量
预测期某种商品的需求量=预期居民商品购买力×用于购买某类商品的支出/购买商品总支出×用于购买某种商品的支出/购买某类商品的支出
(3)相关因素法
①比例系数法
在整个市场中,某种商品需求量的变化并不是孤立的,常与其他因素相关,即产品与产品之间存在着替代和互补的关系。这样,对某种商品的需求很可能与另外一种商品的需求量呈一种比例关系。如果知道其中一种商品的需求量和它们之间的比例关系,就可预测另外一种商品的需求量,即:
某商品的需求量=相关商品的需求量×比例系数
②弹性系数法
对某种商品需求量的大小取决于人们的收入水平与该商品的价格水平。也就是说,一定时期的消费水平与一定时期的居民收入水平和价格水平有着密切的联系。
需求的收入弹性。需求的收入弹性是指由收入变化引起的需求变化程度。一定时期消费者的消费水平取决于其收入水平的高低,即收入水平是消费水平的主要决定因素。
需求的收入弹性是用收入弹性系数来表示的。产品需求的收入弹性系数为需求量的相对变化与收入的相对变化之比。一般有点弹性与弧弹性之分,其计算公式为:


式中,Ei为某产品需求的收入弹性系数;Q0、Qt为基准年和观察年产品的需求量;I0、It为基准年和观察年的收入水平。
需要指出的是,以不同年份作为观察年与同一基准年进行比较,往往会得到不同的收入弹性系数,而收入弹性应该是一个相对稳定的常数值。这就要求在求出不同观察年份对于同一基准年的收入弹性后,再求出它们的平均值,然后用此平均值预测对某种商品的需求量。预测公式为:
预测产品年需求量=基准年产品需求量×(1+产品需求的收入弹性×预测年较基准年收入的增长率)
例1 通过市场调查得到,某城市2001—2008年居民人均收入与某种商品的需求量的有关资料及以2001年为基准年求得的需求收入弹性系数(点弹性),见表3-1。
表3-1 需求的收入弹性系数

根据表3-1计算的结果,可求得该产品需求的收入弹性的平均值:
(0.833+0.926+0.833+0.833+0.882+0.942+0.972)÷7=0.889
若根据预测,该城市在2012年人均收入将达到15000元,即比2001年将增长6.5倍,若其他条件不变,则2012年该地对该产品的预测需求量为:
产品的预测需求量=1.2×(1+0.889×6.5)=8.1342(万件)
需求的价格弹性。需求的价格弹性是指需求量对价格变动的敏感程度。一般来说,产品的价格水平与消费者的需求有着密切的关系,即价格上升,需求量就下降;价格下跌,需求量就会上升。需求的价格弹性可用价格弹性系数来表示。产品的价格弹性一般有点弹性和弧弹性两种,其计算公式为:


式中,Ep为某产品需求的价格弹性系数;Q0、Qt为现行价格和新价格下的需求量;P0、Pt为现行价格和新价格。
产品需求的价格弹性确定以后,在其他条件不变的情况下,可以用来预测未来产品价格的变化对产品需求量的影响。
预测产品年需求量=现价的需求量×(1+产品需求的价格弹性×预测年价格较现行价格的变化率)
例2 某商品在2001年的单件价格为100元时,销售量为15000件,2002年价格为95元时,销售量为15800件,则该商品需求的价格弹性为:

若该商品在2008年的单件价格为92元,则2008年该商品的预测需求量为:
15000×(1+1.067×8%)=16280.40(件)
需求交叉弹性。需求交叉弹性是指一种产品的需求量对另一种相关产品价格变化的反应程度,即相关产品价格变化百分之一,这种产品的需求量将变化百分之几。其计算公式如下,


式中,EAB为A商品需求量变化对B商品价格弹性系数;Q0a、Qta为A商品的基准期和预测期的需求量;P0b、Ptb为B商品的基准期和预测期的市场价格。
若EAB>0,B商品为A商品的替代品,如电动剃须刀与安全刀片;若EAB<0,B商品与A商品相互补充,如汽车与汽油;若EAB=0,B商品与A商品无交叉弹性,如牛奶与鞋帽。
当确定了A商品、B商品的交叉弹性系数后,就应该把相关产品和代用品的预期价格变化的影响在预测产品需求时考虑进去。
2.发展趋势预测方法
市场发展趋势预测是对某种产品在以后若干时期内需求量的预测。由于项目的寿命期一般都比较长(超过5年甚至更长),所以在对项目进行市场的发展趋势预测时,都要进行长期预测。
(1)时间序列预测法
时间序列预测法是市场发展趋势预测中常用的一种方法。它是将经济统计指标的数值,按时间的先后次序排列,根据时间序列所反映出来的发展过程、方向和趋势,进行推导或延伸,据此预测下一时期或以后若干时间内可能达到的水平。需要指出的是,用时间序列预测法来进行预测是基于一定假设的,即假定某因素的发展变化规律、趋势、速度与该因素以后的发展变化规律、趋势和速度大体相似,同时,也假定市场的发展变化是一种渐进式的而非跳跃式的。
①简单平均法。其计算公式为:

式中,y为预测值;xi为第i期的观察值;_x为平均值。
②移动平均数法
简单移动平均法。该方法是采取滚动引进数据而不断地改变平均值(称为简单移动平均值),并据此进行预测的一种方法。移动平均值的反应速度,是由调整移动平均中所包括的周期数和对每一周期的加权所控制的。
加权移动平均数法。简单移动平均数法计算较为简便,但缺点是预测值总是落后于实际值,有较为明显的偏差。原因是离预测期越近的数据,对预测期的影响越大,反之亦然。因此,加权移动平均法正是考虑了这种影响因素,对预测期内的数据以不同的权数来加以调整。
加权移动平均法与简单移动平均法相比,能准确地反映实际发展趋势。但是,要给各期确定比较合理的权数,却是有一定的难度。尤其是如果最后几期所取的权数越大,风险也就越大,也就越易受偶然因素影响。
③指数平滑法
指数平滑法是利用历史资料进行预测的方法。它能消除利用加权移动平均法计算的缺点。其公式为:
Ft+1=Ft+α(Mt-Ft)
式中,α为平滑系数(在0与1之间);Mt为上期的实际值;Ft为上期预测值;Ft+1为本期预测值。
该公式的含义是:在本期预测数基础上加上一部分用平滑系数α调整过的本期实际数与本期预测数之间的差,就可求出下期预测数。用指数平滑法计算出的预测数一般介于本期实际数与本期预测数之间。而平滑系数α的大小可根据过去的预测数与实际数的比较而定。如果两者之间的差额大,则α的值应取大一些;反之,则α的值应取小一些。α的值越大,则表示近期的倾向性变动影响越大;反之,α的值越小,也就越平滑。
例3 某种产品的本期实际数与预测数分别为100万件和98.60万件,平滑系数α为0.9,则下期预测数为:
下期预测数=98.60+0.9×(100-98.60)=99.86(万件)
(2)回归预测法
在经济活动中,许多经济现象都有一定的相互关系,如商品销售量的多少与消费者的购买力、商品价格等有关,根据事物因果关系,找出变化的原因,对未来作出预测的方法一般称为回归分析法。回归预测法是将自变量与因变量之间的相关关系,用回归方程的形式表示,并根据自变量的数值变化去预测因变量数值变化。
简单回归预测法。简单回归预测就是分析一个因变量与一个自变量之间的关系,市场上的变动因素很多,如果一个因变量的变动主要决定于某一个自变量,而且相互之间的数据分布是线性趋势,就可以用简单直线回归方程进行预测。其方程式为:
y=a+bx
式中,y为因变量,即预测值;x为自变量,即引起因变量变化的某种影响因素;a、b为回归系数,a为截距,b为斜率。
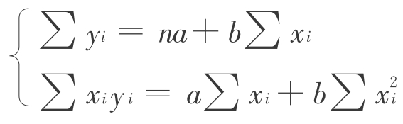
运用最小二乘法建立如下方程组:

解方程组,得a、b的计算式为:


式中,n为项目数。
多元线性回归预测法。在市场上常常发生一个因变量与两个或两个以上的自变量有依存关系的情况。多元线性回归预测就是分析一个因变量与两个或两个以上自变量之间的关系。多元线性回归预测法与一元线性回归预测法原理基本相同,只是扩展了方程式。其方程式为:
y=a+b1x1+b2x2+…+bmxm
式中,y为因变量,即预测值;xi(i=1,2,…,m)为自变量;a、bi(i=1,2,…,m)为回归系数。
运用多元线性回归预测法进行预测,需要的数据多,计算复杂,除简单回归预测可用手工计算外,一般要借助计算机软件来完成。
(3)产品寿命周期分析
产品寿命周期是指一件产品自开发过程结束,从投入市场开始到被市场淘汰为止的一段时期。产品寿命周期按其销售量趋势一般可分为导入期、成长期、成熟期和衰退期等四个时期,如图3-1所示。
导入期。新产品在刚投入市场时,因消费者还不熟悉其性能,需要经过一定时期的广告宣传和推广,销售量才缓慢上升。
成长期。产品已逐渐被广大消费者熟知,销售量迅速上升,该时期产品最有竞争力。

图3-1 产品寿命周期图
成熟期。产品已逐步满足市场需要,同类型产品纷纷进入市场,产品销售量趋于稳定,并在高水平上呈上下波动状态。其中,销售量稳步上升的时期称为成熟期,销售量稳定的时期称为饱和期。
衰退期。产品趋于老化并逐渐被市场上出现的新产品所代替,销售量急剧下降,趋于被淘汰。
产品寿命周期只是表明了产品销售的一般趋势,并不表明各个阶段的具体时间。同时,由于产品的性质和功能的不同,也使得不同产品之间的寿命周期的期限也不尽相同。因此,应对不同的产品进行具体分析。
产品寿命周期分析,一般采用下列方法:
①销售增长率法
判断产品处于其生命周期的哪个阶段,可以采用销售增长率法。
销售增长率=销售额增加量×100%/时间增加量
当销售增长率大于10%时,产品处于成长期,说明可以投资建设生产该产品的项目;当销售增长率介于0~10%时,产品已进入成熟期,项目决策应当慎重;当销售增长率小于0时,产品即将或已经进入衰退期,不宜投资新建该产品项目。
②销售趋势分析法
销售趋势分析法主要是根据历年销售额的数据,观察其发展趋势,从而判断该产品所处生命周期哪个阶段,以便为确定项目的生产规模提供参考依据。
③产品普及率分析
在一般情况下,产品的普及率越高,其社会需求量就越低,因而考察产品的普及率可以作为产品所属生命阶段的辅助方法。常用的产品普及率有:人口普及率和家庭普及率。
人口普及率=社会拥有量×100%/人口总数
家庭普及率=社会拥有量×100%/家庭总数
社会拥有量=历年生产累计量+历年进口累计量-历年出口累计量-历年企事业单位拥有量-历年报废累计
许多耐用消费品-般可根据经验数据来判断其寿命周期,即:产品普及率在10%以下的,属于导入期;产品普及率在10%~30%之间的,大体上处于成长期,产品普及率在50%~70%间的,大体上处于成熟期;产品普及率在70%以上的,处于衰退期。
(4)德尔菲法
德尔菲法也称函询调查法或专家调查法,是美国兰德公司于20世纪60年代制定的,后来被广泛采用的-种预测方法。该方法的具体做法是:先由各专家背靠背地提出自己对某个预测目标的预测意见,然后由预测组织者把这些预测结果集中起来,并返回给各位专家,请他们在参考他人预测的基础上再次作出预测。如此反复几次,最后得到相对集中的预测结果。
德尔菲法的基本程序是:
①明确预测任务
以专家问答表的形式将需要预测的问题列在表格上,便于专家填写。调查表中的问题用词应确切、明白、简化、集中、有针对性,以便专家准确的回答。
②选择专家
专家的选择是专家调查法的关键,应选择学有专长、富有实践经验,知识面广的专家作为调查对象。
③收集专家意见
将调查表寄给专家,并提供有关资料,专家根据自己的知识和经验,提出预测意见,并说明其依据,将专家意见归纳整理,分别说明不同预测值的依据和理由,再寄给各位专家,要求专家修改原先意见,提出新的判断结果,经过3~4次修改,意见便可趋于-致。
④提出预测报告
对专家的意见进行分析和处理,提出市场预测报告。有的预测只要求得到定性的结论,有的预测则要求得到定量的结论。对后者需用统计方法对专家意见进行量化处理。





.jpg)
.jpg)
