
§4.3 定积分的性质
定积分的性质主要包括以下几类:四则运算;中值定理;逼近性质;积分的连续性;可加性;变限积分求导法,微积分学基本定理;跟定积分有关的极限等等,兹介绍如下:
一、积分中值定理
1.积分第一中值定理
设f(x)在[a,b]连续,g(x)在[a,b]可积且不变号,则存在一点ξ∈[a,b],使得

特例:g(x)≡1时
。
(1)
叫做f在[a,b]上的积分平均值。
2.积分第二中值定理
若在[a,b]上f(x)单调,g(x)可积,则∃ξ∈[a,b],使得

特例1 若f(x)在[a,b]上非负递减且f(b)≥0,则
;
2 若f(x)在[a,b]上非负递增且f(a)≥0,则
二、积分连续性
若函数f(x)在[A,B]可积,则有

三、微积分学基本定理
f(x)∈C[a,b],F(x)是f(x)的原函数,则

四、可积函数的逼近
设f是[a,b]上的R-可积函数,在L1空间范数之下,有以下三种不同的逼近方式:
1.阶梯函数逼近
∀ε>0,∃阶梯函数s(x),
2.连续函数逼近
∀ε>0,∃连续函数g(x),
3.多项式逼近
∀ε>0,∃多项式p(x),
证明思路:
1°利用达布上和、下和及可积第二充要条件。
2°先对阶梯函数证明可以用连续函数逼近。
对于最简单的阶梯函数如设[α,β]⊂[a,b],

只需作线性连接即可以了,对一般的阶梯函数,类似推广即得。结合已证的1°就得出一般的可积函数可以用连续函数逼近。
3°注意到闭区间[a,b]上的连续函数可以用多项式一致逼近(Weierstrass逼近定理),立即得知。
五、跟定积分有关的极限
关于这一内容最初的介绍可参见§1.2的第二段。在此我们将介绍一些更深刻的结果。设f(x)在[a,b]上R-可积,将[a,b]等分并取端点作为介点。
引入记号
表示定积分与黎曼和数的差,则有Δn→0(n→+∞),若对f(x)再加上一些条件,就可得到以下深刻的结果。
1.设f(x)在[a,b]上可导,且f′(x)在[a,b]上可积,则

证明 由f′的可积性,于是达布上和、达布下和有相同极限证之。
记
式中ξk∈(xk-1,xk)由拉格朗日中值定理得出。
因mk≤f′(ξk)≤Mk,

即

令n→∞得
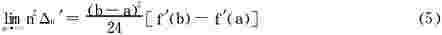
2.记
则当f″∈R[a,b]时,有

证明从略,可参阅[11]P148-150。
例1 求出正值连续函数f>0,使得

解 从条件知f2(x)可导,又由f(x)>0,且f连续

得出f(x)亦可导,(6)式两边关于x求导,得出
,
故
。
令x=0,知c=f(0)=1,所以
。
例2 设f(x)∈C[a,b],若下述三个条件之任一个成立,证明f(x)≡0。
1. ∀φ(x)∈C[a,b],有
;
2. ∀φ(x)∈C[a,b],且φ(a)=φ(b)=0,有
;
3. ∀n=0,1,2,…,有
。
证明 1.只要取φ(x)=f(x)。
2.反证法,若∃x0∈[a,b],st f(x0)≠0,不妨设x0∈(a,b),由连续函数的性质(极限保号性),存在x0的一个δ-邻域U(x0,δ),使得在其上
恒成立,构造φ(x)为折线函数
;
3.利用连续函数的多项式一致逼近,存在多项式序列{pn(x)},在[a,b]上pn(x)⇒f(x),立得
。
例3 设f(x)在[a,b]可积,试证
的充要条件为f在连续点上为0。
证明 必要性:反证法易证。
充分性:
法一 用实变函数知识去证明,由可积的第四充要条件,f(x)的不连续点E的测度为0,而在
上,f(x)恒为0,故

法二 设法证明f(x)的连续点处处稠密,即证∀[α,β]⊂[a,b],f在[α,β]上必有连续点。当取连续点作为介点时,黎曼和数恒为0,故得知
。
等价转化:证明可积函数f(x)在[a,b]内至少有一个连续点。下面分析函数f(x)在某一点x0处连续的振幅特征。
以wδ(f)表示f在(x0-δ,x0+δ)上的振幅,即

则有如下刻划f(x)点态连续性的结论。
引理 f(x)在x0连续
。
引理的证明从略。下面继续充分性的证明。依据f(x)的可积性,∀ε>0,∃分法T,st∑wiΔxi<ε
由抽屉原则,至少有一个
,在其上,振幅wτ<ε/(b-a);再由f在[a1,b1]上可积,可有[a2,b2]⊂[a1,b1],f在[a2,b2]上的振幅充分地小。
先取ε=b-a,存在某个Δτ,在其上wτ(f)<1,再在[xτ-1,xτ]上取一个子区间[a1,b1],使得b1-a1<1,自然
由于f在[a1,b1]上仍可积,继续上述步骤,可选出[a2,b2]⊂[a1,b1],使得

由区间套定理,存在唯一c∈[an,bn],于是依据上述引理知f(x)必在c点连续。
例4 设f∈C[a,b],若∀φ∈C[a,b],同时
的φ(x),有
。证明f(x)恒为常数。
证明 若f(x)已经满足
,则特取φ即为f可得
。
若
,构造新函数
,
又 
得出 
所以φ(x)≡0,即
。
例5 设f∈C[a,b],且
,证明至少存在两点x1,x2∈[a,b],使得f(x1)=f(x2)=0。
证明 显见至少有一个零点。反证,若恰有一个零点x1
,但(x-x1)f(x)在[a,b]-{x1}上保号,从而积分
必为正值或负值。矛盾。
推广:设f∈C[a,b],∀n≤N,有
,试证f(x)在[a,b]上至少有N+1个互异的零点。
(分析:N=2时,先证明,引入g(x)=(x-x1)(x-x2),f,g除去x1,x2之外保号,…)
思考:若∀n=1,2,…皆有
,则f≡0(不仅是有可数多个零点而已啦)。
例6 设f∈C[0,1]
,证明∃x0∈[0,1],使得|f(x0)|≥4。
证明 反证法,若∀x∈[0,1],|f(x)|<4,于是

得出矛盾。
推广:条件改为
,则
∃x0∈[0,1],st|f(x0)|≥2m(m+1)。
证明 仍用反证法

例7 设f(x)∈C(R),T>0,试证f是以T为周期的函数的充分必要条件是积分
的值∀α恒为常数。
证明 必要性易证。
充分性:令
,则F(α)≡C,F′(α)=0
所以f(α+T)-f(α)=0,∀α∈R成立,即知f(x)为周期函数。
例8 设
求
。
解 (1)对[0,1]n等分,分点为
在每个小段上取ξi为中点,得到
的黎曼和数是

于是
(2)
,Δn′=ln2-vn,于是由本节(5)式知

习题4.3
1.设f∈C[a,b]且
,证明f(x)≡0。
2.设f∈C[a,b]且
则f(x)≤0。
3.设f∈C(R+),∀α>0,
,证明
4.设f(x)是连续的周期函数,周期为p,证明
5.设f(x)在
连续
,证明:f(x)在
内至少有两个零点。
6.设函数f(x)在[0,π]上连续,且
。试证明:在(0,π)内至少存在两个不同的点ξ1、ξ2,使得f(ξ1)=f(ξ2)=0。
(2000年数学(三)、(四))
7.设在[-1,1]上连续的函数f(x)满足如下条件:对[-1,1]上任意的偶连续函数g(x),积分
。试证:f(x)是[-1,1]上奇函数。
(证:取
再取
所以
,得出∀x∈[0,1]有f(x)+f(-x)=0,此证得f(x)为[-1,1]上的奇函数。
或证 取g(x)=f(x)+f(-x)即可以了。
8.设
。
9.设f在[0,1]上可微,且∃M>0 st|f′(x)|≤M。求证
。
10.设f在[1,+∞)上连续、递减、恒正,令

证明{Ak}收敛。
11.设函数f在[0,a]上严格递增,且有连续导数,f(0)=0。又g是f的反函数。求证∀x∈[0,a],有
。
(华东师大2002年)
12.设f在[-1,1]上二阶导数连续,证明∃ξ∈(-1,1),
。
(浙江省高等数学竞赛2005年)
上一篇:运动心电图表现
下一篇:赔偿请求人和赔偿义务机关





.jpg)
.jpg)
