
13 施工方案经济性分析
施工方案是在一项工程开工前所确定的,由建造施工的流向和顺序、施工阶段划分、施工方法和施工机械选择、安全施工设计及环境保护措施与方法等组成的施工技术文件,其主要内容包括编制依据、分项工程概况和施工条件、施工总体安排、施工方法工艺流程、质量标准及质量管理点与控制措施、安全与文明及环境保护措施等几个方面。施工方案制定过程中涉及多种不同方案的比较,如何选择合理的施工方案正是施工方案经济分析要解决的问题。施工方案可进一步分为施工组织方案和施工工艺方案两类,前者指施工总体安排方案,后者指其他的措施性方案。
13.1 施工方案的经济性内涵
13.1.1 施工方案的经济参数
施工方案经济参数的构成可以从施工企业和工程成本的组成来分析,根据《企业会计准则第15号——建造合同》,施工企业成本与工程成本构成及相互关系如图13.1所示。注意图中间接费用和管理费用的差异。
从图13.1的构成可以看出,生产费用(工程成本)的多少体现了工程的施工管理水平,它与施工方案直接相关,而期间费用的大小体现企业经营水平,与施工方案没有直接的关系,所以这里主要根据工程成本构成来分析施工方案的经济参数。
第一,施工工艺方案几乎直接决定了其他直接费用。在现行建筑安装工程费用项目构成中,其他直接费又称为措施费。各类施工措施方案(即施工工艺方案)选择,例如采用什么样的模板系统、脚手架方案、施工排水和降水设备等,都直接影响其他直接费用的高低。因此,施工工艺方案的比选是施工经济分析中的一项重要工作,是本章要阐述的主要内容。
第二,直接费中人工费和机械费的大小,一方面主要是由工程量的多少所决定,这取决于工程设计;另一方面,它们也与施工组织方案有直接关系,施工组织不当,会造成施工人员和施工设备的窝工和停工现象。不同的施工组织方案,在工程完成的工作量和施工设备占用时间上都有着差异。

图13.1 施工企业成本与工程成本构成及其相互关系
第三,直接费中的材料费主要是由工程设计所决定的。但是,工程设计主要决定了材料费中的材料净用量,而材料在施工过程中损耗量与施工工艺方案直接相关,同时施工组织方案中有关材料的节约措施也影响到损耗量的高低。
第四,施工组织方案直接决定了间接费用。施工现场及项目经理部管理人员的多少、在工程上的工作量、差旅频率等都与施工组织方案优劣有直接关联。
可见,施工方案最主要的经济参数,一是工程的其他直接费用(措施费用);二是工程的间接费用。由此,可进一步分析影响工程经济性的施工方案技术参数。
13.1.2 影响工程经济性的施工方案技术参数
根据上述对施工方案的经济参数分析及施工方案内容的构成,影响工程经济性的施工方案技术参数可归纳为以下几个方面:
1)施工总平面布置
施工总平面布置主要包括:(1)工程施工用地范围内地形和等高线、全部地上、地下已有和拟建的建筑物、构筑物及其他设施位置和尺寸及坐标网;(2)为整个项目施工服务的生产性施工设施和生活性施工设施布置;(3)建设项目施工必备的安全、防火和环境保护设施布置。
施工总平面布置影响施工占地大小、场内运输费用多少、专业工种交叉作业的复杂程度、施工速度快慢及各类临时设施的需要数量等,其优劣程度从施工占地总面积、场地利用率、施工临时设施建造费用、施工道路长度和施工管网长度等方面进行衡量。
2)施工工期
施工工期是从正式开工起至完成承包工程全部设计内容并达到国家验收标准的全部有效天数。一方面,施工工期是工程建设单位所关心的建设施工参数,它关系到企业新增生产能力动用计划的完成和经济效益的发挥;另一方面,施工工期也是施工企业所关心的重要核算指标,它的长短直接影响施工企业的经济效益。这里主要从后者的角度进行分析。
施工工期直接影响场地内周转使用的模板、支架、脚手工具、施工机械、临时房屋等周转利用效率,并间接影响到现场管理费用、企业管理费用甚至财务费用。显然,工期越长,相应的管理费用和财务费用越高。但是,短于合理工期的安排又会增加模板等周转材料的占用量、施工机具的数量、施工人员的占用量、夜间施工的照明、灯具摊销、夜班工资补贴等赶工措施费用。
可见,施工工期的合理性是影响工程经济性的施工方案重要技术参数。尽管在实践中业主的招标文件对施工工期通常有着明确的规定,但是从施工企业来说,首先应按正常施工条件、合理的劳动组织及自身的技术装备和管理水平来确定合理工期,然后将招标文件所规定的工期与合理工期进行比较,采取合适的应对策略。如果前者长于后者,应按合理工期进行施工部署;如果前者短于后者,应计算出相应的赶工措施费用计入工程报价中。
3)施工主要资源需要量及计划
广义的施工资源包括施工材料、施工机具设备、施工资金、施工人员等四个方面的资源。这里所说的施工资源,主要包括施工过程中所需要的周转性工具和材料,如模板、卡具、支撑材料等,及施工机械设备等,一般不包括构成工程结构实体的建筑材料与工程设备。
施工方案对施工资源的规格、型号、占用总量、使用时间等的确定将会影响到资源使用效率或租赁费用,也与施工工期之间有着不可分割的联系。其中,施工设备对工程经济性的影响程度最大,本书第14章专门阐述这一问题。
另外,还需注意下面三点:(1)尽管主体结构施工方案经济分析不考虑工程实体材料资源消耗量,但是如果预见到不同施工方案造成的主体材料施工损耗量差异较大时,损耗量应考虑在施工方案比较范围内;(2)一些装饰工程需要施工方案对工程的深化设计,如墙体面砖工程,是采用水泥砂浆粘贴工艺还是采用干挂工艺。由于实体材料的使用类型及数量都有差异,使施工方案的比较必须考虑实体材料的差异及费用,并需要考虑保修期间的维修费用;(3)不同施工方案引起的施工过程中消耗的能源(如水、电、油等)也存在着差异,这一问题将在第14章中施工设备方案经济性分析中进行讨论。
4)劳动消耗量
建筑业是劳动密集型行业,劳动消耗是建筑企业考核经济效果的重要指标。在英、美、德、日等发达国家,一般建筑工程中人工费占直接费的40%~60%,由于我国的劳动工资水平较低,这一比例一般在10%~15%。但近年来随着劳动力工资水平的快速上升,估计这一比例目前已经达到18%~20%。尽管劳动力资源属于广义的施工资源,考虑到其重要性,在施工方案比较中将作为独立的一个部分进行分析。
劳动消耗量指标包括施工总工时数、月或周平均工时数、施工高峰期日工时数及各类工种工人需要量及需要计划等。总工时数主要是由工程实体工程量所决定的,但是较好的施工组织方案将能提高工人的劳动效率,减少窝工现象,节约劳动消耗量。现场劳动力需要量的均衡性还将减少现场配套的服务设施(如宿舍、食堂等)数量和服务人员雇佣数量。
13.1.3 施工方案的综合效益观
施工过程是将建筑物由图纸变成现实的过程,是一个工程项目成功与否的关键阶段。但怎么样才算一个成功的工程项目?对不同的项目类型,在不同的时候,从不同的角度(不同的项目参加者),就有不同的认识标准。但成功的项目标准应包含着项目的相关者对项目的总体要求和期望,包含着社会、环境、历史对工程项目的要求。站在一个项目的建造者的角度,去组织施工,选择施工方案时,它的成功至少必须满足如下几个条件:
(1)提交的最终可交付成果应能够满足预定的使用功能要求(包括功能、质量、工程规模、技术标准等),达到预定的生产能力或使用效果(预定要求的产品或服务),能经济、安全、高效率地运行,并提供完备的运行条件。
(2)在预算费用(成本或投资)范围内完成,尽可能地降低费用消耗,减少资金占用,保证项目的经济性要求。
(3)在预定的时间内按计划、有秩序、顺利地完成项目的建设,不拖延,没有发生事故或其他损失,较好地解决项目过程中出现的风险、困难和干扰,及时地实现投资目的,达到预定的项目总目标和要求。
(4)项目相关者各方面都感到满意。特别能为使用者(顾客或用户)接受、认可,投资者、承包商获得应得的利益,同时又照顾到社会各方面的利益。
(5)与环境协调,即项目能为它的上层系统所接受,这里包括:①与自然环境的协调,没有破坏生态或恶化自然环境,具有良好的审美效果;②与人文环境的协调,没有破坏或恶化优良的文化氛围和风俗习惯;③项目的建设和运行与社会环境有良好的接口,为法律允许,或至少不能招致法律问题,有助于社会就业、社会经济发展;④合理、充分、有效地利用各种自然资源等。
由此可见,施工方案的成功应是经济、社会与环境等三种效益的综合最优。同时,充分考虑施工方案的综合效益也是项目实施主体——建筑企业的竞争力的体现。建筑企业在履行保护环境、节约资源的社会责任的同时,也节约企业自身的成本,促使工程项目的管理更加科学合理。建筑企业在工程建设过程中,注重环境保护,必然树立良好的社会形象,形成潜在的效应。施工方案对建筑企业经营过程中产生三种效益起了决定性的作用。
1)经济效益
对于建筑企业来说,承建一个项目的重要出发点就是如何获得最佳的经济效益。施工方案的选择则起到关键性的作用,一个好的施工方案的选取,将在工程项目的进度、成本等不同方面直接得到反映,并间接给企业带来巨大的效益。我们常常对施工方案从技术性指标(如,模板方案中的模板型号、模板尺寸、模板单件重等)、消耗性指标(如,工程施工成本、主要资源需要量等)和效果(效益)性指标(如,施工工期、成本降低额等)等方面进行技术经济分析,以获得一个经济效益最佳的施工方案。
2)社会效益
施工方案所要考虑的社会效益主要集中在避免对于周边居民的生活干扰,减少难再生资源的占用以及防止由于施工产生社会群体性事件等方面。在施工方案的制订和选择时可考虑避开休息时间施工、建立可再利用水的收集利用系统、临时设施的占地面积在合理的前提下达到最小、注重人员安全与健康管理等方面。
3)环境效益
施工过程是环境污染的高发阶段,对于施工过程中产生的扬尘、噪声和振动、光污染、水污染、建筑垃圾、地下设施与资源保护和文物保护等环境负效应现象都提出可相应的控制方法。因此在施工方案的制订和选择时应予以充分的考虑,防止产生较大的负外部性效应,提高工程经济性的环境效益。
13.1.4 绿色施工
长期以来,建筑业维系着粗放型增长模式,整个行业对资源和能源的依赖性较强,消耗性过高、环境保护不够。据有关资料统计,建筑业耗用了人类从自然界中获取原材料的50%以上,消耗了全球可利用能源的50%左右,建筑施工污染比例占到了空气污染、光污染、电磁污染等各种污染总和的34%,并排放出了相当于人类活动垃圾40%的建筑垃圾。20世纪90年代后,随着可持续发展理论的提出和发展,人们开始重新审视传统施工技术,“绿色施工”的概念提了出来。
绿色施工技术并不是独立于传统施工技术的全新技术,而是将“绿色方式”作为一个整体运用到施工中去,将整个施工过程作为一个微观系统进行科学的绿色施工组织设计。绿色施工技术除了包括若干年来政府在施工工地监管中所要求的文明施工、封闭施工、减少噪音扰民、减少环境污染、清洁运输等外,还包括减少场地干扰、尊重基地环境,结合气候施工,节约水、电、材料等资源或能源,环保健康的施工工艺,减少填埋废弃物的数量,以及实施科学管理、保证施工质量等。“绿色施工”中许多做法,如减少施工扰民、降低施工噪音等主要是施工企业迫于政府的强制性的规定和处罚措施及民众的压力,而“绿色施工”转变为企业自觉和自主地追求。由此可见,“绿色施工”更多的是倡导一种新的行业发展理念,也是施工方案经济性综合效益观的集中体现。
为推动绿色施工的发展,国家建设部于2007年发布《绿色施工导则》(建质[2007]223号文),明确了绿色施工作为绿色建筑全寿命周期的重要阶段,要求以节约资源和保护生态环境为目标,对工程项目施工采用的技术和管理方案进行优化,并严格实施,确保施工过程安全和高效,产品质量严格受控的方式方法。具体地说,就是在保证质量和安全等基本要求的前提下,通过科学管理和技术进步,做到节能、节地、节水、节材和环境保护。所以,“绿色施工”不再只是传统施工过程所要求的质量优良、安全保障、施工文明等,也不再是被动地去适应传统施工技术的要求,而是从生产的全过程出发,依据“四节一保”的理念,去统筹规划施工全过程,改革传统施工工艺,改进传统管理思路,努力实现施工过程中低耗、增效和环保效果的最大化。
从上面分析中可以看出,绿色施工方案除了目前施工方案中包括的文明施工、安全施工、环境保护、健康与卫生保护等措施之外,还应具备下面一些措施方案:
1)减少场地干扰、尊重基地环境
工程施工过程会严重扰乱场地环境,这一点对于未开发区域的新建项目尤其严重。场地平整、土方开挖、施工降水、永久及临时设施建造、场地废物处理等均会对场地上现存的动植物资源、地形地貌、地下水位等造成影响;还会对场地内现存的文物、地方特色资源等带来破坏,影响当地文脉的继承和发扬。因此,施工中减少场地干扰、尊重基地环境对于保护生态环境,维持地方文脉具有重要的意义。
相应的措施方案应包括:(1)明确场地内要保护的区域和植物等及相应的保护措施;(2)提出在满足施工要求的前提下减少清理和扰动的区域面积、减少临时设施、减少施工用管线的方案;(3)合理的仓储等临时设施布置方案,尽量减少施工场地占用面积、减少材料和设备的搬动;(4)废物处理和消除措施,尽量减少或消除废物回填或填埋对场地生态和环境的影响;(5)场地与周边居民及公众的隔离措施。
2)结合气候
在选择施工方法和施工机械、安排施工顺序、布置施工场地时,应结合气候特征,可以减少因为气候原因而带来的额外施工措施费及资源和能源用量的增加;可以减少因为额外措施对施工现场及环境的干扰;可以有利于施工现场环境质量品质的改善和工程质量的提高。
相应的措施应包括:(1)尽可能合理的安排施工顺序,使会受到不利气候影响的施工工序能够在不利气候来临前完成。例如,在雨季来临之前,完成土方工程、基础工程的施工,以减少地下水位上升对施工的影响,减少其他需要增加的额外雨季施工保证措施。(2)安排好全场性排水和防洪,减少对现场及周边环境的影响。(3)施工场地布置应结合气候,符合劳动保护、安全、防火的要求。例如,产生有害气体和污染环境的加工场地及易燃的设施应布置在远离居民区的下风向。
3)节水、节电、节约材料
减少资源的消耗、节约能源、保护水资源是绿色施工的基本要求。施工方案相应的措施应包括:(1)水资源的节约利用。通过监测水资源的使用,安装小流量的设备和器具,在可能的场所重新利用雨水或施工废水等措施来减少施工期间的用水量。(2)节约电能。通过监测利用率,安装节能灯具和设备,利用声光传感器控制照明灯具,采用节电型施工机械,合理安排施工时间等降低用电量。(3)减少材料的损耗。确定精确的采购量,采取合理的现场保管方案,减少材料的搬运次数,减少包装,完善操作工艺,增加摊销材料的周转次数,降低材料在使用中的消耗,提高材料的使用效率。(4)可回收资源的利用。一是使用可再生的或含有可再生成分的产品和材料,减少自然资源的消耗;二是在施工现场建立废物回收系统,尽量重复利用废旧物,减少施工中材料的消耗量,减少废旧物运输或填埋垃圾的能源消费。
13.2 施工方案比较过程与方法
工程施工所涉及的方案众多,常见的如水平运输方案、垂直运输方案、构件吊装方案、基坑支护方案、混凝土浇注与运输方案、模板方案、脚手架方案、现场平面布置方案、劳动力调配方案、现场机械设备调度方案、施工流水作业方案等。这些方案的比较选择,一般常见的问题和简单的工程,可由施工管理人员根据经验迅速地做出选择,而对于复杂的施工方案,需要进行分析、评价与比较,才能做出正确的选择。
13.2.1 施工方案比较分析的基本过程
施工方案比较与分析的基本过程如下:
(1)拟定若干可行方案。如果只有唯一可行的方案,则无法进行对比和鉴别,更不能确定其优劣。因此,必须拟定两个或两个以上技术上可行、施工质量达到合同或规范要求的施工方案作为评价对象。
(2)建立评价指标体系。根据工程的特征,选择和确定能全面反映施工方案基本特征的技术、经济和效果等方面的主要指标进行评价。
(3)计算、分析各项指标。在确定了对比方案的评价指标以后,应对各方案的指标值进行分析计算。计算时要求数据可靠,各方案间具有可比性,即计算时应采用统一的计算规则、方法和计量单位。
(4)综合分析、评价与选择。在对各个方案的各项指标进行分析的基础上,再对整个指标体系进行综合分析、评价,排列出方案的优劣顺序,并优选出总体效果最好的方案。
13.2.2 施工方案比较的基本方法
施工方案比较与选择的基本方法采用本书前几章介绍的一些方法,归纳起来有如下几种:
1)多指标综合评价法
多指标综合评价法根据评价指标体系,对于具体方案选择多个指标进行综合的评价。通常以其中的一个或两个指标为主,再综合考虑其他因素来确定最优方案。如基坑支护方案,既要考虑到采用这种方案的施工安全性和方便性,也要考虑到经济性。
2)单指标评价法
施工方案的比选中,经常用的是单指标评价法,即根据一个单一的效益性指标或者费用性指标比较方案的优劣,其中以最小费用法用得最多。另外,由于施工方案的寿命期通常较短(一般一个合同的工期多在1~2年之内),所以施工方案比较时,通常不考虑资金的时间价值,以静态比较方法为主,在13.3.3中专门阐述。
3)价值工程方法
价值工程方法作为一个方便实用的经济分析方法,在施工方案的经济分析中也得到了较好的应用。利用价值工程方法,可对建筑材料、构配件及周转性工具材料的代换进行价值分析,也可直接用于方案的经济比较。
【例13.1】某厂贮配煤槽筒仓是我国目前最大的群体钢筋混凝土结构贮煤仓之一,其由3组24个直径为11m,壁厚200mm的圆柱形薄壁连体仓筒组成。工程体积庞大,地质条件复杂,施工场地狭小,实物工程多,结构复杂。设计储煤量为4.8万吨,预算造价近千万元,为保证施工质量,按期完成施工任务,承建施工单位拟对施工方案进行比较并优化。
1)对象选择
工程主体由3个部分组成:地下基础、地表至16m的框架结构并安装钢漏斗及16m以上的底环梁和筒仓。对这三部分主体工程就施工时间、实物工程、施工机具占用、施工难度和人工占用等指标进行测算,确定每个指标各部分所占的百分率(表13.1),可见筒仓工程在各指标中占据较大比重。
表13.1 筒仓工程各部分的各项指标值 单位:%

能否如期完成施工任务的关键在于能否正确处理筒仓工程面临的问题,能否选择符合本企业技术经济条件的施工方法。总之,筒仓工程是整个工程的主要矛盾,要全力解决。决定以筒仓工程为研究对象,以优化筒仓工程施工组织设计。
2)功能分析
(1)功能定义:筒仓的基本功能是提供储煤空间,其辅助功能主要为方便使用和美观外形。
(2)功能整理:在筒仓工程功能定义的基础上,根据筒仓工程内在的逻辑联系,采取剔除、合并、简化等措施对功能定义进行整理,绘制出筒仓工程功能系统图,如图13.2所示。

图13.2 筒仓工程功能系统图
3)功能评价和方案创造
根据功能系统图可以明确看出,施工对象是混凝土筒仓体。在施工阶段运用价值工程不同于设计阶段运用价值工程,重点不在于如何实现储煤空间这个功能,而在于考虑怎样实现。这就是说,采用什么样的方法组织施工、保质保量地浇灌混凝土筒仓体,是价值工程编制施工组织设计中所要解决的中心问题。根据“质量好、时间短、经济效益好”的原则,由工程技术人员、施工人员、管理人员所组成的评审小组初步建立了滑模、翻模、大模板和合同转包等4个方案,在此基础上做进一步的技术经济评价。
4)施工方案评价
评审小组采用“给分定量法”对方案的施工便利性进行评价,评价结果见表13.2。
表13.2 筒仓工程施工方案的施工便利性评价表

续表13.2

从施工便利性的评价结果来看,合同转包方案得分最高,其次为翻模和大模板施工方案。但是,鉴于该工程施工的复杂性,需要进一步结合其他指标对方案进行综合评审。评审小组确定了综合评审的指标,利用给分定量法进行打分(表13.3)。
表13.3 筒仓工程施工方案的综合评价表

续表13.3

表13.3比较结果表明,虽然合同转包方案对施工总承包方来说比较方便,但合同转包方案在技术水平、材料消耗量控制、工程质量保证等方面施工总承包方不具备优势,同时考虑企业未来在这一工程类型施工业务的拓展需要,权衡利弊,最终选择“翻模施工方案”。
这一选择还可以通过价值分析方法得以证实,如表13.4所示。合同报价中筒仓主体结构施工成本为600万元,以其作为目标成本,并测算各方案的施工成本,计算各方案的价值指数。可见,翻模方案的价值指数最高,为最优方案。
表13.4 各方案预算成本及价值指数表

5)翻模施工方案的进一步优化
即使采用翻模施工方案,其测算成本也超过了报价成本,且翻模施工方案还存在多工种、多人员作业和总体施工时间长的问题,适宜用价值工程方法作进一步优化。
经分析,该方案的水平运输和垂直运输使大量人工耗用在无效益的搬运上,为减少人工耗用,有以下几种途径:①成本不增加,人员减少;②成本略有增加,人员减少而工效大大提高;③成本减少,人员总数不变,提高工效。
根据以上途径,相应提出三个改进方案:
方案A:单纯减少人员;
方案B:变更施工方案为单组流水作业;
方案C:采用双组流水作业。
对以上三方案采用给分定量法进行评价,方案C为最优,即采用翻模施工双组流水作业,在工艺上采用二层半模板和二层角架施工。
6)效果评价
通过运用价值工程,使该工程施工方案逐步完善,施工进度按计划完成,产值小幅增加,利润提高,工程质量好,被评为全优工程。从降低成本方面看,筒仓工程实际成本为577.2万元。与原滑模施工方案相比节约138.7万,与大模板施工方案相比节约83.5万元,与合同转包方案相比节约172.8万元,与翻模施工方案相比节约53.1万元,降低率为8.4%,与目标成本相比下降22.8万元,降低成本率为3.8%,成效显著。
13.2.3 施工方案比较常用的静态分析方法
复杂的工程或施工难度大的施工方案比选需要采用多指标综合评价和价值工程等方法。实践中所遇到的大多数是一些比较简单的、单一的施工工艺方案,而且通常施工期较短,所以一般采用指标比较方法,即只是比较费用的大小且采用静态分析方法。常用的静态分析方法有增量投资收益率法、折算费用法、优劣平衡分析法等。
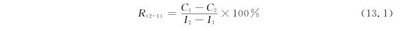
1)增量投资收益率法
增量投资收益率就是增量投资所带来的经营成本(或生产成本)上的节约与增量投资之比。计算公式为
![]()
式中:R(2-1)——增量投资收益率 ;
I1——投资小的施工方案投资额;
I2——投资大的施工方案投资额;
C1——投资大的施工方案的单位工期或单位产量经营成本(或生产成本);
C2——投资小的施工方案的单位工期或单位产量经营成本(或生产成本)。
当R(2-1)大于或等于单位工期或单位产量的基准收益率时,应选择投资大的施工方案;否则,应选择投资小的施工方案。
2)折算费用法
折算费用法就是将施工方案的投资额折算为单位工期或单位产量的费用。
计算公式为
![]()
式中:Zj——第j方案的折算费用;
Cj——第j方案的单位工期或单位产量经营成本(或生产成本);
Pj——第j方案的投资额;
Rc——单位工期或单位产量的基准收益率。
在多方案比较时,可选择折算费用最小的方案,即min{Zj}为最优方案。
3)优劣平衡分析法
当方案的产量(有用成果)不确定时,可采用第4章所述的优劣平衡分析法,用数学解析方法进行方案的选择。
假设两个方案,分别测算出各方案的固定成本(不随产量变化而变化的成本,如折旧费、租赁费等)和单位产品的可变成本(随产量变化而变化的成本,如原材料费、燃料动力费等),各方案总成本的计算式为

式中:Cj——第j方案的总成本,j=1,2;
——第j方案的固定成本,j=1,2;
——第j方案的单位产品变动成本,j=1,2;
Q——产品产量或需求量。
如果
,且
,或反之,则必可找到两个函数曲线的交点

由优劣平衡分析法可知,Q1,2为优劣平衡分歧点,根据产量(需要量)在(0,Q1,2)区域或在(Q1,2,∞)区域,选择曲线最低的方案为最优方案。类似的,该方法可用于更多个方案的比较。
【例13.2】某施工单位承担了某大型工程施工任务,主体结构工期为10个月。对该工程的混凝土供应提出了两个方案:
(A)现场搅拌混凝土方案
(1)现场建一个搅拌站,初期一次性建设费用,包括地坑基础、骨料仓库、设备的运输及装拆等费用,总共100000元;
(2)搅拌设备的租金与维修费为22000元/月;
(3)每立方米混凝土的制作费用,包括水泥、骨料、添加剂、水电及工资等总共为270元。
(B)商品混凝土方案
由某构件厂供应商品混凝土,送到施工现场的价格为350元/m3。
问采用哪个方案有利?
解:设混凝土总需求量为xm3,则各方案的总成本为

画出优劣平衡分析图,如图13.3所示。

图13.3 例13.2两方案的优劣平衡分析图
由CA=CB,计算优劣平衡点
![]()
则,当混凝土需求总量低于4000m3时,应选B方案;当混凝土需求总量高于4000m3时,应选A方案。
13.3 施工工艺方案的经济性分析比较
施工工艺方案包括分部(项)工程的施工方法和施工措施方案,如主体结构工程、基础工程、垂直运输、水平运输、构建安装、大体积混凝土浇筑、混凝土输送及模板、脚手架等。
13.3.1 施工工艺方案的技术经济评价指标
主要的技术经济评价指标有:
1)技术性指标
技术性指标是指各种技术性参数。如模板方案的技术性指标有:模板型号数、模板的尺寸、模板单件重等。
2)消耗性指标
消耗性指标主要反映为完成工程任务所必需的劳动消耗,包括费用消耗指标、实物消耗指标及劳动消耗指标等。主要有:
(1)工程施工成本。一般应用直接费成本进行分析评价,形式上可用总成本、单位工程量成本或单位面积成本等。
(2)主要施工机械设备的选用及需要量。包括配备型号、台数、使用时间、总台班数等。
(3)施工中主要资源需要量。包括施工设备所需的工具与材料(如模板、卡具等)资源、不同施工方案引起的结构材料消耗的增加量、不同施工方案能源消耗量(如电、燃料、水等)。
(4)主要工种工人需要量和劳动消耗量。包括总需要量、月或周平均需要量、高峰需要量等。
3)效果(效益)性指标
(1)工程效果指标
①工程施工工期。具体可用总工期、与工期定额相比的节约工期等指标。
②工程施工效率。可用进度实物工程量表示,如土方工程可用m3/月(m3/周、m3/台班、m3/工日或m3/小时等)表示。
(2)经济效果指标
①成本降低额或降低率。即实施该施工工艺方案后所可能取得的成本降低的额度或程度。
②材料资源节约额或节约率。即实施该施工工艺方案后材料资源的可能节约额度或程度。
4)其他指标
这是指上述3类指标之外的其他指标,如采用该工艺方案后对企业的技术装备、素质、信誉、市场竞争力和专有技术拥有程度等方面的影响。这些指标可以是定量的也可以是定性的。
13.3.2 主要施工工艺方案的经济性策略
1)模板工程方案的经济性策略
模板工程是支撑现浇筑混凝土的整个系统,对工程施工质量和工程成本影响较大。有统计数据表明,模板工程费用约占结构工程费用的30%,劳动量约占50%。常用的模板体系及技术经济特点对比分析如下:
(1)木模板。木材来源广泛,锯截方便,最早被人们用作模板工程材料。木模板主要优点是制作拼装随意,尤其适用于浇筑外形复杂、数量不多的混凝土结构或构件。此外,因木材导热系数低,混凝土冬期施工时,木模板具有一定的保温养护作用。
(2)钢模板。我国森林资源贫乏,木材供应短缺,“以钢代木”,用钢作为模板材料具有特别意义。组合钢模板是施工企业拥有量最大的一种钢模板。组合钢模板由钢模板及配件两部分组成。组合钢模板具有组装灵活、通用性强、安装工效高等优点,在使用和管理良好的情况下,周转使用次数可达100次。但一次性投资费用大。
(3)胶合板模板。胶合模板是国际上在土木工程施工中用量较大的一种模板材料。胶合板模板具有表面光滑,容易脱模;锯截方便,不翘曲、不开裂、开洞容易;模板强度和刚度较好,使用寿命较长,周转次数可达20~30次以上;材质轻,适宜加工大面积模板,板缝少,能满足清水混凝土施工的要求等优点。它在我国是具有发展前途的一种新型模板。
(4)塑料与玻璃钢模板。优点是质轻,易于加工成小曲率的曲面模板;缺点是材料价格偏高,模板刚度小。塑料与玻璃钢盆式模板主要用于现浇密肋楼板施工。
(5)新型模板体系。现浇混凝土结构施工,模板支撑配置量大,占用时间长,装拆劳动量大。因此,加快模板支撑周转使用,采用大面积工具式模板支撑,整块安装、整块拆除,能加快施工速度,减少现场作业量,降低工程施工费用。大模板、滑动模板、爬升模板、台模、早拆模板等正是能满足上述要求的新型模板体系,其中大模板,滑动模板以及爬升模板用于垂直结构的快速施工;台模和早拆模板用于水平结构的快速施工。
模板工程方案比较与评价的关键指标有:
①安装质量。应保证成型后混凝土结构或构件的形状、尺寸和相互位置的正确;模板拼装严密,不漏浆;构造要简单、装拆要方便,并便于钢筋绑扎和安装以及符合混凝土浇筑养护要求;有特殊要求的混凝土结构,如清水混凝土,模板应符合平整、光洁等要求。
②安全性。要有足够的承载能力、刚度和稳定性。保证在施工过程中,在各类荷载作用下不破坏、不倒塌,变形量在容许范围内,结构牢固稳定,同时确保工人操作的安全。
③经济性。要结合工程结构的具体情况和施工单位的具体条件,进行技术经济比较,择优选用模板方案。在确保工期、质量的前提下,能够快速拆装,多次周转,减少模板的支拆用具,减轻模板结构自重,做到节约模板费用。
2)桩基础工程施工方案的经济性策略
常用桩基础工程施工方案及技术经济特点对比分析如下:
(1)混凝土预制桩。混凝土预制桩是一种先预制桩构件,然后将其运至桩位处,用沉桩设备将它沉入或埋入土中而成的桩。其技术经济特点是混凝土预制桩桩身质量易保证,能承受较大的荷载,坚固耐久;施工机械化程度高,施工速度快,且不受气候条件变化的影响,是工程广泛应用的桩型之一。常用的有混凝土实心方桩和预应力混凝土空心管桩。
(2)钻孔灌注桩。钻孔灌注桩是指利用钻孔机械钻出桩孔,并在孔中浇筑混凝土(或先在孔中吊放钢筋笼)而成的桩。根据钻孔机械的钻头是否在土壤的含水层中施工,又分为泥浆护壁成孔和干作业成孔两种施工方法。其技术经济特点是两种成孔方法的灌注桩均具有无振动、无挤土、噪声小、对周围结构物的影响小等特点,适宜在硬的、半硬的、硬塑的和软塑的黏性土中施工。但是,其承载力较低,沉降量也大。
(3)沉管灌注桩。沉管灌注桩是指用锤击或振动的方法,将带有预制混凝土桩尖或钢活瓣桩尖的钢套管沉入土中,待沉入到规定的深度后,立即在管内浇筑混凝土或管内放入钢筋笼后再浇筑混凝土,随后拔出钢管套,并利用拔罐时的冲击或振动使混凝土捣实成桩。其技术经济特点是施工设备较简单,桩长可以随实际地质条件确定,经济效果好,尤其在有地下水、流沙、淤泥的情况下,可使施工大大简化。但其单桩承载能力低,在软土中易产生颈缩。
(4)人工挖孔灌注桩。人工挖孔灌注桩(简称人工挖孔桩)是以硬土层作为持力层,以端承力为主的一种基础形式,其直径可达1~3.5m,桩深60~80m。人工挖孔桩采用人工挖掘方法进行成孔,然后安放钢筋笼,浇筑混凝土而成的桩。其技术经济特点是单桩承载力高,受力性能好,既能承受垂直荷载,又能承受水平荷载;设备简单,无噪声、无振动,对施工现场周围原有建筑物的危害影响小;经济效益好,挖孔桩要比钻孔桩单位造价节约30%以上,造价较低;施工场地条件要求较低,施工准备时间短,可同时多孔开挖。但其缺点是人工耗量大,开挖效率低,安全操作条件差等。
桩基础施工方案评价的关键指标包括:
①成桩质量。保证桩具有足够的承载力,平面位置或垂直度必须符合施工规范要求。
②环保要求。施工时,尽量减少对周围建筑物的影响。噪声、振动控制在一定范围以内,不影响周围居民的正常生活。
③经济性。根据工程地质条件,进行技术经济比较,在确保质量、环保的前提下,选择成本费用低,成桩速度快的桩型。
3)土壁支护工程方案的经济性策略
开挖基坑(槽)或管沟时,如果地质和场地周围条件允许,采用放坡开挖,往往是比较经济的。但在建筑物密集地区施工,有时没有足够的场地按规定的放坡宽度开挖,或有防止地下水渗入基坑要求,或深基坑(槽)放坡开挖所增加的土方量过大,此时需要用土壁支护结构来支撑土壁。常用的土壁支护工程方案及技术经济特点对比分析如下:
(1)板桩支护。板桩是一种支护结构,可用于抵抗土和水所产生的水平压力,既挡土又挡水(连续板桩)。当开挖的基坑较深,地下水位较高且有可能发生流沙时,如果未采用井点降水方法,则宜采用板桩支护,防止流沙产生。在靠近原建筑物开挖基坑(槽)时,为了防止原有建筑物基础下沉,通常也可采用板桩支护。
(2)灌注桩支护。用灌注桩作为深基坑开挖时的土壁支护结构具有布置灵活、施工简便、成桩快、价格低等优点。灌注桩施工可采用人工挖孔灌注桩、干挖孔灌注桩、钻孔(泥浆护壁)灌注桩、螺旋钻孔灌注桩、沉管灌注桩等。将灌注桩连续排列成一种连续式挡土结构,当排列紧密时可起防渗作用,从而不需要井点降水,挡土挡水一次完成。
(3)深层搅拌桩支护。深层搅拌桩是加固饱和软黏土地基的一种方法,它利用水泥、石灰等作为固化剂,通过深层搅拌机械就地将软土和固化剂强制搅拌,利用固化剂和软土间所产生的物理化学反应,使软土硬结成具有整体性、水稳定性和一定强度的地基。当用作支护结构时,可作为重力式挡土墙,利用其自身重量挡土,同时,连续搭接形成的连续结构可兼作止水结构。深层搅拌桩不适用于含有大量砖瓦的填土、厚度较大的碎石土、硬塑及硬塑以上的黏性土和中密及中密以上的砂性土。
土壁支护工程方案评价的关键指标有:
①质量要求。支护结构必须牢固可靠,平面位置或垂直度必须符合施工规范要求,位移偏差量在一定范围内。
②安全性。减少或消除对相邻已有建筑物等的不利影响,支护结构要有足够的承载能力、刚度和稳定性,保证施工过程中支护结构在各类荷载作用下不破坏、不倒塌,变形量在容许范围内,并确保施工操作人员的安全。
③经济性。根据工程地质条件,选择施工成本低、速度快的方案,且便于后续工作的展开。
4)脚手架工程方案的经济性策略
脚手架是在施工现场为安全防护、工人操作以及解决少量上料和堆料而搭设的临时结构架。脚手架搭设方案选择合适与否,将直接影响到工程进度、质量、安全及经济效益。常用的脚手架工程方案及技术经济对比分析如下:
(1)落地式脚手架。落地式脚手架搭设在结构物外围地面上,主要搭设方法为立杆双排搭设。因受立杆承载力限制,所以该脚手架搭设高度多控制在40m以下。在房屋砖混结构施工中,该脚手架兼作砌筑、装修和防护之用;在多层框架结构施工中,该脚手架主要作装修和防护之用。此种形式对建筑物形成全封闭施工,安全性较好,但材料用量大,占用时间长,且费工费时。
(2)型钢悬挑脚手架。型钢悬挑脚手架是搭设在建筑物外边缘向外伸出的悬挑结构上(一般采用槽钢或工字钢),脚手架荷载由悬挑结构传递到建筑物上。此种形式将建筑物分成若干个高度段向上倒换搭设成部分封闭形式,较全封闭施工可节省大量架体材料,但需在高空进行反复搭拆作业,工人劳动强度较大、安全性较差。分段悬挑脚手架的高度一般控制在25m以内。
(3)悬挂式脚手。悬挂式脚手架是搭设在型钢焊接制作的三角桁架下撑式结构上,脚手架荷载由三角桁架传递给建筑物。此种形式投入架体材料与型钢悬挑脚手架相差不大,减少了高空搭拆作业,但需借助塔吊进行倒运,塔吊吊装能力和利用率较高,且一般仅用于外墙为剪力墙结构。
(4)爬升脚手架。爬升脚手架只需搭设一定高度(一般在4~5层楼层高)便可满足施工要求。爬升脚手架可节省大量架体材料,一次安装,多次进行循环升降,避免了高空搭拆作业,安全性高。利用爬升系统可以实现自身升降,无需塔吊,大大提高了工效,尤其适用于超高层建筑。
脚手架工程方案评价的关键指标有:
①安全性。脚手架方案要能保证施工人员的安全性和防止高空坠落物对现场人员和现场外的行人造成伤害,脚手材料需符合要求,搭设牢固,升高后要绑扎防护栏杆、挂安全网,脚手板要密铺,同时要保证搭设作业人员的安全性。
②搭设速度。脚手架搭设速度对工程施工进度有较大影响,所以要考虑采用方案的搭设速度与施工工期的关系,并考虑尽量减少占用塔吊等垂直运输设施的时间,以避免影响其他施工作业的进度。
③经济性。脚手架占用较多的周转材料、机具等,减少脚手材料使用量及提高周转使用速度可节省施工成本。
13.3.3 复杂施工工艺方案的综合比选技术
简单的施工工艺方案可凭借项目管理者的经验或采用在本书13.2中所介绍的一些静态分析方法进行简单计算后就可以确定施工方案,而对于复杂的施工工艺方案则需要进行多指标综合比较优选。
(1)专家论证会法
专家论证会法是一种定性分析技术,通过专家会议方法搜集专家的经验和建议,对施工工艺方案进行比选和优化。基本做法是,首先由施工单位提出两个或两个以上的施工方案;然后,施工单位组织参与项目建设的建设单位或项目管理公司、监理单位、设计单位相关专业领域的工程技术人员及邀请的外部本行业内工程专家组成专家组,采用会议形式,由专家们通过“头脑风暴”对施工工艺方案进行主观定性的分析和讨论,根据各自经验发表对方案的意见,找出各方案的优点和缺点,或者提出其他的可行方案;最后,施工单位根据专家论证会的结果,对施工方案修改,并确定最终实施方案。该方法比较简单实用,是目前广泛使用的一种方法。
(2)逐步综合优选法
逐步综合优选法是首先对综合评价指标体系的各指标重要性进行比较,按重要性从高到低对指标进行排序,比较的方法可以是定性的直接排序,也可以采用层次分析法等方法。然后,根据排在第一的指标对各施工方案进行比较,淘汰该指标相对较差的施工方案,或者采用末位淘汰制淘汰施工方案。再根据排在第二的指标比较未淘汰的方案,以此类推,将所有指标比较完毕。如果还不能从剩余的方案中选择出最优方案,还可以进行第二轮,直至最终选择出最佳的方案。这一方法的一个简化做法是首先对各方案按技术指标进行比较,淘汰技术指标比较差的施工工艺方案,然后再按经济效果指标对余下的施工方案进行比较,最终选出技术上可行、经济合理的施工工艺方案。
(3)模糊综合优选法
模糊综合优选法,又称为模糊综合评价法,是一种基于模糊数学的评价方法。该方法根据模糊数学的隶属度理论把定性评价转化为定量评价,即可用模糊数学对受到多种因素制约的施工方案做出一个总体的评价。它具有结果清晰、系统性强的特点,能较好地解决施工工艺方案评价时遇到的一些指标值难以定量化或者不确定的问题,为复杂工程施工中一些带有较大模糊性、不确定性和需要全局寻优的实际问题的有效解决提供了一种新的方法。由于该方法涉及一些较复杂的数学计算,所以实践中用的并不多。
【例13.3】(资料来源:刘周学、王胜、刘汉进,2011:P117~121)北京某工程,地上建筑面积43200m2,标准层建筑面积1600m2地下4层,地上27层,地上标准层层高为3.40m、3.55m,建筑高度103.5m,主体结构形式为框架—核心筒结构,外墙面积18350m2。主体结构施工工期确定为11个月。
施工单位在脚手架方案选择过程中,首先对各可行的方案进行技术效果的对比(表13.5)。考虑施工工期紧,垂直运输设备资源占用率,初步确定型钢悬挑式和电动导轨爬升式两个备选方案。
表13.5 例13.3几种脚手架方案的技术效果对比

对这两个技术上可行的方案进行成本分析,结果见表13.6。
表13.6 例13.3两个方案的成本分析

从成本计算结果可知,电动导轨爬升式脚手架在经济上有一定优势,并具有较高的安全性和技术成熟性,在京津等地普遍采用。经过对比选择,外脚手架方案最终采用了电动导轨式外爬架整体提升,共设置35套机位,施工速度满足11个月的工期要求。
13.4 施工组织方案的经济性分析与比较
施工组织方案是指单位工程以及包括若干个单位工程的建筑群体的施工过程的总体组织与安排方案,包括施工准备、劳动力计划、材料计划、人员安排、施工时间、现场布置及施工作业方法等。
13.4.1 施工组织方案的评价指标体系
研究施工组织方案的最终目的是通过比选确定合理的总工期和重大的施工措施,并在总工期内有计划、有步骤地完成各类工程建设,并取得经济效益。进度、质量、安全和成本指标是衡量施工组织方案是否适用、是否优越的关键性指标。施工企业在优化施工组织方案时,首先要明确方案优化的目的,分析进度、质量、安全指标与成本指标的关系,从而确定出评价指标体系。评价施工组织方案的技术经济指标包括:
1)技术性指标
(1)工程特征指标。如建筑面积、各主要分部分项的工程量等。
(2)组织特征指标。如施工工作面的大小、人员的配备、机械设备的配备、划分的施工段、流水步距与节拍等。
2)消耗性指标
(1)工程施工成本。
(2)主要施工机械耗用量。
(3)主要材料资源耗用量。这主要是指进行施工过程必须消耗的主要材料资源(如道轨、枕木、道碴、模板材料、工具式支撑、脚手架材料等),一般不包括构成工程实体的材料消耗。
(4)劳动消耗量。可用总工日数、分时期的总工日数、最高峰工日数、平均月工日数等指标表示。
3)效果指标
(1)工程效果指标
①工程施工工期。
②工程施工效率。
③施工机械效率。可用两个指标评价:一是主要大型机械单位工程量(单位面积、长度或体积等)耗用台班数;二是施工机械利用率,即主要机械在施工现场的工作总台班数与在现场的日历天数的比值。
④劳动效率(劳动生产率)。可用三个指标评价:一是单位工程量(单位面积、长度或体积等)用工数(如:总工日数/建筑面积);二是分工种的每工产量(m、m2、m3或吨/工日);三是生产工人的日产值(元/工日)。
⑤施工均衡性。可用下列指标评价(系数越大越不均衡):

(2)经济效果指标
①成本降低额或降低率。可用工程施工成本和临时设施成本的节约额或节约率等指标。
②材料资源节约额或节约率。即实施该施工工艺方案后所采用的材料资源的可能节约额度或程度。
③总工日节约额。
④主要机械台班节约额。
4)其他指标,如缩短工期的节约固定费用、生产资金节约额、提前竣工奖励等。
13.4.2 施工组织方案的经济性策略
施工组织方案的经济性策略主要依据施工设计图纸和说明书,决定以何种施工顺序来组织项目施工,决定劳动力计划与人员安排和材料安排,采用哪种施工方法和机械设备,现场平面如何布置,在施工合同规定的条件下,制定和选择技术可行、保证安全、经济合理的施工组织方案。
1)确定施工顺序的经济性策略
施工顺序的作用在于可以在不增加额外资源投资的同时,加快施工进度,减少施工工期,将原来的施工成本降低,即可降低施工成本和机械设备的固定折旧费以及相应缩短工期时间内的间接成本。根据工程性质、施工条件不同,科学合理地安排施工顺序,能够使施工过程在时间上和空间上做到经济的实现。
确定施工顺序时,除了考虑必须遵循施工程序,符合施工工艺的要求,满足施工质量的要求,满足合同工期要求等技术指标外,还要重点考虑:
(1)施工顺序安排能减少施工工作量和施工便利性。例如,地下室的混凝土地坪,可以在地下室的上层楼板铺设以前施工,也可以在上层楼板铺设以后施工,但前者更为经济合理,因为它便于利用安装楼板的起重机向地下室运送混凝土。
(2)必须考虑当地的气候条件。建筑施工大部分是露天作业,受气候影响较大。在确定施工顺序时,应重视当地气候对施工的影响。例如,土方、砌体、混凝土、屋面等工程应尽量避开冬雨期。在冬雨期到来之前,应先完成室外各项施工过程,为室内施工创造条件。
(3)必须考虑施工安全要求。合理的施工顺序,必须使各施工过程的搭接不至于引起安全事故。例如,不能在同一施工段上一边在吊装屋面板,一边又进行其他作业。多层房屋施工,只有在已经有层间楼板或坚固的临时铺板把一个一个楼层分隔开的条件下,才允许同时在各个楼层开展工作。
2)计划安排的经济性策略
施工计划包括进度计划、劳动力计划、主要材料需求量计划和施工机具需求量计划等。计划安排的经济性策略一方面要考虑各计划本身如何安排更经济的问题,另一方面各计划之间相互影响的经济性。
(1)进度计划
进度计划的安排首先要考虑施工合同中对工期的约定,其次要考虑施工顺序安排的经济性,最后还要考虑各类施工资源的可得性。进度计划方案的经济性,要结合这三个方面综合考虑进行取舍。
实现进度计划经济性的策略过程如下:先按所确定的合理施工顺序及各类施工资源的可得性和均衡性确定初步的进度计划方案,这是一个最经济的进度计划方案;然后,将合同约定工期与初步进度计划进行比选,以确定是否需要调整进度计划方案。如果合同工期长于进度计划,则可按目前的进度计划实施;如果合同工期短于初步进度计划方案,则需要调整进度计划,压缩某些工序的工作时间,满足合同工期的要求,并将压缩工期所增加的成本计入工程报价中;如果施工合同中约定了竣工工期提前奖励条款,则要测算提前竣工需要增加的成本,并与所得的奖励比较,确定是否值得提前竣工,以决定是否需要调整进度计划方案。
此外,一般施工合同中都含有超期惩罚条款,由于施工过程中不可知的干扰因素较多,工程施工超期现象时常发生,因此进度计划方案所确定的工期应略短于合同工期,留下适当的机动时间,以保证进度计划方案能应对工期风险。机动时间长短的确定依据施工企业在这一类工程及相应施工地区所积累的经验。
(2)劳动力计划
劳动力计划和人员安排直接影响施工方案的劳动消耗量经济效果指标的大小。劳动力计划及各工种人员安排:一是要遵循施工顺序,二是考虑企业相应工种劳动力资源的可得性,三是要考虑现场人员的均衡性。
劳动力计划方案经济性的策略过程如下:先根据进度计划及施工顺序,确定初步的劳动力计划方案,包括所需劳动力工种的时间及数量。然后,根据劳动力资源的可得性(即,企业是否能保证在进度计划相应时间点提供相应工种及数量的人员),在不能得到保证的情况下,在合同工期允许的范围内调整劳动力计划方案。超出合同工期允许调整的范围,则必须考虑增加相应工种劳动力的雇佣,并测算增加的雇佣成本,并计入施工报价中。最后,还需要考虑现场人员的均衡性,即避免施工期间现场人员数量的剧烈变化,保证基本呈现一个逐步增加和逐步减少,并且是高峰点较低的劳动力需求曲线图。均衡的劳动力需求计划有利于减少现场临时生活设施费用、现场管理费用和劳动力集聚所产生的窝工问题。
(3)施工机具计划
施工机具计划包括施工机械和施工所需要的周转材料(模板、脚手、支撑等材料)及工具与器具的使用计划。施工机具计划安排:一是要考虑施工顺序的要求,二是要考虑企业资源的可得性,三是要考虑施工作业面的限制。
施工机具计划方案经济性的策略过程如下:先根据进度计划及施工顺序,确定初步的施工机具计划方案,包括所需机具种类、时间及数量;其次,确定因作业面、工艺或工种交叉作业等限制对现场同时作业的机具数量限制,据此调整机具计划,必要时还需要调整进度计划中各工序的工作时间,以满足总工期的要求和作业面等限制;再次,考虑企业机具资源的可得性,确定需要租赁机具的数量,并将增加的成本计入报价内;最后,结合施工工艺方案的优化和施工顺序的调整,提高现场机具的利用率、减少机具使用量和缩短机具在现场的占用周期。
(4)主要材料计划
主要材料包括施工需求量大的材料和因缺货可能引起工期延误的关键材料。主要材料的计划安排:一是考虑进度计划的要求,二是考虑现场堆场或仓库容量的限制,三是考虑订货与供货到现场的时间差,四是考虑材料运输的限制。
主要材料计划方案经济性的策略主要是在保证施工进度对材料需求量的前提下,尽量减少材料的库存,以减少资金的占用量,提高企业流动资金的利用效率。通常,先根据进度计划,确定材料需求量,包括各施工阶段的材料需求种类及数量;其次,根据现场堆场或仓库的容量,确定各类材料的进场批次、批次的材料数量和时间间隔的初步方案;最后,在保证施工正常进行的情况下,优化供货周期和供货数量,使材料库存量最小,并考虑现场和周边运输条件限制,采取一次订货分批供货的方式,既可降低材料库存费用,又能保证不会出现因缺货造成的停工损失现象。
3)现场平面布置方案
施工平面布置是确定施工场地、交通及各项施工设施的规模、位置和相互关系的设计工作,具体可分为基础施工平面布置、主体施工平面布置和装饰阶段的施工平面布置。施工组织平面布置方案直接决定了施工成本的其他直接费(措施费),也间接影响直接费的多少。根据施工特点和施工条件制定合理的施工平面布置方案,可以避免施工设施反复搬迁、地下工程反复开挖、土方往返运输等浪费现象;可以降低运输费用、保证运输方便;可以减少临时性建筑物的修建费用,减少临时占地,降低临时占地的租地及青苗补偿等费用。
施工平面布置方案选择和确定的关键经济性策略是根据主体工程布置,结合工程所在地区的地形、经济等因素,对工程所在地的施工交通、工厂设施、生活建筑、料场规划、弃渣等在平面上和高程上进行协调和统筹规划,对供电、供水、排水及各单体工程相互间的联系道路、弃渣场地等进行全面考虑,力求做到既方便生产和管理,又运行安全可靠。例如,砂石料系统和混凝土拌和系统两者距离就不能布置得太远,否则就需要增设中转料仓;砂石料加工系统借助自然高差进行布置,可节省土建工程量;仓储系统应布置得使进货和出货不倒运,较合理的布置方案。
13.4.3 施工组织方案的优化技术
施工组织方案制定不像施工工艺方案制定那样,可提出多个有明显区别的方案。因此,通常在提出初步的组织方案后,再进行优化,逐步逼近最合理的方案。最常用的优化技术是直观归纳法,即根据搜集的直观材料,方案制定者或项目管理者依据自身的经验和分析能力,对施工组织方案进行直观优化。下面介绍一些其他的优化技术。
1)资源需要量的优化方法
资源均衡是资源需求量优化的目标。资源均衡是指在一定时间内合理安排工序的持续时间,使可供使用的资源被均衡地消耗。一般来说,理想的资源计划安排是一条平行于时间坐标轴的直线,即保持每日资源需求量不变。然而,由于施工生产的天然不均衡性,单位时间内对于资源的需求量上下波动,需求量不均的现象时常出现。资源均衡优化的目的就是在保证预定工期的前提下,削减资源使用的峰值,使资源曲线趋于平缓。
资源需要量的优化一般是采用网络计划来调整资源计划的方法,主要有削峰法和方差法两种方法。削峰法是指根据进度计划的资源需求量动态变化曲线,调整资源使用峰值时段内的部分工序的开工时间,尽可能降低最大资源的使用峰值,从而减小资源动态曲线的波动幅度。资源均衡削峰法是对进度计划影响最小,也是在各种方法中最为方便的调整办法。但是,在大型工程项目中该方法对实现资源均衡目的的效用不大,所以通常基于固定工期采用方差法进行资源均衡优化。对于多资源的综合均衡优化,可采用模糊矩阵,首先确定资源优先顺序,再逐一应用单资源均衡的简化方法,并考虑资金时间价值因素实现多资源均衡优化。
2)资源调配计划优化
劳动力计划优化一般按以下过程逐步进行:在施工开始阶段,调入少量工人进入工地做准备工作;随着准备工作的进展,调入工地的工人人数应逐步增加,当工程施工全面展开时,工人人数达到施工项目所需的最大额,然后保持其稳定,慢慢的直到工程结尾阶段,工人逐步分批撤离工地,最后只流下少量工人完成收尾工作。按照此做法可以有效地避免人工数量的骤增骤减,减少劳动力调遣费,减少临时工程,减少工具设备,减少生活供应的工作量,减少施工管理费用,从而达到有效控制施工成本的目的。
施工机具计划优化依据已确定的施工方案及施工进度计划,在已选定施工机具、设备的种类、规格、数量后,合理确定机具进场和退场的时间,尽量避免施工机具在现场的闲置,提高机具的利用效率,降低施工机械费用。
材料供应计划优化应是在不影响施工进度计划的同时,尽量减少材料的运输费和仓储管理费。因此,主要材料供应计划优化的关键是确定合适的现场材料储备数量,因为储备量过多会增加相应的管理费用,储备量较少则可能会造成缺货损失。对于大宗材料,优化方法是在保证施工正常进行的情况下,通过优化订货周期和订货数量,使材料库存量最小,库存总费用最少。对于用量不多的零星材料或者工程本身规模较小,可在材料使用前全部供应齐全,从而降低采购与运输费用。
3)平面布置的优化方法
由于不同工程项目的场地条件是不同的,所以平面布置的优化应该结合具体工程项目的特点。如平原地区的场地和山区的场地平面布置优化不同,施工场地是下期扩建的征地与临时租赁用地的平面布置优化也不同。另外,场地水、电、通讯等条件的变化也会引起平面布置优化的变化。平面布置优化遵循基本的原则是“因地制宜、因时制宜;有利生产、方便生活、易于管理;安全可靠、经济合理”。
施工平面布置不当会引发场地冲突,增加现场管理费用并可能延误工期,所以场地平面布置优化的关键是解决施工过程中产生的场地冲突。场地布置的优化方法是对冲突的原因和程度作充分的评估之后,根据实际情况,综合考虑解决方案。随着人工智能的发展,计算机技术在场地总平面布置优化方面得到越来越广泛的应用。例如,一些大型工程施工中,应用计算机图形技术以形象的三维实体图形表现施工进度与场地布置,并对项目施工计划和进度进行实时控制管理,提高了施工现场布置设计的有效性;基于地理信息系统(GIS),运用工程系统可视化仿真理论,研究施工场地布置的可视化也成为这一领域一个新的研究方向。
【例13.4】(资料来源:何茂祥,1993:P10-14)某新建铁路工程(久平至东平)的线路位置及交通关系如图13.4所示,该工程施工包括遂道、桥梁、土石方和铺轨及架梁等工程。铺轨及架梁工程的施工组织方案比选主要考虑以下要素:①铺轨及架梁的各种工程数量;②铺轨、架梁方向及基地设置;③钢轨、枕木及各类梁体和构件的来源;④道碴的来源;⑤各类材料及构件的运输方法及运距;⑥铺架工程的施工方法及施工机械;⑦施工定额或类似工程统计定额及经济比较指标。

图13.4 某铁路工程的线路位置及交通关系图
(1)初步方案
①单向铺轨方案
由东平至久平(仅在东平设立铺轨、存梁基地),正线铺轨228km,站线铺轨13km(每站先铺一股道及两组道岔),架梁658孔。经计算,铺轨架梁总工期13个月,其中:东平至东武站(含站)6个月,东武站(不含站)至久平7个月。全线正线铺轨计划16个月竣工。
②双向铺轨方案
北从久平起、南从东平起,向东武站铺轨(在久平和东平均设铺轨、存梁基地)。北端正线铺轨72km,站线铺轨4km(每站先铺一股道及两组道岔),架梁448孔。南端正线铺轨156km,站线铺轨9km(每站先铺一股道两组道岔),架梁210孔。全线正线铺轨计划18个月竣工。北端为桥隧群段,铺轨量小,架梁量大。
③材料供应条件
·16m梁:富溪供应。
·24m、32m梁:树州供应。
·钢轨、道岔:马钢供应。
·木枕、岔枕:凤潭供应。
·钢筋混凝土枕:富溪供应。
·底碴:就地供应。
·面碴:石县供应。
(2)方案对比
不同方案的进料方向并不相同。据调查资料,目前凤潭至外州铁路的货运量已达饱和状态。如果单向铺轨,久平至东武段448孔梁及轨料约13万吨运量则必须由该段铁路承担。尤其是梁的运输,运量和运能矛盾较大,施工过程中出现不能及时供货的风险较大,分流供货显得极有必要。其次,东平站的供铺轨和存梁使用的基地比较狭窄,场地布置较困难;而久平站不仅场地宽广,且侧峰至久平支线比较空闲,平均每天只有1~2趟货物列车,有较大的富余运输能力可供工程使用。两方案的运输与储存成本计算与比较见表13.7所示。
表13.7 例13.4两方案运输与储存成本比较

续表13.7

再比较两方案对总工期的影响。图13.5是单向铺轨方案和双向铺轨方案的进度计划对比,可以看出,无论采用哪种铺轨方案,对铺轨通车的总工期均无太大的影响。

图13.5 例13.4单项铺轨方案与双向铺轨方案的进度计划比较
(3)结论
方案比较结果表明,影响总工期的关键是分关隧道,所以无论采用哪一个铺轨方案,对铺轨通车的工期均无太大影响,但双向铺轨方案可减少运输与仓储费用124万元,并可克服运量和运能的矛盾。据此,推荐双向铺轨方案。
习 题
1.互联网上查找并阅读《绿色施工导则》(原建设部建质[2007]223号文),结合认识实践中对施工现场的感性认识,讨论开展绿色施工的必要性。
2.分析强调施工方案综合效益观的意义及其与工程经济性的关系。
3.针对一种专业工程(如模板工程、脚手架工程等)常用的施工方案,搜集相关文献资料,讨论其经济性策略。
4.实地观察几个施工现场,讨论它们在施工平面布置上优点与缺点,分析可能对施工经济性产生的影响。
5.某施工单位总包承建一住宅群项目的施工任务,该项目的混凝土总需要量为10000m3,有三个备选的混凝土供应方案(短期方案,不考虑资金时间价值):
(A)现场集中搅拌混凝土方案。现场建一个搅拌站,初期一次性建设费用,包括地坑基础、骨料仓库、设备的运输及装拆等费用,总共100000元;搅拌设备的租金与维修费为23000元/月;每m3混凝土的制作费用,包括水泥、骨料、添加剂、水电及工资等总共为270元。
(B)现场分散搅拌混凝土方案。利用本单位现有的四台闲置的搅拌机(每台每年的折旧费1200元),设四个搅拌点。搅拌点的建设费用总共10000元。由于较为分散,易造成窝工现象,一个月内竣工平均每m3混凝土制作成本为280元,工期每延长一个月平均每m3混凝土成本递增2.5元。
(C)商品混凝土方案。由某构件厂供应商品混凝土,送到施工现场的价格为315元/m3。请在不同工期(计量单位:月)条件下,对这三个方案进行经济分析,确定最经济的方案。





.jpg)
.jpg)
