
三相电路自19世纪末问世以来,一直在电力系统的发电、输电和供电等方面占统治地位,这是因为三相制在技术和经济方面有许多优点。所谓三相制,就是由三相电源供电的体系。三相电源是能够同时产生3个频率相同、波形相同而变动进程不同的交变电压的电源。三相发电机就是通常的三相电源。在三相电源中的这三个频率相同、波形相同而变动进程不同的交变电压,称为三相电压。三相电压可用3个电压源表示,如图4-1所示,A、B、C标记正极性端,X、Y、Z标记负极性端。每一个电压源称为三相电源的一相,分别称为A相、B相、C相,电源电压分别记为uA、uB、uC。
三相电压一般是3个频率相同、幅值相同而相位差120°的正弦电压,称为对称三相正弦电压,它们的瞬时值表达式(以uA为参考正弦量)为

图4-1 三相电源

其波形图如图4-2(a)所示。它们的相量表示式为

所以对称三相正弦电压的相量和与瞬时值之和也恒等于零,即

图4-2 对称三相正弦电压
相量图如图4-2(b)所示。
在三相电源中,各相电压到达同一值(正的幅值)的先后次序称为相序。图4-2所示的三相电压的相序是A-B-C。这种相序是A相超前B相,B相超前C相,即从超前相到落后相的次序是A-B-C,称为顺相序或正序。如果A相落后B相,B相又落后C相,即从超前相到落后相的次序是C-B-A,称为逆相序或负序。如无特殊声明,讨论的三相电源为正序。
三相电源对外供电时有两种基本连接方式:星形(Y形)连接和三角形(△形)连接。图4-3是三相电源的星形连接,3个电压源的负极性端X,Y,Z连在一起形成一个节点,称为电源的中性点,标记为N。从电源中性点N的引出线NN,称为中线(俗称零线)。从3个电压源正极性端A、B、C向外引出线AA、 BB、CC称为端线(俗称火线)。
星形连接三相电源端点A、B、C间的电压称为线电压,分别记为
A。端点与中性点间的电压称为相电压,分别记为
,通常简记为
C。根据KVL,线电压与相电压的关系为

图4-3 三相电源的星形连接

对于对称三相电源,即
,代入上述关系式中,得

上式又可写成

式(4-3)表明,对称三相电源作星形连接时,线电压也是对称的,线电压的有效值Ul是相电压有效值
的
倍,即
,而线电压超前先行相的相电压30°(如线电压
是由相电压
与
构成的,其中
先行于
,则
超前
30°)

图4-4 星形连接电压源的相量图
图4-5(a)所示为三相电源的三角形(△形)连接,即把3个电压源的端点X与B、Y与C、Z与A相接构成一个回路,再从A、B、C引出端线来。应当指出,三相电源作为三角形连接时,

图4-5 三相电源的三角形连接
要保证接线正确。当接线正确时,三角形闭合回路内各电源电压的代数和为零,即![]()
。可以保证在没有接负载的情况下,电源内部没有环流。但是,如果将某一相电压源(如A相)接反,则三角形回路内各电压源的源电压的代数和为
![]()
是一相电压的两倍,如图4-5(b)所示。由于电源内阻抗很小,在三角形回路内会造成极大的环流,使电源烧毁。三相电源作三角形连接时,线电压等于相电压,即,![]()
。
三相制中的三相负载是由三部分组成,每一部分称为一相负载。当每一相负载具有相同的参数时,这种三相负载称为对称三相负载。三相负载也有星形和三角形两种连接方式。
由三相电源和三相负载连接起来组成的系统,称为三相电路。三相电路有Y-Y连接,Y-△连接,△-Y连接和△-△连接等4种类型。图4-6所示为Y-Y连接的三相电路,其中图4-6(a)所示为三相四线制。
在三相电路中,流经各端线的电流称为线电流,而流过各相电源或各相负载的电流称为相电流。在图4-6(a)所示的Y-Y连接的三相四线制中,
是相电流,也是线电流。中线电流为
![]()
如果相电流
对称,即幅值相等,彼此相差为120°,则
,这时可把中线省去,则得图4-6(b)所示的三相电路,称为三相三线制。

图4-6 Y-Y连接的三相电路
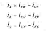
图4-7(a)为△-△连接的三相电路。对三角形负载,
为相电流,
为线电流,显然线电流与相电流不等。根据KCL,它们之间的关系为

图4-7 △-△连接的三相电路
如果三个相电流是对称的,即
,代入上述关系式中,则得

上式又可写成


图4-8 例4-1图
例4-1 图4-8所示三相电路中,电源的三相电压对称,其线电压为380V,试求:
(1)对称三相负载每相阻抗ZA =ZB =ZC =40 +j30(Ω)时的相电流和中线电流。
(2)断开中线后的相电流。
(3)保留中线,把ZC改为50Ω时的相电流和中线电流。
解 (1)由于电源相电压对称,则相电压为

设
。各相电流为
中线电流为

(2)由于相电流对称,中线电流为零,断开中线时3个相电流不变。
(3)当ZC改为50Ω时,
是不变的,而

中线电流为

上一篇:南乡子·登京口北固亭有怀
下一篇:口腔溃疡散





.jpg)
.jpg)
