
7.4.8 同相运算放大电路
同相运算放大电路通常包括同相比例运算放大电路和同相加法运算放大电路,这种电路的输出与输入之间呈现同相关系。同相运算放大电路中的输入信号从运算放大器的同相输入端送入。
值得注意的是,在由运算放大器组成的同相运算电路中,因同相输入端不再接地,其反相输入端也就不再是虚地点,但仍有V-≈V+,i-≈0,i+≈0。
1.同相比例运算
同相比例运算放大器如图7.4-32(a),由于i-≈0,因此反相输入端的电压
![]()
再利用V-≈V+,得ui=V+=V-=
所以,同相运算关系uo=
当RF=0,R1→∞时,
=1,所以,
uo=ui
称此时的同相比例运算电路为电压跟随器,或称缓冲器,电路如图7.4-33所示。

图7.4-32 同相运算放大器

图7.4-33 电压跟随器
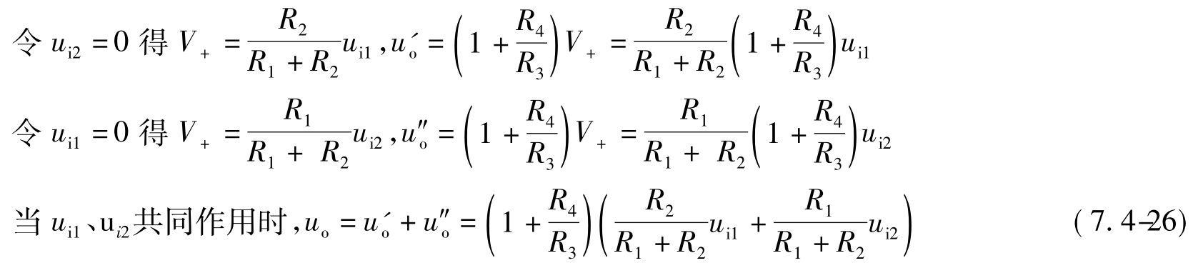
2.同相求和运算
同相求和运算电路如图7.4-32(b)所示,该电路有两个激励,利用叠加原理分析如下:

【例7.4-8】在图7.4-34示运算放大器应用电路中,电路参数已知,那么在输入信号ui的作用下,输出uo等于( )。
![]()

图7.4-34 例7.4-8图

解:答案为选项(B)。本题为两级放大电路。设第一级放大电路的输出电压为uo1,它的同相端为V+,对于第一级为电压跟随器,其输出uo1=V+,而

第二级为反相比例放大电路,uo=
,因此,uo=-
,答案为(B)。
上一篇:疏花疏果技术
下一篇:湖北动画产业发展战略研究





.jpg)
.jpg)
