
3.4 离散LTI系统的零极点分析
要进行离散系统的零极点分析首先要了解传递函数的概念。传递函数法是用两个z域上的多项式之商来表示数字滤波器,这是表示线性系统的最基本方法之一。传递函数的表达式为
![]()
其中b(1), b(2), …, b(M+1)和a(1), a(2), …, a(N+1)为滤波器系数,k为一常系数,称为增益系数。在MATLAB中,一个滤波器用两个行向量
b =(b(1), b(2), …, b(M+1)),
a =(a(1), a(2), …, a(N+1))
来表示,其中b和a没有除1之外的共同常数因子。
若滤波器函数
![]()
满足H(z0)=0,则称z0为其零点;若其满足
,则称zp为函数的极点。函数的零极点图绘出了函数的各个零点和极点。在零极点图上,零点以“○”表示,极点以“× ”表示。如果函数包含有重根,或者重极点,比如(x-a)n形式的方程求解所得结果,在零极点图上,在各点的附近用函数中重根个数标示。
MATLAB工具栏提供了函数zplane,zplane可用来显示离散系统的零极点图。函数zplane(b, a)自动设定坐标刻度,以便绘出所有的零极点。函数中, a和b为行向量, zplane首先利用函数找出由分子系数和分母系数构成的传递函数的极值点,然后再绘出零极点。若a和b为列向量,则直接画出以a中元素为零点,b中元素为极点的零极点图。
例3.11 一系统在-0.5处有一个零点,同时有一对复极点,画出其零极点图。

得到的零极点图如图3-13所示。
例3.12 考虑一个利用传递函数法表示的滤波器
![]()
画出其零极点图。
在MATLAB中输入:
>>b =[1-1.6 0.65-0.05] ;

图3-13 例3.11零极点图
>>a =[1-7.3 12.1-3] ;
>>zplane(b, a)

图3-14 例3.12零极点图
得到H(z)的零极点图如图3-14所示。
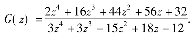
例3.13 把下面的传递函数表示成因子乘积的形式,并画出它的零点及极点:
![]()
我们利用下面的MATLAB程序来执行因子化,并画出其零极点图。

zplane(num, den)
运行上述程序并输入分子系数向量[2 16 44 56 32]和分母系数[3 3-15 18-12]向量得到:


其零极点图如图3-15所示。

图3-15 例3.13零极点图
例3.14 设一个传递函数的零点在
δ1=0.21, δ2=3.14,
δ3=-0.3+0.5j, δ4=-0.3-0.5j,
极点在
η1=-0.45, η2=0.67,
η3=0.81+0.72j, η4=0.81-0.72j,
并且其增益系数k为2.2。求该传递函数的分子和分母系数,并画出其零极点图。
MATLAB方法如下:

运行上述程序并按要求输入零点向量、极点向量及增益系数得到:

其零极点图如图3-16所示。

图3-16 例3.14零极点图
上一篇:弹性福利计划
下一篇:基因中插入一条dna序列如何转录





.jpg)
.jpg)
