
第3章 研究气固悬浮系统的主要参数
气固悬浮系统和气固悬浮体是指气流和离散颗粒构成的混合物,它是形成气固两相流的物质。该名词在本书后面的内容中将频繁出现。
在进行气固悬浮系统的流动研究和建立基本方程之前,有必要先了解一下悬浮系统中气体与颗粒群在动量传递过程中将要涉及的相关参数,这些参数包括:系统的一些特征参数(例如颗粒的尺寸),系统内各相的容积份额,颗粒相、流体相及其混合物的表观密度,系统各相的质量比和颗粒之间的平均间隔,颗粒的沉降速度以及动量传递中的松弛时间。除此以外,还有各相的输运特性,包括粘度、扩散率等。
3.1 系统的特征参数
在气固悬浮体的流动过程中,不同尺寸的颗粒具有不同的动力学特性,因此颗粒尺寸是一个非常重要的参数。如何定义颗粒尺寸对于球形颗粒来说是很容易解决的,颗粒的直径可以用球体的直径来表示。但是,对于那些形状不规则的颗粒,情况就变得比较复杂,而工程实际中所涉及的颗粒大部分是形状不规则的颗粒。
3.1.1 单颗粒的基本性质
1)颗粒尺寸
由于确定颗粒尺寸主要是为了研究其在气流中的运动特性,因此在多相系统流动的研究和计算中,往往把颗粒的形状与颗粒在流体中运动时的阻力联系起来,通过一定的方法对不规则形状颗粒进行处理,使球形颗粒的计算公式也能够适用于其他形状的颗粒。
由学习单相流体力学可知,单个球形颗粒在流体中所受到的力的计算公式为

式中dp为球形颗粒直径,ρ为密度,u为速度,下标f、p分别表示流体与颗粒。其中CD是阻力系数,CD的计算公式为

式中Re为雷诺数,μ为流体的动力粘性系数。在不同的流动区域f(Re)有不同的计算公式,在斯托克斯(Stokes)区为
f(Re)=1 (3-4)
在奥森(Oseen)区为

标准阻力计算公式为

式(3-1)表明球形颗粒在运动流体中的受力主要取决于流体与颗粒间的相对速度、颗粒粒径、流体密度以及阻力系数。在阻力系数和受力计算公式中均包含颗粒直径这一参数。在对非球形颗粒的处理和应用中,大多数研究者都是在比较小的范围内对某一些特定形状的颗粒进行实验,获取所研究的非球形颗粒与球形颗粒之间的差异,并在此基础上采用修正系数对球形颗粒的计算公式进行修正,确定非球形颗粒的阻力的计算方法,其结果适用范围通常受到限制。在该方面比较有普遍意义的是Wadell(1943)和Heywood(1948)的工作。
Wadell主要采用通过实际测定不规则形状颗粒的阻力系数的方法来确定实测颗粒所对应的球形颗粒的尺寸,实际使用起来很不方便。
Heywood采用的方法在实际应用中无需求助于复杂的实验,因此具有较大的优点。
Heywood所采用的方法是引进了一个新的颗粒尺寸概念——投影直径,该直径是指颗粒在气流中处于最稳定位置(通常假定为自由下落时的稳定位置)时垂直于流线的平面上颗粒投影面积的等面积圆的直径。这个投影面积可以通过把颗粒从适当高度落到一块涂有粘性涂料的平板上的办法测得,把颗粒的体积Vp与投影直径dp的三次方的比值用体积形状系数Z表示
Vp=Z(dp)3 (3-7)
式中Z的数值可以由公式
求取,其中n和m分别为颗粒相互垂直的长度L与宽度B之比,以及宽度B与厚度T之比。这里的厚度是指颗粒下落并处于稳定位置时与颗粒相切的两个水平面间的距离;宽度是指垂直于上述两平面并与颗粒相切的两个平行平面之间的最短距离;长度则为与上述两对平面都垂直相交且各自与颗粒两侧相切的两个平面间的距离。Ze是一个经验系数,在0.45到0.6之间变化,作为通用的平均值可取Ze=0.5。几种最典型的颗粒的Z值可以直接由表3-1查取。
表3-1 以Heywood的分析为基础的几种代表性颗粒的Z值

在实际应用时,根据颗粒的重量和颗粒材料的密度,可以较容易地获得颗粒的体积,通过表3-1给出的体积形状系数Z,即可方便地算出颗粒的投影直径dp,进而根据投影直径,通过球形颗粒阻力系数计算公式求出不规则形状颗粒在流体中的阻力系数。
Heywood做过计算,应用他所提出的投影直径计算出来的阻力系数CD的数值,在Z值趋近于零(圆片)的极端情况下也仅仅比球体
的CD值低15%。
除此之外,在其他各种过程研究中也需要用到颗粒直径,随着使用目的的不同,常用的颗粒等效直径还有:
(1)等表面积直径ds
假定一球形颗粒具有与被考察颗粒相同的表面积Sp,则该球形颗粒的直径即为被考察颗粒的等表面积当量直径ds
![]()
该直径常用于与颗粒表面积关系密切的相关过程的研究,例如用于计算颗粒的传热、颗粒相的表面化学反应和吸附作用等。
(2)等体积直径dv
假定一球形颗粒具有与被考察颗粒相同的体积Vp,则该球形颗粒的直径即为被考察颗粒的等体积当量直径dv

该直径主要用于与颗粒体积相关的计算,例如计算堆积颗粒的孔隙度等。
(3)等比表面积直径dvs
假定一球形颗粒具有与被考察颗粒相同的比表面积(表面积与体积之比),则该球形颗粒的直径即为被考察颗粒的等比表面积当量直径dvs

该直径主要用于计算燃烧反应与液滴蒸发等。
以上三种当量直径之间存在一定的关系。当颗粒为球形时,三种当量直径是等值的。当颗粒为非球形时,通过考察式(3-8)、(3-9)和(3-10),可知三种当量直径的相对大小。假定某非球形颗粒的体积为Vp,其表面积大于同体积球形颗粒的表面积Sv。由式(3-8)得出ds将大于dv,由式(3-10)得dvs将小于dv。加上颗粒为球形的情况,就有下式
ds≥dv≥dvs (3-11)
其中等号适用于球形颗粒情况。对于非球形颗粒,其形状越偏离球形,三种当量直径的差别就越大。将式(3-8)和(3-9)带入式(3-10)可得三种当量直径之间的另一关系式

除以上三种当量直径之外,还有多种描述颗粒尺寸的直径,例如算术平均直径、几何平均直径、投影面积直径、周长直径、最大尺寸直径和最小尺寸直径、斯托克斯直径等,它们分别适用于不同场合。例如在考察筛分时,最小尺寸直径(即颗粒的最窄宽度)是颗粒能否通过筛网的关键参数。
2)颗粒的形状系数和比表面积
关于非球形颗粒,其外形可能千差万别,但都可以用颗粒的形状系数和比表面积加以描述。颗粒的形状系数可用多种尺度表示,这里只介绍球形度、圆形度和颗粒的比表面积。
(1)颗粒的球形度
颗粒的球形度(Wadell,1933)是指颗粒外形接近球体的程度,它是一个无因次参数。有不同定义球形度的方法,其中最常见的定义为:与被考察颗粒体积相等的球体表面积Sυ与被考察颗粒的表面积Sp之比

另一种常见的定义为:被考察颗粒体积Vp与该颗粒的最小外接球体的体积Vcs之比的3次方根

式中,dcs为被考察颗粒的最小外接球体的直径。
显然,对于球体颗粒,以上两种定义下都有Φs=1;对于其他形状的颗粒,有0<Φs<1。
常用物料的球形度列于表3-2。
表3-2 常用物料的球形度

颗粒的球形度对气固两相流的流动特性以及气固两相间的相间反应均存在一定的影响,但在气固两相流动研究中,大多数情况下仍将颗粒视为球形粒子,以减少研究的复杂性。随着研究的深入,目前在对一些偏离球形较大的固相颗粒进行流动特性研究时,已经开始注重探讨固相颗粒形状对气固两相流动的影响,如研究农作物秸秆的流化燃烧、烟丝的流化干燥等,对这些细长粒子的流化运动特性有了新的发现。
(2)颗粒的圆形度
颗粒的圆形度(Wadell,1933)是指颗粒在某一平面上的投影接近圆形的程度,它也是一个无因次参数。一种方法是将其定义为与被考察颗粒等投影面积的球体的投影周长PA与该被考察颗粒投影的周长Pp之比

式中,dA为等投影面积的球体的直径。另一种定义为:被考察颗粒的投影面积Spp与该颗粒的投影的最小外接圆的面积Scc之比的平方根

同样,对于球体颗粒,在两种定义下均有Ψ=1;对于其他形状的颗粒,有0<Ψ<1。
由于颗粒的球形度难以测定,常常需要用圆形度来近似地表示颗粒接近球形的程度。一般来说,如果颗粒在三个相互垂直的方向上的形状没有明显差别,比如不是平面形颗粒或者针形颗粒,圆形度还是一个很好的表征颗粒形状的尺度。
(3)颗粒的比表面积
颗粒的比表面积定义为单位体积的颗粒所具有的表面积,即颗粒表面积Sp与颗粒体积Vp之比

由上式可以看出,颗粒越小,比表面积就越大。另外,当颗粒的体积一定时,一般比表面积越大的颗粒,其形状偏离球形越远。
颗粒的比表面积是反映气固两相流中气固两相间接触面积大小的参数,对一些涉及气固两相间的化学反应、传热、传质等相关的物理过程有重要影响。
由以上有关颗粒当量直径、形状系数和比表面积的定义可见,气固两相流动的研究要比单相流动研究所涉及的问题复杂得多。需要指出的是,在许多指导工程应用的实验研究中,常常通过采用不同孔径筛网的筛子对颗粒的大小进行分级,其颗粒直径简单地取筛网的孔径。
由于本书主要着眼于气固悬浮系统的基本运动及相关规律的研究,为了避免使问题复杂化,以后的讨论将主要围绕球状颗粒进行,如果涉及非球体或不规则形状颗粒将作专门说明。
3.1.2 颗粒相的粒度分布、容积份额与空隙度
1)颗粒相的粒度分布与平均尺寸
(1)颗粒相的粒度分布
颗粒相的粒度分布是反映颗粒相的最重要特性之一。在实际气固悬浮体中固体颗粒的尺寸并不单一,而是在一定范围内变化,因此我们还必须了解系统中颗粒的粒度分布情况,在此基础上求取固相颗粒的平均直径。
由于测量颗粒密度分布的方法不同(有的是测量颗粒数与颗粒尺寸的关系,例如显微镜观测法;有的是测量颗粒质量与颗粒尺寸的关系,例如筛分法),分布密度通常有两种表示方法:
①按粒径的颗粒数量分布密度;
②按粒径的颗粒质量分布密度。
通常采用取样筛分的方法来确定固体颗粒的粒度分布。取一定数量的样品,例如一公斤,将它放入一套筛网孔径由大到小的标准筛的顶层进行同时筛分,然后分别称取每一个筛子上留下的颗粒质量,并记下相应筛子的网格尺寸以及上层筛子的网格尺寸,所得颗粒的尺寸就介于这两个筛网尺寸之间。假定用dM表示尺寸为a到a+da之间的颗粒质量,M0表示样品的总质量,以各种粒度间隔内颗粒质量的相对份额
作为纵坐标,再把相应的粒度a作为横坐标,把筛分结果画到图上就可得到样品的粒度分布图3-1。
如果筛分的粒度间隔足够小,图3-1上的阶梯形线就可转化为连续曲线,如图上实线所示。样品粒度的质量分布可用函数fM表示,这时颗粒质量相对份额与粒度a的关系就可表示为
![]()
且
![]()

图3-1 颗粒质量的相对频率分布
如果我们不用筛分而是用显微镜来测定样品的颗粒尺寸a和相应的颗粒数量dN,若横坐标还是用a,但纵坐标改用颗粒数量的相对份额
这里N0为样品的颗粒总数。我们可以在图上画出另一条曲线,如图3-2中虚线所示。样品粒度的数量分布可用函数fN表示,相应的关系式为

同样

粒度的质量分布函数fM与粒度的数量分布函数fN之间具有如下关系

图3-2 颗粒数量的相对频率分布与颗粒质量的相对频率分布的比较

式中m(a)是半径为a的一个颗粒的质量,ma为根据颗粒总质量M0和颗粒总数量N0求出的颗粒平均质量
对于半径为a的球形颗粒,显然
,所以

根据大量实验的统计规律,在颗粒分级很细时,粒度的数量分布曲线可以用以下正态分布函数表示:[1]

式中a0为半径在a1和a2之间的颗粒的平均半径,σ2为均方偏差(σ为标准偏差
是粒度分布曲线在
外的宽度,如图3-3所示。
如果按颗粒半径小于a的所有颗粒累计份额计算,公式可变成

图3-3 颗粒粒度的正态分布曲线

将前述正态分布函数代入上式,并经过简单换算可得

利用这个公式,可以根据测量所得到的有限数据来确定样品粒度分布的基本参数a0和σ(图3-4)。测定点在图上近似按直线分布,直线与a轴交点为a0值,其斜率则为
,由此可求得σ值。
当颗粒大小范围很宽,尤其是筛分采用几何分级时,最好采用对数坐标。这时式(3-25)、(3-26)和图3-4中的a和a0均改用对数值lga和lga0,相应分布曲线称为对数-正态分布。由此算出的颗粒平均尺寸为几何平均值,而根据前面公式和图计算的则是算术

图3-4 按测量值确定正态分布的颗粒平均半径(a0)和标准偏差(σ)的标量
对数-正态分布的一个特点是,如果颗粒数量按对数-正态分布,则颗粒质量也按对数-正态分布,而且有相同的标准偏差。而其他分布就不是这样,当颗粒数量分布符合某一分布定律,质量分布就不符合这一定律。
(2)颗粒的平均尺寸
为了简化计算和分析,有时需要采用颗粒平均尺寸把包含多分散颗粒粒径的两相流动简化为单分散颗粒粒径的两相流动。
选取平均尺寸的原则是:按颗粒平均尺寸计算所得的结果应该与按颗粒实际分布尺寸计算所得的结果尽可能地相近。因此,对于不同的具体问题所选用的平均尺寸是不同的,下面列出一些平均直径的定义。
除了上面提到的算术平均直径和几何平均直径外,在气固两相流动中可能遇到的平均直径还有:面积平均直径、体积平均直径、体积-面积平均直径和质量平均直径等,所有这些平均直径均可根据已知分布函数通过积分运算求取,如表3-3所示。
表3-3 常用平均直径的数学表示

续表3-3

各平均直径间的相互换算关系如下

这样知道了表3-3中的任意一种直径我们就可利用方程组(3-27)中的相应公式算出其他直径。
2)颗粒相的容积份额与空隙度
在多相混合物悬浮系统中,固体各相在单位容积混合物中所占据的容积,即各相的容积份额可以根据下列公式算出:
![]()
式中上标s表示由相同尺寸颗粒构成的某一颗粒相,n(s)
P表示这一相的颗粒在单位容积内的数量,又称为量密度
表示每个颗粒的体积,对于球形颗粒
,这里
为颗粒的半径。
流体所占的容积份额则为
。这里φ为所有各相颗粒所占容积份额的总和。
显然,当气固混合物中的固体颗粒都是同一直径,或者尺寸接近而可以用一个平均直径表示时,公式中的φ也就是这个直径(或平均直径)的所有颗粒的总容积份额。ε常常又被称为空隙度。
对于由单一尺寸的球形颗粒构成的填充床(或称固定床),其空隙度随颗粒堆砌形式的不同在25.95%~47.65%之间变化,前者的堆砌形式为菱形,即四个相邻球体的球心相互构成一等边四面体;后者的球体则按矩形排列,其四个相邻球体的球心相互成一立方体,悬浮体的空隙度应在这个数值与1之间。
3.1.3 颗粒相、流体相及其混合物的表观密度
1)颗粒相的表观密度
各颗粒的表观密度可以根据下式求取
![]()
式中除了前面已经定义的符号意义外
表示(s)相颗粒的表观密度
表示每个颗粒的质量
表示该相颗粒的真实密度。显然
为颗粒相的真实密度,即构成颗粒的材料的密度。
颗粒相的表观总密度为
![]()
根据上述公式,可以得到颗粒相总容积份额的另一种表示方法,即
![]()
以及

2)流体相的表观密度
流体相的表观密度可以用下式表示

式中
为流体相的真实密度。
3)混合物的表观密度
混合物的表观密度可用下式表示
![]()
3.1.4 质量比与质量流率比
悬浮系统中颗粒与流体的质量比可以通过下式表示

与此同时,在悬浮系统中还会遇到另外一种形式的质量之比,即所谓质量流率比,在气力输送领域又常常给它一个专门的别名——固气比。它的表达式为式中up和u分别为悬浮体中颗粒相的平均流速和流体相的平均流速,Gp和G分为颗粒相和流体相的质量流率。

应该指出,这两个比值的含义是截然不同的。前者表示单位容积气固悬浮物中,颗粒质量与流体质量之比,而后者则表示单位时间流过某一截面的颗粒质量流量与流体质量流量之比。后面将要讲到,在悬浮体流动时颗粒的平均速度up总是滞后于流体的速度u(只有减速流例外),即up<u。因此,通常m ·*<m*。
3.1.5 颗粒间的平均间隔
颗粒间的平均间隔可按单位容积内某相颗粒的总数即颗粒的数量密度求取,显然其值应为颗粒数量密度
的倒数的立方根。对于球形颗粒,有

这里
为s相颗粒的半径。
由上式可知在颗粒含量φ=0.01时,悬浮系统颗粒之间的平均间隔为颗粒直径的3.74倍,而当φ=0.08时,颗粒之间的平均间隔为颗粒直径的1.87倍。后面将要提及,由于当φ<0.08时悬浮系统中颗粒的阻力特性已经可以足够精确地用单颗粒的阻力特性来表示,因此通常把φ<0.08的悬浮系统定义为稀相系统。在稀相系统内,颗粒与颗粒之间的相互作用可以忽略不计。
3.2 沉降速度与松弛时间
3.2.1 颗粒在流体中的沉降速度
当颗粒在静止流体中自由降落时,作用在颗粒上的力有:重力、浮力和流体的阻力。颗粒在重力作用下逐渐加速,与此同时流体作用于它的阻力也逐渐增加。最后,当颗粒所受到的阻力与重力和浮力之差达到平衡时,颗粒将以恒速下降。这时颗粒的下降速度就称为自由沉降速度。
另一方面,如果颗粒是被流体吹送向上,当流体到达某一速度时,上述三力也会达到平衡。这时颗粒会在气流中悬浮不动,相应的流体速度称为悬浮速度。显然,对于同样的流体和颗粒,自由沉降速度和悬浮速度在数值上是相同的,但物理意义稍有不同。
球形颗粒的自由沉降速度或悬浮速度可以根据上面的定义通过下列平衡式求得:

式中,FD0为达到平衡时颗粒受到的流体阻力。

关于颗粒在流体中所受阻力的详细讨论是下一章的内容,这里仅重提一些“工程流体力学”中已知的结论。普遍通用的流体阻力公式具有如下形式:式中u为流体与物体的相对速度;AP为物体在流动方向垂直面上的投影面积,对于球体,有
为流体密度;CD称为阻力系数,通常它与雷诺数
有关,这里μ为流体的动力粘度,对于Re<1的斯托克斯区,有
![]()
对于700<Re<2×106的牛顿区,有
![]()
对于1<Re<700的过渡区,则情况比较复杂,计算公式也很多,但一般均可写成CD=
的形式,这里F*是一个与Re数有关的函数,将在下一章介绍。显然,当Re<1,F*=1。
将式(3-39)代入式(3-38),并将达到平衡这一特殊条件下的速度用μf表示,经过简单换算即是可适用于所有流动区域的自由沉降速度或悬浮速度的通用计算公式

将各区域相应CD公式代入上式,即可得到不同流动区域的μf计算公式:
对于斯托克斯区
![]()
对于过渡区

对于牛顿区

对于非球形或不规则形状的颗粒,式(3-38)中的球体体积
可用Z(dp1)2代替,由此求得的自由沉降速度为

式中dp1为颗粒在沉降中沿稳定方向投影面积的当量圆的直径,Z为颗粒的体积形状系数,可由表3-1查取。
如果
上面各式中的
均可用
代替,使公式进一步简化。
3.2.2 颗粒与流体间作动量交换的松弛时间
当一个质量为m的球形颗粒以零速进入速度为u的粘性流体中时,由于流体与颗粒的动量交换,颗粒将加速。如果忽略重力影响,颗粒在每一瞬间的加速度应决定于同一瞬间流体与颗粒间的相对速度

式中t为时间,u为流体速度,up为颗粒速度,τ为颗粒与流体间作动量交换的松弛时间(relaxation time),F则为松弛时间的倒数(inverse relaxation time)。
将式(3-47)两边均乘上颗粒的质量mp可得

由此可知

利用前面的通用阻力公式(3-39)代入式(3-49)不难得到球形颗粒F的通用计算式

在大多数情况下,悬浮体内颗粒与流体的相对运动速度较低,阻力系数可用公式
代入。这样
![]()
当Re<1,F*=1,则

如果气体稀薄或颗粒尺寸很小,气体与颗粒表面间会产生滑动,将会影响阻力,从而也影响松弛时间,式(3-52)中必须计入坎宁安(Cunningham)校正系数Cu,这时公式有如下形式

Cu的具体介绍放在下一章。
为了进一步考察τ和F的物理意义,对式(3-48)进行积分,并考虑初始条件t=0,up=0,可以得到颗粒速度随时间的变化规律为
![]()
按此公式画出的up与t的关系曲线如图3-5所示。

图3-5 颗粒速度随时间的变化与τ值的定义
由图可见,在一定的流体速度u值下,颗粒的速度up在初始阶段增长很快,但随时间的迁移其增长速度愈来愈慢,且F值愈小增率愈小。但对所有F值,当
时,流体与颗粒间的速度差值都将降低到初始差值的
,因此根据通常习惯把
称为松弛时间,相应地F称为松弛时间的倒数。由此不难得到τ的物理意义:松弛时间τ就是颗粒进入气流后,速度由0增加到
所需的时间。因此,τ值也是颗粒进入气流后是否能很快跟随气流运动的一个重要评价。
有人提出把颗粒的松弛时间τ与颗粒之间二次碰撞时时间间隔τc之比称为斯托克斯(Stokes)准则,作为判断悬浮体内颗粒运动状态的准则
表示颗粒在二次碰撞间隔之间有足够的时间对流体局部速度的变化作出反应,这时颗粒的运动主要取决于流体的运动,颗粒与颗粒间的相互影响很小,此时气固悬浮体属于稀相;相反,如
,则悬浮体为浓相。从而在物理概念上为稀相与浓相的区分给出了更为明确的定义。
3.3 多相悬浮体的扩散系数与粘度
3.3.1 颗粒群在气流中的扩散系数
在悬浮系统的流动过程中,颗粒的扩散会影响到系统中颗粒的密度分布和速度分布以及各相的输运过程,因此颗粒扩散系数是悬浮系统颗粒输运过程的一个重要参数。我们前面假定,在多相悬浮系统中颗粒以速度up向前运动,实际上这仅是宏观运动。非常细的颗粒会在气体介质中作不规则的热运动;对较大的颗粒,热运动可以忽略,但它仍将受到颗粒所在地附过紊流气团的推动而作不规则运动,称为颗粒的紊流运动。颗粒的这两种因不同原因引起的不规则运动都会使颗粒不仅沿气流流动方向运动而且还会向周围各个方向扩散。
1)颗粒在流体中的布朗(Brownian)运动和相应的扩散系数
根据分子运动论可知,气体分子一直在作热运动,每个分子沿任意某方向(例如x方向)的平均动能与温度的关系可用下式表示

式中m为分子质量;![]()
为分子沿x方向的均方速度;K为波尔兹曼常数,K=1.38×10-23 JK-1;T为气体的绝对温度。
Brownian发现悬浮于流体中的非常小的颗粒(可以理解为巨大分子)也会作类似的热运动,不过其运动速度要比气体分子慢得多。我们可以同样利用上式来考察颗粒的热运动速 度,这时公式中的m应该用颗粒质量mp代入,经过转换不难得到
![]()
式中
为颗粒沿x方向的运动速度分量的方均根值。如果取
,T=300K,可得:当dp=2μm时,
;当dp=0.2μm时
~3×10-2 m/s。而从分子动力学可知空气分子的热运动速度在相同条件下可达
~500m/s。
爱因斯坦在1905年讨论了颗粒的布朗运动。一个颗粒在静止气体中所受的力有两种:一种是重力mg;另一种是周围分子的作用力。周围分子通过碰撞而作用于颗粒的力又可分为三部分:①因平均他子碰撞引起的浮力m
,方向向上;②因平均他子碰撞引起的运动阻力-αup(对斯托克斯区
),其作用方向与颗粒运动方向相反;③由于随机他子碰撞而造成的变化很快引起颗粒无规则运动的力F。
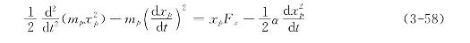
现考虑颗粒运动在x方向的投影,这时重力与浮力都不会出现,运动方程为

这个方程称为朗之万(Langevin)方程,经过转换可得
![]()
对所有的颗粒取平均值

由于作用力F是完全任意变化的,xpFX的值可正可负,平均值应为零,〈xpFX〉=0。此外根据前面的公式(3-55),故上式简化为
![]()
此方程的解为

对微米级颗粒来说
值很大,在短暂时刻t后(例如t>10-3s),公式中第二项就变得很小,可忽略不计。从原点算起的均方距离可用下式表示:



这里Dp称为颗粒的布朗运动扩散系数。对直径为微米级的颗粒,在室温大气压条件下Dp=
。由此可见,布朗扩散与颗粒直径成反比,只有在dp很小时,这种扩散才比较显著。
2)颗粒在流体中的湍流扩散
对于直径较大的颗粒,颗粒本身的布朗运动已经很微弱,在稀相悬浮体中,颗粒沿非主流方向的运动主要由作运动的流体大小旋涡团所带动。因而,紊流中颗粒的均方根运动速度(或称颗粒运动强度)
在没有其他外力存在时,将决定于流体的运动强度〈u2〉 12。根据S.L.Soo和P.L.Peskin等人的研究,〈u2〉与
之间应符合下列关系:

这里K值是表示流体与颗粒相互作用的一个参数,称为脉动响应系数
。式中F为流体与颗粒作动量交换的松弛时间的倒数
,λ为流体中紊流小旋涡平均尺度的特征值,称为拉格朗日(Lagrangian)尺度。
当K→0时式(3-64)可简化为

O(K4)表示未明确写出的级数余数中K的最低阶数为4。
而当K很大时

颗粒的扩散系数Dp与流体的紊流扩散系数D之比也随K值的不同而不同。当K很小时,Dp≌D-Dpf。这里D为紊流体的紊流扩散系数
;Dpf为颗粒相对于流体的扩散系数
,其中Lp为流体对颗粒的作用距离
。这样

O(K6)表示未明确写出的级数余数中K的最低阶数为6。
当颗粒尺寸很小时
。这意味着颗粒与流体中紊流小旋涡的运动几乎一致。而对于大颗粒,K值较大

P.L.Peskin还通过概率分布对颗粒在以紊流状态流动的流体内的扩散情况进行了讨论,最后得出公式

表示未明确写出的级数余数中
的最低阶数为4。
式中K和λ已在前面作过介绍,λE称为欧拉(Eulerian)微尺度,表示流体内脉动速度相近的范围。由公式可知流体内固体颗粒的扩散系数不仅仅与脉动响应系数K有关,而且还与紊流的拉格朗日尺度和欧拉微尺度的比值有关。由上式还可看出,在
一定时,如果颗粒很小,K值趋近于零,颗粒将完全“跟随着”紊流旋涡团一起运动,颗粒的扩散系数将等于流体的扩散系数;相反,如果颗粒较大,K值比较大,颗粒的运动不再与紊流旋涡团一致,而倾向于保持静止,惯性将起较大作用。另一方面,如果K值保持一定且不是很小时,正如前面指出的,颗粒将不再一直“跟随”它最初遇到的旋涡运动,但是如果此时![]()
很小,这意味着流体的λE很大,每个旋涡的速度与其周围旋涡的速度都很接近。这样,即使颗粒并没有“跟随”某一固定的旋涡运动,但由于它所遇到的其他旋涡仍然具有相同的速度,扩散系数之比仍接近于1。相反,高
值意味着给定旋涡与其周围的其他旋涡速度并不相近,颗粒在它的运动过程中将遇到一系列速度互不相关的其他旋涡,因而扩散系数相应减少。图3-6画出了不同![]()
值下
与K值的关系。由图上曲线可以明显看出
对
随K值变化的影响。
已知Dp与D之比,还必须确定D值才能求取Dp之值。Peskin指出对管流,可按下式计算
![]()
式中,在雷诺数
时,k值在0.8与5.6间变动;R为管子半径;U为管内平均速度。

图3-6 颗粒扩散系数与紊流
B.A.Seban曾对管内紊流动量扩散进行研究,提出在紊流条件下管内三个不同区域的扩散系数计算公式,由于动量扩散与热质扩散的相似性,此公式可用来计算管内热质扩散系数:

式中εM为动量扩散系数,u*为摩擦速度,ν为运动粘度,r和r0分别为计算点半径和管子半径。
对大气流在地面垂直方向的扩散,C.C.Shir和L.J.Shieh提出
![]()
式中u*为摩擦速度;K为冯卡曼(Von Karman)常数,由试验求得K=0.36~0.41;δ为大气边界层厚度(~150m);C是一常数,其大小决定于δ值,通常取C=3~4。
3.3.2 多相悬浮体的粘度
悬浮体中由于存在固体颗粒或液滴会使其粘度不同于单纯流体。多相悬浮体的粘度按其作用对象的不同而有:混合物的总体粘度μm、混合物中流体的粘度μmf和混合物中固体颗粒的粘度μmp。
当颗粒运动不滞后于流体运动时,Einstein给出了由固体颗粒和不可压缩流体组成的稀相悬浮体的粘度μm的计算公式
![]()
式中,φ为固体颗粒占有的容积份额,μ为流体的粘度。Tayler修正了这个公式使之适用于液滴

式中
为液体的粘度。
Schugel根据对悬浮体作剪切粘度测量所得到的试验数据提出

这里φ0为固定床的颗粒容积份额,而φ为悬浮体的颗粒容积份额。Schugel的数据仅得自中等膨胀度的床层,即
。
Blake利用上述公式的外推结果建立了
时的计算公式,建议在0<
时可以采用如下经验公式:

这里
为流体的动力粘度。
可用下列公式计算
![]()
Murray估算了因流体对颗粒的剪切作用而引起的悬浮体中颗粒的剪切粘度μmp和体变形粘度ζmp,给出

式中A和B为数值在1至10之间的常数。
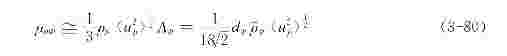
Soo应用分子碰撞的概念,推导了处于随机运动状态并具有湍流强度为〈u2p〉 12的颗粒群作多次碰撞而显示的颗粒群粘度

式中Λp为颗粒间碰撞的平均自由程,计算公式为
![]()
应该指出,关于多相悬浮体粘度的理论分析和试验测定工作到目前为止还做得很少,特别是各种粘度之间的相互关系仍需作进一步研究。近似可以认为μm,μmp和μmf之间存在着如下关系:

对于稀相悬浮体
,可近似取

3.3.3 颗粒与流体以及颗粒与颗粒的作用距离和稀相悬浮体的定义域
固体颗粒与流体的相互作用以及颗粒与颗粒之间的相互碰撞是悬浮系统中动量与能量传递的主要方式。随着悬浮体中颗粒相浓度的不同,二者的相对地位也有不同。对稀相悬浮体来说,流体与固体颗粒的相互作用占主导地位;相反,对浓相悬浮体来说,通过颗粒与颗粒相互作动量交换的松弛时间及颗粒碰撞的时间间隔之比值来判断系统是否属于稀相。本节将进一步分析影响这一比值或者说影响稀相悬浮体定义域范围的种种因素。
固体颗粒与流体的作用距离可以通过下列公式来表达

它与颗粒碰撞时间间隔的关系可通过下式表示:
![]()
由此不难知道

考虑
,并引入前面用过的脉动响应系数
,将它们代入上面公式并经过简化可得

要满足Crowe提出的稀相条件,必须满足

或
根据前面的分析我们有

如果K值很小,其值接于1;如果K值很大,其值为
因此对于小的K值(固体颗粒很小或Re很低),我们有

其中
,为流体的扩散系数;
为流体的运动粘度。对于大的K值,则有

由上式可见,决定悬浮系统中是否为稀相的临界的大小并非一成不变,而是随着
变化的。对一定的流体
不变),临界φ值的大小随〈u2
的增加而减小。对小颗粒而言,φ临界值还与拉格朗日微尺度与颗粒直径之比有关,颗粒直径愈小,φ值愈大。例如:假定流体的![]()
,颗粒密度与流体密度之比。当颗粒直径为1μm时,临界φ值为2.12%;如果颗粒直径减小至0.1μm,临界φ值增至21.2%。或者,如果颗粒保持为dp=1μm但
减少为100,临界φ值同样也会增加到21.2%。如果同样的流体,颗粒直径增至为dp=500μm(这时K≈30 000),当
时,临界φ值又为0.5%,即使
,临界φ值也仅增加到1.6%。
尽管如上面所分析,确定悬浮系统是否属于稀相的临界φ值会随一系列因素的变化而在较大范围内变化。但从实用意义上来说,在一般条件下,把φ<0.05~0.08的悬浮系统定为稀相还是合理的。关于这一点还可通过对颗粒与颗粒相互碰撞的平均自由程与悬浮系统内颗粒间的平均间隔进行比较来一步说明。我们知道,如果颗粒碰撞的平均自由程大于颗粒间的平均间隔,这意味着系统内每个颗粒都有足够的自由活动空间,悬浮系统属于稀相。根据前面已经介绍过的颗粒碰撞平均自由程和颗粒平均间隔的计算公式[式(3-85)和式(3-37)],不难知道要满足上述条件必须有
![]()
或
![]()
进一步将
代入上式并简化,最后可得
φ<0.056
即当φ<0.056时,悬浮系统属于稀相。
【注释】
[1]如果颗粒分级不是太细,实际分布通常向右偏斜。





.jpg)
.jpg)
