
9.2 光调制与解调技术
光的发射、调制和解调技术在光纤传感器中极为重要。光的发射技术已在第8章中论及,本章不再重复。本节主要介绍光纤传感器中常用的各种光调制与解调技术。下一节所介绍的几种光纤传感器,都是从不同的方面利用了这些技术。光的调制和解调可分为:强度、相位、偏振、频率和波长等方式。
9.2.1 强度调制与解调
光纤传感器中光强度调制是被测对象引起载波光强度变化,从而实现对被测对象进行检测的方式。光强度变化可以直接用光电探测器进行检测。解调过程主要考虑的是信噪比是否能满足测量精度的要求。
9.2.1.1 几种常用的光强调制技术
1.微弯效应

图9-5 微弯调制器原理图
微弯损耗强度调制器的原理如图9-5所示。当垂直于光纤轴线的应力使光纤发生弯曲时,传输光有一部分会泄漏到包层中去。微弯用机械变形器,计算见下述。
波动理论分析指出:当一对模的有效传播常数之差为
Δβ=β1-β2=2π/Λ (9-8)
时,纤芯传输模与包层辐射模之间的耦合程度最强。图中引起光纤微弯的装置为一对带齿或槽的板,相邻两齿之间的距离为Λ。β1和β2分别为纤芯传输模的传输常数和包层辐射模的传输常数。在渐变型光纤中:
![]()
在阶跃型光纤中:

式中,Λ=[n2(o)-n2(r)]/[2n2(o)];n(o)和n(r)是距离光纤轴为o和r的折射率;
r——纤芯半径。
2.光强度的外调制
外调制技术的调制环节通常在光纤外部,因而光纤本身只起传光作用。这里光纤分为两部分:发送光纤和接收光纤。两种常用的调制器是反射器和遮光屏。
反射式强度调制器的结构原理如图9-6(a)所示。在光纤端面附近设有反光物体A,光纤射出的光被反射后,有一部分光再返回光纤。通过测出反射光强度,就可以知道物体位置的变化。为了增加光通量,也可以采用光纤束。

图9-6 反射式光强调制器的原理结构(a)和输出电压与位移关系(b)
图9-7为遮光式光强度调制器原理图。发送光纤与接收光纤对准,光强调制信号加在移动的光闸上,如图(a),或直接移动接收光纤,使接收光纤只接收到发送光纤发送的一部分光,如图(b),从而实现光强调制。

图9-7 遮光式调制器
(a)动光闸式;(b)动光纤式;(c)光强度-位移变化曲线
3.折射率光强度调制
利用折射的不同进行光强度调制的原理包括:①利用被测物理量引起传感材料折射率的变化;②利用渐逝场耦合;③利用折射率不同的介质之间的折射与反射。
在一全内反射系统中,利用被测物理量(如温度和压力等)引起介质折射率的变化,使全内反射条件发生变化,再通过检测反射光强,就可监测物理量的变化。例如温度报警系统,可利用纤芯玻璃和包层玻璃具有不同的折射温度系数,在某一温度之上或之下,光纤芯和包层折射率变得相等,甚至使n2>n1,光纤失去波导作用来实现。
渐逝场出现在全内反射的情况下。理论分析表明,这时在纤芯外存在一透射光波(电磁场),但以总体来看,它不能把能量带出边界。图9-8(a)为光波导中的渐逝场衰减曲线,Ey(x)为电场幅度。因为,这时存在的透射波,其振幅随透入光疏介质的深度成指数衰减。所以,渐逝场在光疏介质中深入距离有几个波长时,就可以忽略不计。如果采取一种办法能使渐逝场以可观的振幅穿过光疏介质从而扩展到附近一个折射率高的光密介质中,这样,能量穿过空隙。这个过程称为受抑全内反射。利用这一原理设计的一种传感器敏感部分如图9-8(b)所示。L为两光纤的相互作用长度,d为纤芯之间的距离。在L范围内,光纤包层被减薄或完全剥去,以便纤芯之间的距离减小到使这两光纤之间产生足够的渐逝场耦合。两光纤封闭在折射率为n2的介质中,d、L或n2稍有变化,光探测器的接收光强就有明显变化。
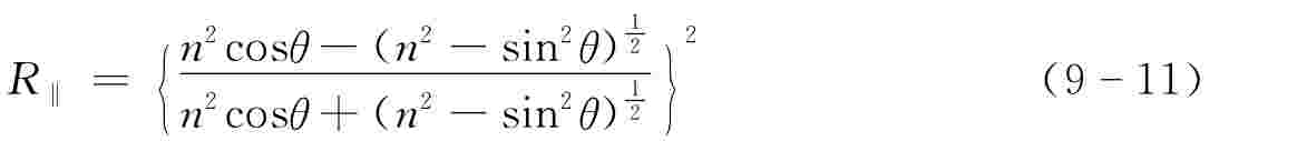
利用不同物质对光的不同反射特性,可以构成光纤物性传感器,图9-9为反射系数式强度型光纤传感器原理图。这里利用光纤光强反射系数的改变来实现对透射光强的调制。图(a)表示光纤左端射入纤芯的光,一部分沿这段光纤反射回来,然后由光分束器M偏转到光探测器。(b)为光纤右端的放大图。M2为全反射镜。调制器M1的折射率n3随被测参数变化。纤芯光线与M3法线交角小于临界内反射角;纤芯光线可以部分地透射进n3介质。光波在入射界面上的光强分配由菲涅耳公式描述:


图9-8 光波导中的渐逝场
(a)衰减曲线;(b)渐逝场光强调制器

图9-9 反射式物性传感器
(a)原理框图;(b)临界角强度调制

式中,R‖、R⊥——分别为平行或垂直于偏振方向的强度反射系数;
n=n3/n1;
θ——入射光波在界面上的入射角。
9.2.1.2 强度调制的解调
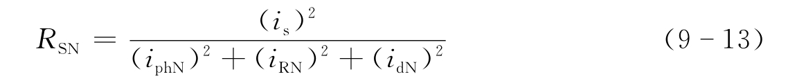
强度调制型光纤传感器的关键是信号功率与噪声功率之比要足够大,其功率信噪比RSN可用下列公式计算:[39]

其中,(is)2=(Psηq/hν)2 (9-14)
(iphN)2=(2q2 PLη/hν)B (9-15)
(iRN)2=(4kTF/R)B (9-16)
式中,is——信号电流,R(is)2为信号功率;
iphN——光信号噪声电流[当主要是散粒噪声型式时,可用式(9-15)计算],R(iphN)2为光子噪声功率;
iRN——前置放大器输入端等效电阻热噪声电流,R(iRN)2为等效电阻热噪声功率,增加了放大器噪声因子F,这里已考虑放大器噪声;
idN——光电探测器噪声电流,R(idN)2为探测器噪声功率
,详见第8章;
PL——总的光功率(W);
Ps——信号功率(W);
B——系统频率带宽(Hz);
R——负载阻抗(Ω);
F——前置放大器噪声因子,F=(Si/Ni)/(So/No),即放大器输入端信噪比与输出端信噪比之比;
η——光电转换效率:η=ηC·ηD,ηC为耦合效率,ηD为光电探测器量子效率;
T——绝对温度(K);
ν——光频(s-1);ν=c/λ,c为光速,λ为光波长;
q——电子电荷量(1.602×10-19C);
h——普朗克常数(6.626×10-34J·s);
k——玻尔兹曼常数(1.380×10-23J·K-1)。如果采用硅PIN二极管光电探测器,则可略去暗电流噪声效应;进一步假设调制频率远离1/f噪声效应区域,则可略去探测器噪声,式9-13可简化为

应该指出,利用上式计算的信噪比,对大部分信号处理和传感器应用来说已绰绰有余。但是,光源与光纤、光纤和转换器之间的机械部分引起的光耦合随外界影响的变化;调制器本身随温度和时间老化出现的漂移;光源老化引起的强度变化以及探测器的响应随温度的变化等,比信号噪声和热噪声对测量精度的影响往往要大得多。应在传感器结构设计中和制造工艺中设法减小这些影响。此外,如果采用激光光源,由于只有有限几种模式的光在光纤中传播,这时,这几种模式光的光程差引起明显的强度调制(即模式噪声),也会影响测量精度。所以强度调制型光纤传感器需要某种形式的强度参考,并要求光源是不相干的。
9.2.2 偏振调制与解调
光波是一种横波。光振动的电场矢量E和磁场矢量H和光线传播方向s正交。按照光的振动矢量E、H在垂直于光线平面内矢端轨迹的不同,又可分为线偏振光(又称平面偏振光)、圆偏振光、椭圆偏振光和部分偏振光。利用光波的这种偏振性质可以制成光纤的偏振调制传感器。
光纤传感器中的偏振调制器常利用电光、磁光、光弹等物理效应。在解调过程中应用检偏器。

图9-10 普克耳(Pockels)效应(a)及其应用(b)
9.2.2.1 调制原理
1.普克耳(Pockels)效应
如图9-10所示,当压电晶体受光照射并在其正交的方向上加以高电压,晶体将呈现双折射现象——普克耳效应。在晶体中,两正交的偏振光的相位变化


图9-11 利用法拉第效应测量磁场
式中,no——正常光折射率;
re——电光系数;
U——加在晶体上的横向电压;
λo——光波长;
l——光传播方向的晶体长度;
d——电场方向晶体的厚度。
2.法拉第磁光效应
如图9-11所示,平面偏振光通过带磁性的物体时,其偏振光面将发生偏转,这种现象称为法拉第磁光效应,光矢量旋转角

式中,V——物质的费尔德常数;
L——物质中的光程;
H——磁场强度。
3.光弹效应

图9-12 光弹效应实验装置
如图9-12所示,在垂直于光波传播方向施加应力,材料将产生双折射现象,其强弱正比于应力。这种现象称为光弹效应。偏振光的相位变化

式中,k——物质光弹性常数;p——施加在物体上的压强;l——光波通过的材料长度。
9.2.2.2 解调原理
这里我们仅讨论线偏振光的解调。利用偏振光分束器能把入射光的正交偏振线性分量在输出方向分开。通过测定这两束光的强度,再经一定的运算就可确定偏振光相位φ的变化。渥拉斯顿棱镜是常用的偏振光分束器,如图9-13所示。它由两块冰洲石直角棱镜组成,两棱镜沿着斜边粘合起来。棱镜ABC的光轴平行直角边AB;棱镜ACD的光轴平行于棱C而和图面垂直。自然光垂直射在AB面上;在棱镜ABC中形成正常光线与异常光线,它们各以速度vo和ve垂直于光轴沿同一方向传播。在第二棱镜ACD中,此二线仍沿垂直于光轴的方向传播。但因为两棱镜的光轴互相垂直,所以第一棱镜中的正常光线在第二棱镜中即变成异常光线,反之亦然。因此原先在第一棱镜中的正常光线,在两棱镜的界面上以相对折射系数ne/no折射,而原先在第一棱镜中的异常光线则以相对折射系数no/ne折射。对于冰洲石,no>ne,因而ne/no<1,所以第一条光线向棱镜ACD的C棱方面偏折,而第二条光线则向棱镜底边AD方面偏折。两条光线都是平面偏振光:第一光线(第二棱镜中的异常光线)中电矢量的振动与第二棱镜的光轴平行;第二光线(第二棱镜中的正常光线)中电矢量的振动与第二棱镜中的光轴垂直。

图9-13 渥拉斯顿棱镜

9-14 偏振矢量示意图
图9-14是偏振矢量示意图。当取向偏离平衡位置θ时,1轴的光分量振幅是Asin(π/4+θ),2轴则为Acos(π/4+θ)。两分量对应的光强度I1和I2正比于这两个分量振幅的平方。从而可以得出

上式表明偏振角θ与光源强度和通道能量衰减无关。
9.2.3 相位调制与解调
相位调制的光纤传感器,其基本原理是:通过被测能量场的作用,使能量场中的一段敏感单模光纤内传播的光波发生相位变化,利用干涉测量技术把相位变化变换为振幅变化,再通过光电探测器进行检测。以下从引起相位调制的物理效应、干涉测量仪器的基本原理和利用光强度检测解调光相位变化的原理这三方面进行介绍。
9.2.3.1 几种实现相位调制的物理效应
1.应力应变效应
当光纤受到纵向(轴向)的机械应力作用时,将产生三个主要的物理效应,导致光纤中光相位的变化:①光纤的长度变化——应变效应;②光纤芯的直径变化——泊松效应;③光纤芯的折射率变化——光弹效应。
2.热胀冷缩效应
在所有的干涉型光纤传感器中,光纤中传播光的相位响应φ都是与待测场中光纤的长度L成正比。这个待测场可以是变化的温度T。由于干涉型光纤传感器中的信号臂光纤可以是足够长的,因此信号光纤对温度变化有很高的灵敏度。
9.2.3.2 相位解调原理
两束相干光束(信号光束和参考光束)同时照射在一光电探测器上,光电流的幅值将与两光束的相位差成函数关系。两光束的光场相叠加,合成光场的电场分量为
E(t)=E1sinωt+E2sin(ωt+φ)(9-22)
式中,E1——参考光束中的光场振幅;
E2——调制(信号)光束中的光场振幅;
φ——干涉光束之间的时变光相位差,φ=φ(t);
ω——光角频率,ω=2πf,f为光频率,数量级为1014Hz。光电探测器对合成光束的强度产生响应。设自由空间的阻抗为Zo,则入射到光电探测器光敏面Ad的功率为
p(t)=E2(t)·Ad/Zo (9-23)
最终探测信号电流为

其中

探测器响应的是光波在许多周期内测得的平均功率。考虑到光电探测器不能响应如此高频率的光频变化,上式推导结果可简化为

可见,通过干涉现象能把光束之间的相位差转变为光强变化。当E1=E2=E/2时,式(9-25)可进一步简化为
i(t)=I[1+cosφ(t)] (9-26)
其中:I=σE2/4。对式(9-26)微分,即可得光强对于两干涉光束之间微小相对相位变化的响应
di(t)=-Isinφ0dφ (9-27)
上式表明,探测器输出电流变化取决于两光束的初相位φ0和相位变化dφ。如果sinφ0=1,即干涉光束初相位正交,相位差φ0=π/2,那可较容易地把这种相位变化提取出来。这种探测方式称为零差检测。
9.2.3.3 几种干涉测量仪与光纤干涉传感器原理
实现干涉测量的仪器主要有以下四种:
1.迈克尔逊(Michelson)干涉仪
图9-15示出普通光学迈克尔逊干涉仪的基本原理。由激光器输出的单色光由分束器(把光束分成两个独立光束的光学元件)分成为光强相等的两束光。一束光1射向固定反射镜,然后反射回分束器,再被分束器分解:透射部分那束光由光探测器接收,反射的那部分光又返回到激光器。由激光器输出,经分束器透射的另一束光2入射到可移动反射镜上,然后也反射回分束器上,经分束器反射的一部分光传至光探测器上,而另一部分光则经由分束器透射,也返回到激光器。当两反射镜到分束器间的光程差小于激光的相干长度时,射到光探测器上的两相干光束即产生干涉(参见13.5节)。两相干光的相位差为

图9-15 迈克尔逊干涉仪原理图
Δφ=2K0Δl (9-28)
式中,K0——光在空气中的传播常数;
2Δl——两相干光的光程差。
2.马赫-泽德尔(Mach-Zehnder)干涉仪
图9-16示出马赫-泽德尔干涉仪的工作原理。它和迈克尔逊干涉仪区别不大,同样是激光经分束器输出两束光,先分后合,经过可动反射镜的位移获得两相干光束的相位差,最后在光探测器上产生干涉。与迈克尔逊干涉仪不同的是,它没有或很少有光返回到激光器。返回到激光器的光会造成激光器的不稳定噪声,对干涉测量不利。

图9-16 马赫-泽德尔干涉仪原理图

图9-17 塞格纳克干涉仪原理
3.塞格纳克(Sagnac)干涉仪
塞格纳克干涉仪的结构如图9-17所示。它是利用塞格纳克效应构成的一种干涉仪。激光经分束器分为反射和透射两部分。这两束光均由反射镜反射形成传播方向相反的闭合光路,并在分束器上会合,送入光探测器,同时也有一部分反回到激光器。在这种干涉仪中,两光束的光程长度相等。因此,根据双束光干涉原理,在光电探测器上探测不到干涉光强的变化。但是,当把这种干涉仪装在一个可绕垂直于光束平面轴旋转的平台上时,两束传播方向相反的光束到达光电探测器就有不同的延迟。若平台以角速度Ω顺时针旋转,则在顺时针方向传播的光较逆时针方向传播的光延迟大。这个相位延迟量可表示为


图9-18 法布里-珀罗干涉仪原理图
式中:Ω为旋转率;A为光路围成的面积;c为真空中的光速;λ0为真空中的光波长。这样,通过检测干涉光强的变化,就能知道旋转速度。利用这一原理可构成光纤陀螺。
4.法布里-珀罗(Fabry-Perot)干涉仪
图9-18示出法布里-珀罗干涉仪的原理。它由两块部分反射、部分透射、平行放置的反射镜组成。在两个相对的反射镜表面镀有反射膜,其反射率常达95%以上。激光入射到干涉仪,在两个相对反射面作多次往返反射,透射出来的平行光束由光电探测器接收。这种干涉仪是多光束干涉,与前几种双光束干涉仪不同。根据多光束干涉原理,探测器探测到干涉光强度的变化为

式中,R——反射镜的反射率;
φ——相邻光束间的相位差。
必须指出,上述几种干涉仪有一个共同点:它们的相干光均在空气中传播。由于空气受环境温度变化的影响,会引起空气折射率扰动及声波干扰,这将导致空气光程的变化,造成工作不稳定,降低精度。利用单模光纤作干涉仪的光路,就可以排除这些影响,并可克服加长光路时对相干长度的严格限制,从而创造出有千米量级光路长度的光纤干涉仪。图9-19所示为四种不同类型的全光纤干涉仪结构。其中,以一个或两个3dB耦合器取代了分束器,光纤光程取代了空气光程,并且,这些干涉仪都以置于被测场中的敏感光纤作为相位调制元件。由于被测场对敏感光纤的作用,导致光纤中光相位的变化。

图9-19 四种类型光纤干涉仪结构
(a)迈克尔逊干涉仪;(b)马赫-泽德尔干涉仪;(c)塞格纳克干涉仪;(d)法布里-珀罗干涉仪
9.2.4 频率调制与解调
频率调制并不以改变光纤的特性来实现调制。这里,光纤往往只起着传输光信号的作用,而不作为敏感元件。目前主要是利用光学多普勒效应实现频率调制。图9-20中,S为光源,P为运动物体,Q是观察者所处的位置。如果物体P的运动速度为v,方向与PS及PQ的夹角分别为θ1和θ2,则从S发出的频率为f1的光经过运动物体P散射,观察者在Q处观察到的频率为f2。根据多普勒原理可得

图9-21所示是一个典型的激光多普勒光纤测速系统。其中,激光沿着光纤投射到测速点A上,然后,被测物的散射光与光纤端面的反射光(起参考光作用)一起沿着光纤返回。为消除从发射透镜和光纤前端面B反射回来的光,在光电探测器前面装一块偏振片R,使光探测器只能检测出与原光束偏振方向相垂直的偏振光。这样,频率不同的信号光与参考光共同作用在光电探测器上,并产生差拍。光电流经频谱分析器处理,求出频率的变化,即可推知速度。

图9-20 多普勒效应示意图

图9-21 激光多普勒光纤测速系统
光频率调制的解调原理与相位调制的解调相同,仍然需要两束光干涉。探测器的信号电流公式的推导亦与相位调制的解调相同;其实只要用2πΔft代替式(9-26)中的φ(t),即可得
i(t)=I[1+cos[2πΔft)] (9-32)
式中,Δf=f2-f1;由i(t)的交流分量我们可以得到Δf。
上一篇:单晶电子衍射花样的分析
下一篇:李白和他的妻子们





.jpg)
.jpg)
