
例 计算加权平均资本成本
Strummer股份有限公司正要计算资金的加权平均资本成本。作为公司的财务总监,你被要求分别用账面价值、市场价值进行计算。有关信息如下:
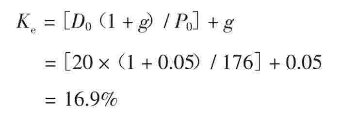
1.即将要发放的股利为每股20便士。预计以后股利增长率为每年5%。
2.公司所得税税率为30%。
3.银行借款利率为12.6%。
4. 12月31日的股票市场价值(均为除息价值) :

参考答案:
步骤一:计算不同来源资金的个别成本
1.权益资本成本Ke。使用股利增长模型:

2.优先股成本Kps。
![]()
3.可赎回债券成本(税后)Krd。使用Hawawini-Vora债券收益估价模型计算:
4.不可赎回债券成本(税后)Kid。
![]()
5.银行借款成本(税后)Kbl。
![]()
步骤二:计算不同来源资金的账面价值与市场价值

步骤三:分别使用账面价值与市场价值计算加权平均资本成本
WACC账面价值:=(16.9% × 235/520)+(13.4% × 50/520)+(8.7% × 80/520)+(9.7% × 95/520)+(8.8% × 60/520)
= 13.1%
WACC市场价值:=(16.9% × 633.6/871.5)+(13.4% × 33.5/871.5)+(8.7% × 76/871.5)+(9.7% × 68.4/871.5)+(8.8% × 60/871.5)
= 14.9%
上一篇:丁日昌主要有哪些成就
下一篇:西伯利亚雪橇犬





.jpg)
.jpg)
