
4.4 常用带隙电压基准结构设计
4.4.1 基于亚阈电流控制的电压带隙基准
MOS亚阈控制型带隙基准是在基于电流镜控制的基准上发展起来的一类新型带隙基准电路,结构如图4-13所示。改进主要表现在PTAT电流定义的两个支路中取消了原有的PN结,而是采用亚阈MOS管的VGS代替PN结导通的VBE,这不但简化了工艺,减小了对寄生PNP管的依赖程度,同时电路的最低工作电压减小一个PN结导通电压,适应了低压应用的需要。采用Cascode恒流偏置后,可提高电流比例控制的线性度,提高输出基准的电源抑制比与温度稳定性。

图4-13 基于基本电流源控制的亚阈型电压模带隙基准
图4-13中,M4和M5两个NMOS管均工作在亚阈区,VGS具有与BJT开启电压VBE相同规律的变化特性,即I-V特性呈指数或对数关系,电阻R1上的压降为

电阻上的PTAT压降与偏置电路对角线上MOS器件面积因子乘积之比有关。VR1转化成支路电流并通过M3电流镜以系数比M传递到输出支路上,与传统的电压求和结构相同,最终获得零温度系数的BGR输出,即

式中:N为M5、M4的宽长的比值;P为M1、M2宽长比的比值。
电路设计的关键在于亚阈工作区的稳定控制。首先,必须明确亚阈区的确切范围,其次应保证当电源电压变化或工艺漂移时,亚阈工作区域能够维持不变。
亚阈弱反型工作区介于强反型与截止区之间,与强反型为边界的弱开启区可从有效栅驱动电压和电流的大小加以限定。从电压方面看,VGS应在VTH附近,即过驱动电压应满足Δ=VGS-VTH<2nVT的条件,亚阈非理想因子n通在常1~1.5范围之间。这样,VGS偏置最多只能大于VTH约80mV以内,才能满足弱开启条件。通常,考虑工艺漂移或衬底偏置效应后,VTH自身的变化可达到100~200mV甚至更高。显然,固定栅压偏置下当VTH有微小变化,很难保证器件在所有状态下都能处于亚阈区。亚阈偏置只能采用自适应的偏置技术,即通过动态反馈以使VGS-VTH始终保持在规定的亚阈范围内,维持工作状态不变。因此,当工艺漂移时,只要采用的自偏置电路结构中存在限流机制,支路电流被限制在一定范围内,即可实现稳定的亚阈区工作状态控制。
亚阈区偏置从电流方面限定则更为有效。根据EKV的连续型I-V模型,强反型—弱反型的临界电流或转折点电流定义为标称电流IS。IS仅由工艺和上述最小有效栅驱动电压决定,单位W/L的临界转折电流可表示为

根据CSMC0.6μm CMOS工艺SPTCE模型参数,计算得到IS0均在几十纳安以内,且IS0,n>IS0,p。为确保亚阈偏置,应使单位W/L下的MOS管电流限制在IS0以内,要想使具有较大电流的器件工作在亚阈区,应使其W/L增加以减小有效栅压;与之相对应的是,要使具有较小电流的器件工作在强反型区,应降低W/L以增加其有效栅压。因此,判断器件是否工作在亚阈区,不能仅从电流的绝对大小上看,还要看其W/L,即要考察其有效栅压的大小。这在电路设计中具有重要指导意义,即通过限定电流的大小,以及改变同一支路上各器件W/L之间的关系,可有选择地将同一条支路中的部分器件设定在亚阈工作区,而其他器件设定在强反型工作区。很明显,亚阈设计与低功耗要求是一致的,很低的静态电流只需要相对较小的W/L就可使其进入亚阈状态,从而大幅度节省面积。
根据以上基本原理,可以确定电路的基本设计流程。首先根据功耗限制确定各支路的静态电流,选定该电流下所需的限流电阻,确定电流镜W/L之间的比例关系,并根据偏置电流和IS0的限制关系,确定各MOS管W/L的具体数值,最后根据补偿系数的要求选择输出电阻和输出MOS的具体尺寸,由HSPICE模拟结果对电路参数适当调整。Peak型自偏置结构对基准电路总体性能改善明显,最显著的是电源线性调节能力提高。VCC变化时所引起电流变化导致电阻上的电压也跟随改变,对于单调型自偏置结构,当衬偏存在时,VTH跟随VCC变化,这又进一步影响支路电流的大小,使输出偏离更为显著。与传统基准结构相比,基于MOS管亚阈控制的电压模带隙基准的稳定性、一致性和主要性能指标均略显不足,其宽温度范围内的温度系数一般在几十×10-6/℃的范围内。
4.4.2 运放控制的电压模带隙电压基准
运放在电压基准电路中的反馈控制,主要用于产生精确的ΔVBE和支路电流比例关系。由于ΔVBE仅为2VT约50mV量级,因此运放输入差分电压分辨率应小于1mV,开环电压增益应大于1k即60dB。两级差分运放可基本满足以上设计要求。运放的输入失调电压成为影响输出精度的主要因素,包含系统失调和随机失调的总失调电压应控制在几个mV以内,这对运放的对称性设计提出了很高的要求。

图4-14 OP控制的电压求和模式带隙电路
如图4-14所示,OP采用两级增益结构,输入级为PMOS差分放大,输出级采用NMOS放大的普通CS结构,OP工作点为匹配对称设置以降低系统失调。考虑到环路反馈后,其闭环为三级增益结构。输出控制为PMOS管放大的CS增益级,只是其负载为PN结的中低阻输出,增益不高,因此环路增益主要由运放提供。
4.4.3 基于电流镜控制的电压带隙基准
与OP控制的BGR不同,基于电流镜控制的BGR,由两路PN结支路产生ΔVBE所要求的相同电位约束可由NMOS管相同的栅源电压VGS实现,如图4-15所示。因此,形成带隙电压的关键在于限定两条支路电流严格的线性关系,通常为两支路电流相等。采用Cascode或Wilson电流镜可实现以上要求。由此产生的近似PTAT电流再经过输出电流镜的线性变化后,在输出支路电阻上还原成PTAT电压,与输出管Q3的VBE补偿后,得到BGR电压。

图4-15 基于Cascode电流源控制的电压模带隙基准
线性补偿系数可由输入、输出支路电阻和电流镜W/L控制,即

采用图4-15(a)所示的Cascode结构,所需要的最小电源电压为2VTH+4VDS,sat+VBE,对于-1V的PMOS开启电压,低功耗下的过驱动电压为0.2V,则最小电源电压超出3V,因此该结构不适合于低压电路。一种改进的方法是采用宽动态范围的低压Cascode结构,如图4-15(b)所示,此时电源电压可减小一个VTH开启电压,最小工作电压降低到2V上下。
PTAT产生支路可以利用MOS亚阈偏置,这样可用VGS代替VBE,当MOS管的VTH为低开启值,同时又工作在亚阈区时,可使VGS《VBE,并导致最低工作电压下降。电路结构如图4-16所示。为进一步降低电源电压,理论上可用普通电流镜代替Cascode电流镜,但考虑到MOS管输出电阻对偏置电流的调制作用,使电流镜两支路电流的线性比例关系已有很大偏离,并随VCC的变化而改变,很大程度上影响到输出带隙基准的控制精度。

图4-16 基于亚阈偏置的Cascode带隙基准结构
4.4.4 OP控制的电流模带隙基准
一种采用OP控制的电流模带隙基准电路如图4-17(a)所示。M1与R4组成简单偏置结构,M1~M11组成BJT支路的上电启动电路,提供初始注入电流,保证系统启动后能够进入稳定的工作状态。图4-17(b)中,M1~M4与电阻R0组成的简单偏置提供运放输出支路静态电流。带隙基准内核由M13、M12、Q1、Q2和相应的R1~R3电阻组成,求和电流经输出支路M14感应后,在R4上转换得到所需的带隙电压基准。
图4-17(b)作为一种OP控制型带隙基准的简单实现形式,通过对偏置结构的改进,即由简单偏置改为峰值型自偏置,并增加对偏置的启动控制,提高了输出基准的电压调节性能。进一步的改进可将运放偏置与基准PTAT的偏置耦合成一体化闭环控制,同时运放电流镜采用PNP管移位式二极管偏置,以降低电路的最低工作电压,电路结构如图4-18所示。电路的电源抑制比性能进一步得到提高,但启动更加困难,需要合理地设计偏置的启动结构。在以上电路结构中,瞬态启动电流应首先注入到PTAT电路中的钳位二极管支路形成正反馈控制,建立PTAT支路偏置电流,对图4-18所示的偏置耦合结构,还需要对运放的偏置提供注入电流,同时启动运放工作。在以上启动控制下,电路系统才能进入稳定的工作状态。

图4-17 基于OP控制的一阶线性补偿电流模式BGR

图4-18 全局一体化偏置的OP控制型电流模带隙基准电路
在忽略运放输入失调电压以及各类比例因子失配的前提下,在-45~125℃的温度范围内,基准电压的温度系数可降低到10×10-6/℃的量级。
4.4.5 MOS亚阈型电流模基准
由于采用基本的电流镜偏置,结合电流模的基准输出控制,该结构的最大优点在于适合低电源电压工作,并能实现中等性能的温度特性。但该电路存在的一个明显不足是输出基准的电源抑制比相对较差。一种简单的改进可采用Cascode电流镜代替普通的电流镜,这种改进针对偏置、运放和输出支路等各个需要电流偏置的方面。
图4-19电路由三部分组成。第一部分为M4、M5、M8、M9及R4构成的峰值型自偏置电路,电阻R4定义支路电流,为获得PTAT电流输出,R4应将偏置电流限制在很低的水平,同时扩大M8和M9的W/L,使其单位W/L的电流远小于IS0,从而保证这两个NMOS管始终工作在亚阈区。偏置中的M4、M5两管仍然工作在饱和状态,电路通过M1输出具有正温度系数的电流。第二部分为M2、M3、M6、Q1、M7、R3构成的两级增益闭环负反馈控制结构,电容C和电阻R2串联形成的R2、C零点补偿内部的高频次极点,确保内部环路稳定。该电路产生VBE/R3的负温度系数的电流。最后,这两路电流通过M1、M10求和,经R1阻抗转换后获得基准输出。

图4-19 基于CS的电流求和带隙电压基准
在CMOS亚阈基准结构中,在PTAT产生支路已取消了经典结构中衬底PN结,只是在输出电压求和中还保留有唯一的一个PN结。而电流模基准输出支路中已无需PN结,因此有可能实现没有BJT结构的全CMOS带隙基准电路。如图4-20所示的电流模基准中,电路仅包含MOS管和R、C无源器件,避免了对寄生晶体管的利用,这对改善电路性能,降低工艺复杂性和芯片面积十分有效。

图4-20 全CMOS结构电流模电压基准
工作在亚阈区的MOS管,IDS~VGS之间不但保持指数关系特性,而且其VGS的温度特性也与VBE相类似,即

式中一阶温度系数kG由以下4部分组成
kG=kT+VGS(T0)-VTH(T0)-Voff (4-40)
式中kT和Voff为BISM 3V3SPICE模型参数,取值与具体的工艺相关。
对于CSMC 0.6μm数模混合CMOS工艺,Voff=-96.1mV,kT=-333.3mV。亚阈区的有效栅驱动电压应为负值,单位W/L管通常在nA级的亚阈电流偏置水平,常温下VGS(T0)-VTH(T0)≈-100mV,代入以上各参数后计算得到kG≈-337mV,即kG≈kT。相对于BJT管VBE的温度系数,MOS管VGS1的等效温度系数仅为kG/T0≈-1.12mV/℃,减小了约40%左右。VGS负温度系数的减小有利于输出基准的降低,但温度系数与工艺有关,因此形成的基准电压随工艺的稳定性,明显不如基于BJT结构的基准电路。
为简化分析,假设各PMOS线性电流镜的比例系数均为1,则由正负温度系数的简单叠加,输出电压为

电流模输出基准可写成Vref=αVGS1+βVT的一般形式,由aVref/aT=αTCVGS+βVT0/T0=0的补偿条件,得到α/β=-VT0/kG,即

通过调节电阻R0与R1的比例关系使上式满足,即可获得近似零温度系数特性的基准输出。电阻R2对温度系数的调节没有作用,只影响输出基准的绝对数值。
该类型电压基准的设计关键之一在于保证电路状态的稳定控制,即亚阈区的临界点是否会随温度而发生变化。根据亚阈值区的判据,其临界电流正比于μ(VT)2,而R0定义的偏置电流I=ΔVGS/R0,若R0为正温度系数电阻,则因其温度系数的抵消而使偏置电流的正温度系数减小,高温下的临界条件更容易得到满足,并保持亚阈值特性不变。相反,如R0为负温度系数电阻,则高温下有脱离所设定亚阈区的可能。设计时必须留有足够的电流变化的余度,以保证在宽温度范围内亚阈MOS管状态保持不变。

图4-21 基于反馈控制的全CMOS电流模基准电路
以上电路适合于对温度和电源抑制比要求不高的低压低功耗应用场合,输出基准的温度系数通常在几十×10-6/℃量级。图4-21给出一种新的全CMOS电流模带隙基准电路,其中负温度系数电流采用相同的VGS1/R1控制技术,不同之处在于正温度系数PTAT电流量的产生与电流叠加方式,基准输出通过闭环负反馈的控制,实现电源抑制比性能的提高。根据所示的电路结构,输出基准电压为

式中:电阻R3上的电压为VR3=VR2+VGS7-VGS8=VR2-(VGS8-VGS7),由于M7和M8两管流过线性相关的偏置电流,并且当两管均工作在亚阈饱和区时,其VGS压差产生PTAT正温度系数电压,即

以上两式经整理后得

采用同样的补偿方法,通过调节各电阻及电流镜的比例关系使其满足α/β=-VT0/kG的条件,即可获得近似零温度系数的基准输出。不同之处仅在于电阻R4不但对输出电压的数值有影响,同时还对输出基准的温度系数有调节作用。
4.4.6 基于MOS管阈值压差的基准
NMOS管与PMOS管开启电压VTH具有相同类型的温度系数,利用两者电压的差值以抵消同类型的温度系数,是此类基准电路设计的基本原理。设VTN的温度系数为-TCN,VTP的温度系数为-TCP,两者都是负温度系数。若|TCN|<|TCP|,则选取适当的m以使m×VTN的温度系数扩大至m×TCN后,数值上变得与TCP完全相同,则m×VTN-VTP的差值不但可实现近似零温度系数的特性,还可达成与VCC无关,满足电压基准的基本要求。此时的BGR电压取决于MOS管VTH经加权处理后的差值,因此基准电压通常较低,具体数值与m调制系数和开启电压密切相关,即
Vref=mVTN-|VTP| (4-46)
式中:m=|TCP|/|TCN|,代入相关参数计算得到的基准电压约在几百毫伏量级。在电路的具体实现中,所能获得的物理量是VGS而非VTH,而两者之间温度特性的偏差是造成输出误差的一个主要来源,因此必须在电路设计上采取一定措施加以克服和缓解。由于VGS=VTH+Δ,有

其中aVTH/aT=-TC,且式中最后一项为

如图4-22所示,采用非线性恒流源偏置电路,其中支路电流由RB限流电阻所确定,即

式中,

图4-22 低压基准电路结构
由于扩散电阻RB=(L/W)R/(qμRn),RB的温度特性由载流子迁移率决定,对上式求温度偏导后得到

将式(4-48)和(4-50)代入式(4-47)后,得到

式中μ为沟道载流子迁移率,μR为电阻扩散层中载流子迁移率,两者的温度系数有较大差别,尤其是当采用多晶电阻时,差异更大,导致VGS与VTH的温度特性有较大的偏差。
为使VGS与VTH尽量接近甚至相同,最简单的方法就是采取Δ=0的低功耗偏置技术,即VGS≈VTH,则aVGS/aT≈aVTH/aT,这需要将MOS管偏置在强反型与弱反型的临界区域,以减小Δ电压温度特性的影响。此类基准的输出为几百毫伏,温度系数小于10×10-6/℃,电路功耗可降低到μA级,最小工作电压可降低到1.5V左右。电路的主要缺点是输出随工艺的变化,尤其是随开启电压及其温度系数的变化密切相关。
4.4.7 两级缓冲带隙基准
普通的电流模带隙基准虽然可以输出低于1.2V的低压基准,但相对于电压求和结构,电流模基准控制精度较差、且容易受工艺漂移的影响。此外,输出基准的线性调节和电源抑制比性能不高,严重限制了此类基准在开关电路系统中的应用。当电源噪声耦合到电流模基准电路中后,会引起偏置电流瞬态值的大幅变化,导致电流模低压基准的漂移,具体表现在基准中心值的偏离和输出纹波的显著增大,并最终导致应用系统性能的退化甚至失效。
提高电流模带隙基准电源线性调节和电源抑制比抗噪声性能指标有多种技术途径。一种简单的方式是采用Cascode电流偏置取代普通电流镜,提高电流偏置的输出电阻可显著减小输出基准随电源的变化,对电源抑制比特性的改善也有一定效果。但Cascode电流偏置将显著增加电路的最小工作电压,而且对抑制电源噪声并不是十分理想。另一种可行的改进方式是采用两级缓冲的系统架构,如图4-23所示。其关键之处在于后级内核基准的供电经过了前级缓冲输出的调节,VCC变换到Vreg驱动后的噪声被大量滤除。同时由于Vreg的准基准特性,丰富了输出基准Vref的调节手段,增加了电路设计和参数调节的灵活性。两级缓冲基准结构不但能够满足低压工作的要求,而且对进一步改善电路的温度特性、抑制电源噪声、提高输出基准的稳定性,成效十分显著。

图4-23 两级缓冲系统结构
两级电压调节结构其实质是二维变量控制在电路中的具体应用。一种简单的两级缓冲带隙结构如图4-24所示。Vreg由一个Cascode电流源提供驱动,而没有采用如图4-23所示的OP调节,电路结构相对简单。内核电路采用的是亚阈型电压模带隙基准。由于两部分电路通过电流偏置耦合在一起,因此启动电路应使Vreg首先建立起来,然后再启动BGR内核中的基本PTAT偏置支路。良好的启动特性是保证电路可靠工作的关键。此外,保持Vreg结构不变,内核BGR也可采用其他各种类型的带隙基准,在此不一一列举。总之,此类基于简单反馈控制的Vreg缓冲型两级BGR结构,有效改善了输出基准的PSRR性能。但由于Vreg没有温度调节特性并随温度的降低而降低,与固定VCC的电路驱动不同,在较宽的温度范围内,Vreg必须留有足够的空间以使BGR内核电路能够正常工作。

图4-24 改进的电压调节缓冲结构
图4-25所示为基于OP调节的前级缓冲模块。相对于电流镜反馈调节结构,OP调节具有更大的优越性。该缓冲输入级实现了将宽范围的输入电压VCC降低到Vreg调节电压的功能,并使具有初步基准性质的Vreg电压的电流驱动能力明显增强。Vreg电压数值的选取应由后级内核基准电路的最小工作电压确定。当后级电路仅需在1V以上的稳定电压驱动,输入缓冲级可采用1个PN结的温度补偿,实现1.2V附近的零温度系数Vreg电压,或大于1.2V的正温度系数电压。当后级负载电路采用电压模结构,其最低驱动电压远大于1.2V,则设计Vreg为更接近2Vref即2.4V的高压驱动。为保持Vreg的温度稳定性,需采用对两个串联PN结的温度补偿,此时Vreg具有较小的负温度系数。利用Vreg微小的温度系数参与输出基准Vref的温度调节和补偿,两者相互配合,使系统输出的温度系数降至最低。

图4-25 两级缓冲运放的前级预调节电路结构
以上两级缓冲基准实际上是一个基于OP反馈控制的电压求和带隙电压基准电路。运放中PMOS尾电流采用宽动态范围的Cascode偏置,NMOS偏置则采用Peak恒流结构。在PMOS差分输入的两级结构中,采用MOS二极管负载电流镜对输出负载的驱动结构,实现线性电压调节的功能。Vreg的调节精度主要由运放的差分输入级增益决定,但显著提高了Vreg的动态响应速度。对于系统应用而言,对Vreg精度要求并不很高,更需要的是其高速动态响应以抑制噪声,因此这种结构设计是适合这种输入缓冲的特殊要求的。对于运放输出的调节则与图4-3(b)所示的原型结构略有不同,两路输出MOS管合并成图4-25中的一个M7管,并通过相应电阻的分流控制,迫使Q1与Q2流过相同的PTAT电流,M7也流过近似2倍的PTAT电流,使电压补偿所需的R5电阻减小。
比较图4-23的原理结构,前级缓冲的输入参考电位实际上是Q2管的VBE电压,该参考电压并非独立产生,而是在前级缓冲带隙基准的核心支路中与输出调节Vreg的分压共同产生。因此,在两级缓冲结构中应特别注意偏置和OP电路的启动问题。
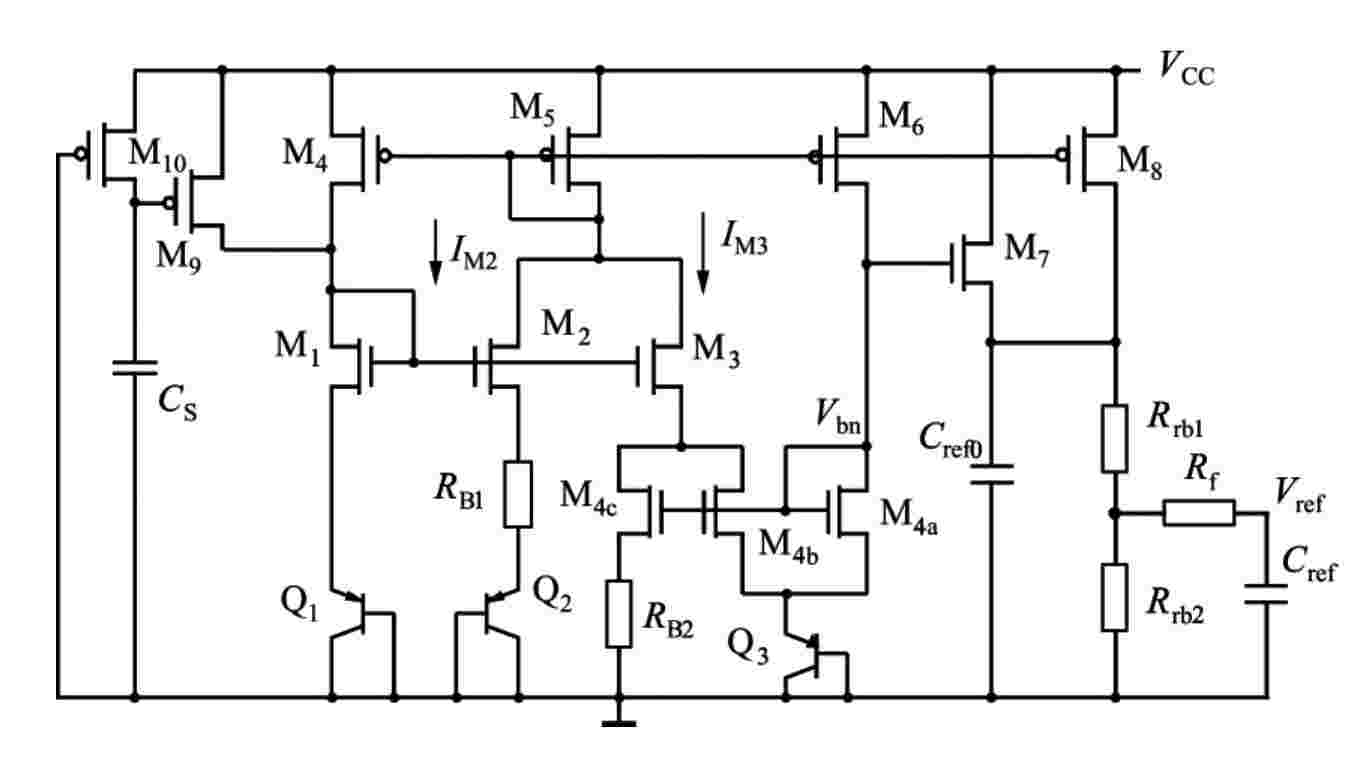
两级缓冲系统中的内核带隙基准可采用前文介绍的各类普通的电流模基准电路。常规的电流模基准电路采用相互独立的PTAT与IPTAT电流量进行线性补偿,由于正负温度系数电流量之间存在相互作用和影响,零温度系数状态点设置方便,但受工艺和环境的影响大,一旦引起正、负温度系数匹配上的偏差,基准的中心值及其温度系数就会发生很大的变化。为此,需要设计一种不同于常规补偿的新补偿方法,其正负温度系数电流量不再独立,通过内部耦合控制维持稳定的补偿。根据以上指导原则,一种基于内部耦合控制的电流模低压带隙基准内核电路如图4-26所示。

图4-26 内部反馈控制的电流模低压带隙基准内核电路
此电路仍包含负温度系数电流补偿与PTAT两种电流成分,并采用传统的基于ΔVBE的生成方法。设ΔVBE=VBE,QB1-VBE,QB2,Q2与Q1的面积比为N,则产生的近似PTAT特性电流由以下非线性隐式关系表示

只有在M1和M2两支路电流的比值保持为线性常数的条件下,支路电流才具有完全的PTAT温度特性,否则,当电流失配时,将带来温度系数的非线性。环路中IM2电流为负反馈,一定程度上提高了偏置电流的稳定性。因此,通过改变电阻RB1,可以方便地调节具有PTAT温度特性的电流分量IM2在电路总输出电流中的比重。
核心的IPTAT电流形成的关键在于找出IPTAT电流与PTAT电流产生联系的方式。将常规IPTATQ3支路上端的NMOS管分裂成M4a、M4b、M4c三个共栅结构,其中M4a工作于饱和区,而M4b与M4c进入线性工作区,等效为线性电阻。由IQ3=IM4a+IM4b与IM3=IM4b+IM4c的电流关系,调节MN4b和MN4c两线性电阻的宽长比,降低各自的VDS并使其近似相等,有

M4c管流经电阻RB2的电流近似为IPTAT电流。Q3管的负温度系数导通电压拉动M4a管的源电位,M4a的栅电位在M6管恒流偏置下会跟随VBE3变化。同时,在输出为基准电压条件下,M7管的输出将提供微量的负温度系数电流。
IM2为PTAT电流,IM3为IPTAT电流,两者在M5中求和并通过电流镜M8传递到负载电阻上转换为基准电压输出。为使M5中叠加的求和电流具有零温度系数,叠加分量的比例关系为

式中m=[a(IIPTAT)/aT]/[a(IPTAT)/aT]为负温度系数相对正温度系数的比值。
当正负温度系数的匹配很差时,即无论m偏大还是偏小,电流求和后都会导致I0的增加。一般情况下,正温度系数通常偏小,采用负温度系数电阻RB2以降低IPTAT电流的负温度系数,而适当减小RB1可提高PTAT电流温度系数。通过RB1与RB2电阻可设定m系数,对基准电路的温度补偿产生决定性的影响。
CMOS工艺中的阻值与阈值电压的工艺偏差和波动,直接影响基准的稳定性。电阻漂移引起的PTAT与IPTAT电流同比例变化,温度系数匹配的特性仍然保持。对于阈值漂移,以SF工艺角为例,PMOS管阈值电压VTP变小,流过M5、M6和M8的PTAT电流比例增大,导致Q3中的电流变大,VBE,Q3随之变大。由公式(4-53),IPTAT电流同时得到放大,保持IPTAT与PTAT在环境漂移下的匹配特性。对于其他如fs、ss、ff等工艺角的漂移,得到相同的结论。用于IPTAT电流微调的M7管,本身构成负反馈控制,提高了温度系数调节的精度。由于电路中不同温度特性物理量之间的耦合控制关系,在系统合适的工作点上,局部范围内的参数漂移很难破坏已有的平衡状态,即电路具有较强的抗工艺漂移能力和工艺健壮性。相对于普通电流模基准电路,电路中静态工作点的确定和调整相对复杂,使得电路设计和调试的难度显著增加。
电路中的主要MOS管包括输出级M8管均工作在饱和电流区,M8按W/L的比例关系取样M5中的电流。正是由于M5中包含了电路中正负温度系数的电流量,并经适当补偿,在忽略电阻温度系数的条件下,得到零温度系数电流。考虑电阻温度系数的影响后,由于输出电压中仅包含电阻的比,电阻温度特性的影响也可消除。然而,由于正负温度系数补偿系数方面的限制,导致常温下内核基准电路的功耗较大,功耗的降低受到补偿系数比例关系的制约。
针对以上不足,考虑到输出基准Vref=Vreg-VDS,其中VDS为M8管的漏源电压。由于Vreg的准基准性质,其变化范围很小且具有良好的温度特性,若VDS很小,并能够进一步补偿Vreg的正温度系数,从而获得更低温度系数的基准输出。这里很小的VDS电压意味着M8管将工作在线性电阻区,等效于一个线性电阻的作用。通过M5温度系数的调节,使流过M8管的电流为负温度系数,M8的栅电位随温度的升高而降低,其线性电阻则随温度的升高而增大,表现为正温度特性。具有正温度系数的阻抗或VDS电压补偿了Vreg中正温度系数电压分量,使负载电阻上基准电压的温度系数又进一步下降。
采用M8的线性化设计技术后,Vreg中所须补偿的负温度系数很小,则电路M5中提供的电流可以明显降低,实现了电路的低功耗。与M8饱和工作相比,另一个优点是减小了Vreg电压,实现了系统的低压工作。该结构的关键之处在于对Vreg的稳定性要求较高,Vreg偏差过大会导致基准性能的严重退化。另外,由于输出管的线性工作区作用,输出基准的电源抑制比特性略有降低。
4.4.8 利用运放失调的带隙基准
图4-27所示的1.2VBGR是由双极电路演化而来,并拓展到CMOS电路结构中。其关键是在R2电阻上产生PTAT电流,并且R1+R2+R3总电阻上的PTAT电压的正温度系数正好补偿VBE的负温度系数,得到1.2V电压。
由于M1输出级的反相作用,运放V同向端实际上是系统的负反馈端,反向端为系统的正反馈端,因此系统必须以负反馈为主导地位。显然,电阻R2上的压降由同向与反向差分输入对管的发射区面积Se或W/L形成的失调电压所提供。考虑到差分对输入共模信号范围应使运放电路正常工作,此外对于CMOS电路NMOS差分对,必须工作在亚阈电流区以提供指数规律的电流电压关系,差分对管的过驱动电压很小甚至为负,因此可采用NPN或NMOS输入差分对。为提高电压增益,差分运放多采用两级结构,整个闭环系统构成三级增益反馈结构。

图4-27 失调型电压模基准
NMOS两级运放结构中,因V同向>V反向,则其所对应的输入BJT管面积或MOS管W/L相对较小。同时,控制差分对尾电流的大小和差分对管W/L绝对数值,使差分对管均工作在亚阈区,保证PTAT电流的产生。根据电路结构及电压模基准的基本原理,输出基准为

式中N>1为差对管输入失调的W/L之比。若N=4,则基准输出应满足的温度补偿条件为
22.5=[1+(R1+R3)/R2]ln4
由此得到R1+R3≈15.2R2。
因此通过调节R1~R3各电阻的比例关系,可完成对输出基准的温度调节。

图4-28 失调型电流模基准
图4-28给出了基于电流模失调型的低压带隙电路结构,该电路本质上是一种电压电流混合模式输出,可用于低压基准输出。其核心思想与电压模失调型基准结构相同。首先,将VBE电压通过R1、R2的分压输出到主输出支路中,而非原来的VBE电压。由于输出基准为低压,因此采用适合低共模电平的PMOS差分输入结构,则R3电阻上的PTAT电压差也需通过R4和R5的分压降低后提供运放的差分输入。当差分运放采用单级增益结构时,可确保系统的稳定性,具体电路如图4-29所示。
与图4-27相同的反馈极性连接关系,系统的负反馈分量应大于正反馈分量,即运放的同向端电压反馈电压分量应高于反向端反馈电压。由于采用PMOS差分对,图中同向端端即M1的W/L应比M2大N倍,即与电压模失调结构W/L的关系正好相反。
采用迭加原理,仅考虑VBE1作用,则R2电阻上压降为VR2=VBE1R2/(R1+R2)。差分输入电压之差与R3电阻上的压降关系为

图4-29 混合模式失调电压控制型低压基准结构

考虑到Q1管的输出阻抗rd《R1,则流经R3的电流在相关电阻上形成的压降与VBE1电压在电阻R2形成的压降叠加,得到

调节各电阻的绝对值及其相互的比例关系,可有效控制输出电压基准的绝对数值及其温度系数。
需要特别指出的是,利用失调控制的基准电路结构,需要减小运放电路的本征失调,减小其工艺随机失调和静态工作点失配引起的系统失调。只有降低本征失调电压,才能精确控制Vid人为失调电压的精度。对于电压模结构中的两级NMOS结构,可在运放输出级增加一PMOS电压跟随器完成输出电平移位,以降低系统失调。同样,在图4-29电流模基准中,单级增益低且对M7管的驱动存在较大的静态失调。为此,增加一级增益结构同时实现对输出PMOS管驱动下的静态工作点匹配,以有效控制运放的系统失调。具体电路实现如图4-30所示。

图4-30 混合模式BGR电路改进结构的电路实现
以上结构依赖于M1和M2的亚阈工作区,在较大的静态电流下需要很大的W/L。因此用PNP管代替M1和M2作为差分对,一方面可以大大减小输入级的面积,还能有效降低噪声,减小输入失调。
4.4.9 Wildar多输出基准
在数模混合领域,除了需要1.2V的带隙电压基准,还需要电压低于1.2V的低压基准,因此高精度、多输出的带隙基准电压源具有现实意义,低压基准作为系统的核心与关键功能电路之一,被广泛应用。由于电压模基准中的零温度系数电压基准受温度系数匹配的影响,正负温度系数的比例因子决定了输出支路电流与输出支路中电阻值的高低,即电阻的阻值和输出电流唯一确定,形成固定不变的带隙电压值。当电压模带隙基准驱动负载电阻时,由于核心输出支路电流的变化,导致基准电压的变化,常规的基于电压求和的电压模基准电路结构很难满足多路低压基准输出要求。
实际上,多路低压基准电压输出可采用电压模带缓冲输出的电路结构,如图4-31所示。在两级缓冲输出电路中,基准输出适合驱动包含电阻在内的任意负载,由于缓冲级数量多,导致电路的面积和功耗代价过高。而在单级缓冲结构中,输出基准同样能够驱动阻性负载,但容易导致因分压电阻比例变化而造成的基准输出的变化。在输出基准驱动容性负载的常规应用条件下,只需采用单级缓冲结构,但同样面临电路复杂程度增加的影响。此外,缓冲器失调电压限制了基准电压的精度,同时电路最低工作电压受运放的限制而无法进一步降低。

图4-31 基于缓冲结构的多路输出基准的实现
多路低压输出带隙基准的一种简单实现方案是采用电阻串联输出的电流模基准结构。与缓冲结构相比,电流模多输出基准结构电路复杂度降低,无需额外的电压缓冲跟随器。电流模基准电路在原有电压模基准基础上实现的电压—电流转换改进,使输出基准和电源电压均可降到1V以内,并可实现多路输出。由于对阻性负载驱动的限制,电流模基准只适应于容性负载驱动,同时输出基准对电阻特性的依赖性很强,电阻阻值和温度系数的失配造成基准值及其温度系数随工艺产生偏差,并且同一支路输出分压产生的各参考电压的一致性较差。因此,电流模结构由于自身的局限性,一般不具备较高的电源抑制比。
显然,基准电路的负载电阻驱动能力是实现多路输出基准的关键。以上介绍的各类电压模和电流模基准电路,其输出级依据的基本原理是对偏置电流的线性复制传递,电压模中线性传递的是PTAT电流,电流模中线性传递的是近似零温度系数电流。基准的温度特性对输出电流的温度系数有严格要求,当实现驱动并联的阻性负载后,由于负载分流随温度的非线性变化,导致输出到基准内核电路上电流的温度特性变化,最终形成电压基准温度特性的显著漂移。因此,基于电流线性传递输出的基准电路没有阻性负载驱动能力,只能驱动容性负载。
除了采用电压缓冲结构外,通过提高基准的负载驱动能力实现的多路基准,只能舍弃基于电流线性传递输出驱动的电路结构。1971年由Robert.J.Wildar首先提出的Wildar电压基准正是这样一种具有负载驱动能力的基准电路。在图4-32(a)所示的电路结构中,基准内核支路由R1、Q1组成,并由Q4作为一个调整管提供输出驱动电流,Q4的偏置由负反馈环路控制。在Wildar内核基准的形成机制中,利用Q1和Q3近似相同的电压钳位作用,定义R1和R2支路电流相同,而流经R2的电流即Q2支路电流由ΔVBE/R3决定。因此,利用闭环反馈环路使电路工作在特定的静态工作点下,输出电压为VBE(on)与ΔVBE成线性比例的电压叠加。对Wildar基准电路增加负载电阻,并对负载电阻分压即可获得1.2V以下的任意电压,实现高精度、低功耗、较好的抗电源噪声能力的多路基准输出。
Wildar基准输出电压的静态决定机制与前面分析的电压模及电流模基准完全相同,但在动态控制方式上则与以上的各种基准存在明显的差异。当电路在合适的工作点稳定后,基准输出接入一定的阻性负载时,Q4输出电流将增大,不影响输出基准的值。Wildar基准的本质特征是由内核基准电压通过负反馈控制输出电流,而非常规结构下仅依靠电阻和电流镜的匹配实现精确基准输出电流开环控制内核电压的机制。实际上,Wildar基准可看成是将图4-31所示的独立电压缓冲输出变为基准内部的缓冲驱动,实现负载驱动功能。

图4-32 基于Wildar原理的多基准输出结构
根据Wildar控制原理而实现的一种CMOS Wildar电压基准如图4-32(b)所示。在N阱CMOS电路中,只能利用衬底寄生PNP管形成二极管,且集电极固定接地。因此,为了提高PTAT电流精度,采用运放AMP代替共源单级增益的反馈控制结构,在静态下构成闭环负反馈结构,启动条件为闭环正反馈。
如图4-33(a)所示,差分运放由差分单级结构组成,利用差分输入虚短特性实现的VX=VY,得到电阻R3、R4上相同的ΔVBE/ΔR电流输出,并转换为内核基准电压输出。在常规基准设计中,R7=0,X、Y电位被限制在0.65V附近,低于N型差分对管的开启电压VTH,因此需要提高X、Y点共模电平以使AMP正常工作,采用增加电阻R7、R8的方法实现以上共模电平的增加。利用Q1与Q2发射极面积比1∶N产生PTAT电压量。R3与R4定义支路电流相同,支路ΔR=R6-R5定义两支路的PTAT电流,R2用于输出电压值的微调,同时,M1在以上运放构成的线性稳压调节器的控制下,提供内核基准所需的电流,同时驱动与内核电路并联的串联电阻负载,形成多路低压基准输出。
当处于稳定状态时,I1=I2、VGS1=VGS2,在图4-33(b)中M6和M9尺寸相等的情况下,Vx=Vy。根据KVL定理,列回路方程得VBE2+R0I5=VBE1+R5I4。设R3=R4,I4=I5=I,则有

则考虑运放输入失调后的输出电压为

合理设定并调节电阻值及比例,可以得到零温度系数的带隙基准,并可以通过电阻分压得到1.22V以内的任意基准电压值。需要注意的是,电阻阻值大小并非任意设定,其下限取决于基准的带载能力。基准的最大带载能力决定于调整管M1的最大可输出电流,而最大可输出电流决定了电阻的绝对大小。因此,在实际设计中,M1的尺寸需要与电阻等器件的版图面积、电路功耗折中考虑。
当基准输出遇到扰动时,该基准电路通过负反馈环路调节基准电压,使基准电压相对环境保持近似不变。因此,提高基准输出电压的精度和电源抑制比,必须增加运放的开环增益,同时降低输入失调电压。
实际电路中内部电压缓冲放大管M1的栅级电位约为2.3V,X、Y电位较低并小于1V,PMOS差分输入单级增益无法提供共模范围合适的驱动信号。采用图4-33(a)的单级NMOS差分增益结构,不但增益低、而且失调大。以5V电源工作为例,M4的漏极电位约为3.8V,M7的漏极电位钳位于2.3V附近,X、Y产生的失调为(3.8-2.3)/A0,在60 dB的开环增益条件下运放系统失调达到毫伏量级以上。此外,考虑到运放输入共模电平相对固定,取消尾电流恒流源仅用小电阻R7/R8取代,因此反馈控制性能难以有效提高。
图4-33(b)给出了基本差分放大电路的改进结构,首先增加了M5/M8一对NMOS电流镜,以提高两支路电流的静态匹配特性,降低系统失调。在负载固定的条件下因M1缓冲管VG栅压固定,则M5/M8提供一级CG增益。由于从增益的角度看,改进结构相对基本结构的增益提高部分为(gM5/gM7)(gM7/gM4)。改进电路通过M2、M3支路电流巧妙的分流作用,降低M4管中的电流以增加gM7/gM4的比值,在相同的栅压驱动下,跨导比即为(W/L)之比。图中,设置M2、M4、M7宽长比之比为(n-m)∶m∶n。静态电流平衡条件要求M5、M8的W/L保持相应M4和M7的相同比例关系,同时增加M5管W/L的绝对数值,以提高gM5/gM7的比值,由其串联支路电流相同的条件,其跨导比正比于相应(W/L)之比的开方值。综合以上两方面因素的关系,增益倍增因子与相应MOS管W/L的关系为

图4-33 单级增益差分运放增益的提高和失调的降低改进

通常m=1取为参考电路,根据电路要求可改变n以灵活地调节运放增益从而降低输入失调。当设置n-m∶m∶n=4∶1∶5时,优化后增益比普通差分运放提高10倍以上,输入失调电压减小一个数量级。
设置R7与R8为两个相同的小电阻,以提高运放的共模抑制比,对改善电路PSRR有一定作用。由于M7、M4、M2管子较大,产生了较大的寄生电容,电路产生两个低频极点和一个高频零点,且输出极点与镜像极点重合,因此需对电路进行补偿。包括启动电路的基准电路如图4-34所示,在M9的栅漏间增加电容Cm以改善运放的频率特性。

图4-34 实际电路设计
当电源电压从2.6V到5V,电流功耗变化不超过40%,基准温度特性的关键因素是运放输入失调电压。通过拆分支路的方法对单级差分运放进行优化。若M2∶M4∶M7以及M3∶M5∶M8的宽长比之比均设定为n-m∶m∶n的关系,并取n=5、m=1,运放增益可提高近10倍,增加20dB,温度系数理论仿真结果在全温区范围内小于10×10-6/℃,抗电源噪声的PSRR达到60dB的水平。





.jpg)
.jpg)
