
5.1.3 创新企业投入产出的效率问题
(1)创新企业投入产出运行过程中的溢出效应问题。
创新企业投入产出运行过程中存在“溢出效应”,这个效应对投入产出和创新资源配置的效率构成重大影响。
创新企业投入产出过程的溢出效应来源于创新活动,这些创新活动普遍而客观地存在着溢出效应。所谓溢出效应,又称外部性。按照布坎南给外部性下的定义,“外部性是指某个人的效用函数的自变量中包含了他人的行为。”即Fj= Fj(X1j,X2j,…,Xnj),Xi(i=1,2,…,n)是指经济活动; j是指个人或厂商。溢出效应在现代市场经济的许多活动,尤其是生产投资活动和消费行为中普遍存在。对经济普遍存在的“溢出效应”及其对资源配置效率的影响进行理论研究,最早始于20世纪60年代初。在60年代初,麦克杜格尔(MacDougall,1960年)在分析外国投资的一般福利效应时,第一次将技术溢出效应视为外国直接投资的一个现象。后来,经济学家肯尼斯·阿罗(Kenneth Arrow)观察到:“当由投资产生的知识被不情愿地扩散到竞争者那里时,一个企业从事R&D投入的激励将减少”到了80年代,越来越多的学者注意并深入研究溢出效应对R&D投资的影响。经过充分研究,经济学家们认为:技术创新资产具有公共物品的某些属性,这又称为技术创新的“外部性”。而“溢出效应”是这种外部性的表现之一。创新的溢出效应主要表现为三个方面:创新技术的溢出效应、创新市场的溢出效应以及创新利益的溢出效应。
上述三个方面的溢出效应,对于创新企业在市场机制作用下配置资源的效率以及其本身利润最大化目标的实现,造成性质不同的影响。具体而言,技术创新的溢出效应有如下几个方面的表现:a、创新企业由于技术创新而扩大创新产品的市场份额,结果对同行业或其他相关联行业的企业供给与需求造成影响。比如创新企业的创新活动减少了行业的生产成本,并相应也减少了关联行业的成本。但这个创新企业却不能因为这个贡献而向行业其他企业或其他行业的企业要求报酬。b、这种R&D投资溢出效应还表现在它容易引致“搭便车(Free-rider)问题。有许多企业看到R&D投资中存在溢出效应这一事实以后,会选择等待而不是去从事率先创新的活动,因为即便是等待它,也可以享受其他率先创新者的创新活动“溢出”的好处——行业成本的下降。这在实际操作中会形成R&D投资率下降的情况。c、溢出效应的存在还表现为社会和私人对于R&D投资的收益率不一样。根据Bernstein和Nadiri的上述研究报告,以美国5个高技术产业进行实证研究,有如下结果:
其他的一些案例反映出来的结论也是类似的,即创新投入产出活动的社会边际收益率>其企业边际收益率>资本利率。创新企业在为自己利润进行创新的同时,会给社会创造更高的边际收益。
表5-5 1981年美国5个产业的边际收益率(%)

综上所述,技术创新溢出效应具有两个特点:一是定向性。一些技术含量高,与其他产业相关度大的产业溢出效应也较大,溢出效应对某一特定产业的影响和效应值的大小取决于这个产业的技术特征。二是收益率的不等性,也即肯尼斯·阿罗所说的创新利润非独占性。
(2)创新的溢出效应对创新企业投入产出效率的影响。
考虑两个企业的投入产出:一个是传统产品的生产,通过投入资本和劳动力,产出产品;另一种是创新企业的投入产出,用R&D生产来代表。它通过R&D投资R,产生创新,使技术水平提高。假设,R&D投入R与技术水平提高T满足如下关系T= R;式中a——技术水平关于R&D投入R的弹性,0>a>1,显然它也是R&D投资的效率测度。
传统产品企业的主导生产函数具有不可替代性,并具有规模限制,其公式为:

其中:K—资本投入;L—劳动力;a—单位资本的产出率;劳动生产率假定为1,
—所采用的生产技术最多可容纳的劳动力人数。
创新企业则从利润最大化目标出发考虑R&D投资,其相应的利润函数为:
![]()
其中:P——产品价格;q——资本租金;W——工资率。
利润最大化的一阶条件为:(эπ)/(эR)= 0,即有:P·a·Pa-1·
=1
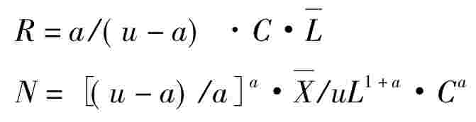
如果在产业内或产业间有溢出效应的情况下,每个企业技术水平的提高,以及对于创新企业来说,其创新投资效率的提高,不仅依赖于自身R&D投资的投入产出比,而且还依赖于产业内、外其他企业的R&D。如果这样,那么就应该考虑这种内部效应,企业的产出实际上应修正为URa·
,这里U是大于1的参数,它是每个企业得益于自身R&D投资及其他企业的溢出效应的程度。
假如市场上没有进入壁垒,那么新企业的进入只有当出现零利润时才会停止,即:
![]()
假如市场总需求量为固定的X,则企业数目N应满足均衡条件:
![]()
由上面的式子可得到创新企业R&D投资以及市场上也进行R&D投资企业的数量:

从上面的模型分析,可以得出如下结论:
1)在投资效果a一定的条件下,从R的等式中可以看出,溢出效应越大,而u越大,企业的R&D投资越小;溢出效应越小,R&D投资越大。如下图所示:
2)在溢出效应U一定的条件下,a越大,企业的R&D投入R越大;a越小,R越小。而影响R&D投资效率的重要原因之一是R&D资源的有效配置与使用。

图5-3 溢出效应:R&D投资与投资效率的关系
3)溢出效应越大,厂商数N就越小,即企业所在产业的集中度1/N就越大。说明溢出效应将促进产业向集中化发展。关于溢出效应推动企业朝大规模发展以及产业的集中化,还可以进一步从溢出效应对平均成本的影响加以解释。平均成本满足:
这表明:平均成本C与溢出效应成反比,即溢出效应U越大,平均生产成本则越低。但这并不意味着企业都走向垄断。根据产业经济学贝恩(J.S.Bain)指数IB对垄断力的测试,有: IB= P-C/P,结合前面几个有关公式,我们可以得出:IB= a/u,其含义是溢出效应越大,企业的垄断能力越低。
更概括一点地看,溢出效应对于创新企业的R&D投资效率或者投入产出效率的影响具有两重性:一方面,在存在行业间和行业内的创新溢出效益的情况下,创新企业由于受到其他创新者的溢出影响,在进行自主创新时必然要“免费”享受公性知识,从而降低了技术创新投资的成本,从而提高自身R&D投资效率;同时进行R&D投资和创新投资使社会边际收益率大于私人边际收益率,有利于引导公共创新资本的形成,有利于刺激公共投资流向有关重大的基础性技术创新项目。而这种社会资本的运动间接地为私人部门从事技术创新(第二次创新)搭建了共用平台,提供了发展基础。另一方面,溢出效应对私人投资技术创新的动力,有极大的抑制和减损作用。创新企业投资率服从边际递减的规律,使得从长期看,创新企业投入产出效率受到负面影响。
(3)将技术创新负外部性内在化的对策。
从长期看,技术创新溢出效应对创新投资的负面影响,即其负外部性的存在,会阻碍整个经济创新投入的正常而稳定地增长,而这种持续增长,又是国民经济长期增长的根本动力。因此,世界各国为了适应新经济日益发展的要求,在发展创新企业,鼓励技术创新的过程中,几乎无一例外地把克服技术创新负外部性作为政策要点。
对付任何外部性,其根本方法也无非是将其内部化。将某种外部性加以内在化,通常有如下几种手段:1)通过兼并或资本、股权、债务的整合和重组,将受到和施加外部性,尤其是负外部性的主体变成同一个主体。这种手段对付局部的而且是发生在企业之间的负外部性比较有效率,成本相对较低。2)外部性的发生有一个重要原因是:当前状态下的市场机制不能用价格制度解决资源配置即生产与消费行为的效率问题。市场机制有缺陷是发生外部性的主要原因之一。因此,通过增设市场,完善和整合现有市场体系的方法去解决外部性的内部化问题,不失为一个有效方法。3)应用宏观调控政策来干预资源配置过程。由政府公共支出政策和其他财政金融政策来调节带有全局性的大面积发生的负外部性、调节公共物品(Public Goods)生产与消费中出现的负外部性是非常有效的。
具体到将技术创新中产生的负外部性加以内在化的政策问题,应注意两点:
1)采取分别不同具体情况,灵活运用不同对策的原则,三管齐下。对于那些民营创新企业在创新中占居主导地位的国家而言,其对付技术创新负外部性的主要着眼点在于可能出现的私人边际R&D投资收益率的下降。因此,在三管齐下的同时,政策侧重点应放在政府加大创新间接支持体系建设的力度,以间接财政金融补贴政策为主;而对于象中国这样的市场经济体制尚未建设完成,市场经济活动还不规范,民营创新企业发育不太强盛的国家,则应抓住两个重点:第一,要将市场经济体制建设的过程同完善市场体系结合起来,以便将负外部性内在化的政策操作过程统一起来,“毕其功于一役”。第二,加大政府直接介入创新投资的力度,但要注意这种介入的方向性。对于那些能产生正溢出效应的基础研究,应视为重点加以突出;而应控制应用研究的投资力度。(2)要注意根据自己的国情和本国在国际竞争中的地位与目标,来执行相宜的内在化政策。
上一篇:倾听的四个层次技能与倾听状态
下一篇:北极星“平常”星!





.jpg)
.jpg)
