
一、金属的腐蚀及防护
金属材料和周围腐蚀介质发生化学和电化学作用而被破坏的现象称为金属腐蚀。其中主要的是电化学腐蚀。金属腐蚀的结果是金属从元素转入化合物状态,因而失去其作为金属材料的宝贵性能。钢铁零件在潮湿的大气中生锈便是金属腐蚀最常见的例子。金属的化学腐蚀是金属在干燥的气候下的腐蚀和在非电解质溶液下的腐蚀,腐蚀过程没有电流产生。金属的电化学腐蚀是金属在电解质溶液中以原电池的形式发生的腐蚀。腐蚀过程中有电流产生。具有阳极和阴极二个电极以及阴阳二个电极电位差是金属电化学腐蚀的必备条件。金属在潮湿的大气中及海水盐雾环境中的腐蚀都属于电化学腐蚀。此处主要介绍金属的电化学腐蚀及防护。
(一)金属的电化学腐蚀
1.金属的电极电位
如前所述,金属阴、阳二极的电位差是金属电化学腐蚀的必备条件之一。那么什么是金属的电极电位呢?根据电化学的理论,当金属放入水中或电解质溶液中时,金属表面因失去金属离子,使其表面积累了剩余的电子而带负电,溶液的表面因溶入了金属离子而带正电。于是在金属—溶液界面形成了“双电层”,如图2-13所示。

图2-13 双电层示意图
锌、钙、镁、铁等金属能形成这种类型的双电层。铜、汞、铂等在各自的盐溶液中则形成与此相反的双电层。
“金属—溶液”体系即称为电极,双电层的电位差即称为电极电位,简称电位。
2.金属电动序
双电层的电位差的绝对值,目前无法测定。实际工作中使用的电极电位的概念是一个相对值,是指该电极相对标准的氢电极而言的(标准氢电极的电位定为0),称为氢标的电极电位。将金属的氢标电极电位按从负到正的顺序排列所得到的表称为金属电动序,见表2-4。
表2-4 常用金属电动序(标准电极电位)

当电位值为负时,称为负电性金属;当电位为正时,称为正电性金属。电位越负表示金属以离子状态转入溶液的可能性越大,被腐蚀的可能性也越大,电位越正,这种可能性越小。因此电位值的高低,标志着金属化学稳定性的高低。
3.金属的电化学腐蚀过程
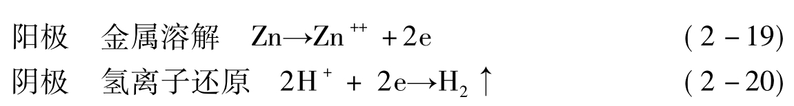
当将两种金属放在装有电解液的同一器皿中,并用导线连接时,导线上便有电流流过,这种装置称为原电池。如图2-14所示,它由锌板、铜板和硫酸液组成。锌与硫酸液构成一个电极,铜与硫酸液也构成一个电极。因锌电极的电极电位为-0.762V,低于铜电极的+ 0.345V,则锌元素有更多的锌离子进入溶液,在锌板上留下更多的电子,当用导线连接锌板和铜板时,因锌板上电子浓度大,故电子沿导线流到铜板,形成电流。电流的方向自铜板经外导线指向锌板。流到铜板上的电子与溶液中的H+结合生成氢气溢出。若该过程不断进行,则锌板不断被溶解直到锌板被完全溶解腐蚀掉为止。这就是金属的电化学腐蚀过程。在这个腐蚀电池中,规定被腐蚀的一极为阳极,另一极为阴极。此例中锌电极为阳极,铜电极为阴极。电极反应式为:
![]()

图2-14 金属的腐蚀——原电池原理
4.电化学腐蚀发生的条件
从上面的分析可知,电化学腐蚀发生的条件有三个:
(1)存在电解质溶液,以形成金属—溶液电极。
(2)二种不同的金属,以产生电位差。
(3)二种金属相互接触,使电子移动。
在实际问题中,即使是同一种金属,在潮湿的空气环境中也能发生电化学腐蚀。因为金属可能存在杂质,当杂质和主体金属处在潮湿的空气中,就可能形成二个电位不同的电极,它们本身就互相接触,故满足电化学腐蚀的三个条件,所以可以发生电化学腐蚀。这些杂质和主体金属构成了许多微型腐蚀电池形式,所以称为微电池腐蚀。实际上同一种金属,只要局部的覆盖物(如氧化物)不一样,或各部分在不同的溶液中(如铁杆一半在土里,一半在空气中)就可能形成电位差,发生电化学腐蚀。这就是为什么金属电化学腐蚀非常普遍的原因。
金属的大气腐蚀、海水腐蚀、土壤腐蚀、电解质溶液腐蚀、接触腐蚀、应力腐蚀、生物性腐蚀、电解腐蚀等都是电化学腐蚀。
(二)金属电化学腐蚀的防护
1.选择耐腐蚀材料
选择耐腐蚀材料有两种,一是在金属中选择耐腐蚀材料,二是在非金属中选择。
(1)金属材料。金属这类材料中,根据电动序的大小的不同,它们耐腐蚀的能力也不同,通常可分为四类:
1)化学性能十分稳定。不需要任何防护就可以在较严酷的气候中使用,如金、银、金铜合金、不锈钢等。
2)耐腐性较高。在无防护时,可用于室内或一般气候中,在湿热和盐雾条件下,必须有防护涂覆,如铬钢、铬镍钢、镉、镍、铅、锡、锡铅合金等。
3)耐化学性能较低。在有一定防护时才能用于室内一般气候条件,如纯铁、碳钢、铸铁、坡莫合金、锡锌青铜、黄铜、铝、硬铝、锌等。
4)耐腐蚀性极差。只有在可靠的涂覆下才能用于室内或良好的气候条件下,如铬锰铜、镍铬硅钢、铅(L4)、镁、锌合金等。
(2)非金属材料。在有些条件下,可以考虑用非金属材料代替金属材料,以求得更好的防蚀效果。非金属材料很多,如塑料、玻璃钢、橡胶、陶瓷等。只要使用得当,都可作为电子设备的防蚀材料。
2.合理设计金属结构
(1)避免接触腐蚀。所谓接触腐蚀是指不同电极的金属相接触时,电位较低的金属发生的腐蚀。因为不同金属相接触的情况在电子设备中很常见,设计不合理,就会发生接触腐蚀,所以设计时应引起足够重视,可以采取下列方法避免产生接触腐蚀:
1)通过合理选材降低相互接触的金属(或金属镀层)之间的电位差。一般规定相互接触的两种金属的电位差要小于0.5V,甚至更低。但要注意,电极电位是与溶液有关的,同一种金属在不同的溶液中其电位值是不一样的,所以绝不能以标准电极电位的电位差为计算依据,必须根据金属材料在所考虑的溶液中的电位来计算电位差。
2)必须把不允许接触的金属材料装配在一起时,可以通过电镀来改变表层金属的电位或采用在两种金属之间垫绝缘衬垫的方法来避免接触腐蚀。
(2)避免不合理的结构设计。不合理的结构形式常引起机械应力、热应力、积水等现象,从而在金属表面形成电化学不均匀性,引起或者加速金属的腐蚀,故设计时应尽量避免这些不合理的结构,如避免积水结构。避免在湿度较大的情况下采用点焊或铆接结构。
3.采用耐腐蚀覆盖层
在金属表面施加覆盖层,使金属与周围介质隔离开来,避免腐蚀,这是电子设备应用最普遍的防护方法。根据构成覆盖层的物质不同,可将覆盖层分为三类,即金属覆盖层、非金属覆盖层和化学处理层。
(1)金属覆盖层。一般称为金属镀层。从其功能来分,金属镀层有防腐镀层、防腐—装饰性镀层、导电性镀层、耐磨性镀层、中间镀层、焊接性镀层等。常用的镀层金属有:锌、镉、锡、铜、铬、镍、银、金、钯、铅锡合金等。其中锌、镉、锡等主要作为防腐性镀层使用。
若按镀层金属和基体金属电位的相对高低来分,金属镀层可分为阴极镀层和阳极镀层。如锌、镉比铁的电位低,腐蚀时锌或镉作为阳极被腐蚀,保护了铁,所以锌镀层、镉镀层均为钢铁零件的阳极性镀层。而锡则为钢铁零件的阴极镀层,在镀层表面完整无孔时,也可以保护钢铁不受腐蚀,但若镀层表面破裂,则铁为腐蚀电池的阳极,先被腐蚀。
(2)化学处理层。是利用化学或电化学的方法使金属表面形成某种化合物,而形成覆盖层,以达到防腐的目的。化学处理有发蓝、氧化和钝化。在黑色金属上用化学方法形成一层氧化膜称为发蓝;用化学或电化学方法在铝及铝合金表面形成一层氧化膜称为氧化;把钢铁零件放入磷酸盐溶液中浸泡,获得一层磷酸盐薄膜称为钝化或磷化。
(3)非金属覆盖层。不含金属的覆盖层即为非金属覆盖层。用得最广的是油漆覆盖层。漆膜具有一定的防护(防锈防腐)与装饰作用(如赋予鲜艳的色彩,美丽的花纹等)此外某些油漆还赋予零件以绝缘、耐高温、保护色等特殊性能。除油漆外,非金属覆盖层还有塑料涂覆层,以及对金属腐蚀起短期防护作用的机油、凡士林等。
(4)基本要求。无论哪一种覆盖层,除了必须在介质中具有足够的稳定性外,还应满足下列基本要求,才能具有良好的防护性能。
1)结构紧密完整无孔,不透过介质;
2)与基体金属黏结力强;
3)硬度高,耐磨;
4)均匀分布在被保护的金属表面;
4.电化学保护
通过外加电流使阴极金属的电位降低到与阳极相等,则腐蚀不会产生,这称为阴极保护;或者将要保护的金属与外电源的正极相连,使金属电位升高,由活性状态转为钝态称为阳极保护,阴极保护和阳极保护均称为电化学保护。





.jpg)
.jpg)
