
二、债券的收益率
债券收益是指投资者购买债券后所获得的全部投资报酬。债券收益的衡量指标是债券收益率,具体可分为以下几种:
(一)票面收益率
指债券券面载明的利率,也称息票利率(Coupon Rate)。其计算公式为:
票面收益率=年利息收入/债券面值×100%
票面收益率至少有两个明显的局限性:一是没有考虑债券发行价格可能与面值存在差异。债券的发行价格有平价、折价、溢价发行三种情况,给定年利息收入,当溢价发行时,息票收益率高于实际收益率,折价发行时,票面收益率低于实际收益率。二是没有考虑债券交易的市场价格对其收益率产生的影响。因此,票面收益率难以反映债券投资的实际收益水平。
(二)当期收益率(Current Yield)
指投资者当期获得的利息收入与其投资支出的比率,又称即期收益率。其计算公式为:
当期收益率=年利息收入/当期债券市场价格×100%
当债券价格等于债券面值时,当期收益率等于息票收益率。当期收益率在一定程度上弥补了息票收益率的缺陷,可以反映债券市场价格对债券收益率的影响。但它只能反映当期利息收益与投资成本之间的关系,不能全面反映投资者在整个持有期的投资收益水平。
(三)持有期收益率
持有期收益率(Holding Period Yield)反映投资者买入债券后持有一段时间再行卖出所获取的利息收益和资本损益。其计算公式为:

持有期收益率的优点是考虑了债券买卖的资本损益。不过,它与票面收益率、当期收益率一样,都没有考虑货币的时间价值。
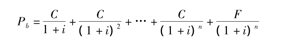
(四)到期收益率
到期收益率(Yield to Maturity,简写为YTM)即债券投资的内在收益率(Internal Rate of Return,简写为IRR),是指使债券投资者直至债券到期时所获得的各期现金流的现值之和等于债券的初始投资的折现率。息票债券到期收益率的计算公式是:

Pb表示债券市场价格,C表示债券利息,F表示债券的到期价值(本金),i表示债券的到期收益率,n是距离到期日的年限。显而易见,债券市场价格(投资成本)与到期收益率反向相关。如果息票债券的买入价格等于债券面值,到期收益率等于息票利率。到期收益率考虑了货币的时间价值,能较好地反映债券的实际收益率。
上一篇:高中英语“新课标”教学案例设计
下一篇:听话不听音





.jpg)
.jpg)
