
1.5.1 微分方程的基本概念
1.微分方程的概念
凡表示未知函数、未知函数的导数与自变量之间的关系的方程,称为微分方程.
微分方程中所出现的未知函数的最高阶导数的阶数,称为微分方程的阶.
如方程
![]()
是一阶微分方程;又如,方程
x3y″+x2y″-4xy'=3x2
是三阶微分方程.
一般地,n阶微分方程的形式是
![]()
其中F是n+2个变量的函数,y(n)是必须出现的,而x,y,y',…,y(n-1)等变量则可以不出现.
2.微分方程的解通解
微分方程的解是一个函数,把这函数代入微分方程能使该方程成为恒等式.确切地说,对于n阶微分方程(1.5-1),设函数y=φ(x)在区间I上有n阶导数,且在区间I上满足
F[x,φ(x),φ'(x),…,φ(n)(x)]≡0,
则称函数y=φ(x)为微分方程(1.5-1)在区间I上的解.
如果二元代数方程Φ(x,y)=0所确定的隐函数是某微分方程的解,那么Φ(x,y)=0就称为该微分方程的隐式解.
如果微分方程的解中含有任意常数,且任意常数的个数(这里所说的任意常数是互相独立的)与微分方程的阶数相同,这样的解叫做微分方程的通解.
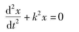
如方程
![]()
是二阶微分方程.而函数
x=C1coskt+C2sinkt满足该方程,即这函数是方程的解,又这函数中含有两个独立的任意常数,故这函数是上述微分方程的通解.
3.初始条件与特解
能用来确定通解中的任意常数的条件称为初始条件.通常一阶微分方程的初始条件为
y|x=x0=y0,
二阶微分方程的初始条件为
y|x=x0=y0,y'|x=x0=y'0,
其中x0,y0和y'0都是给定的值.
通解中的任意常数全部确定后,就得到一个确定的解,这种解称为微分方程的特解.
【例1.5-1】验证函数y=C1e-x+C2e2x是微分方程y″-y'-2y=0的通解.
证:y=C1e-x+C2e2x,y'=-C1e-x+2C2e2x,y″=C1e-x+4C2e2x,代入方程得
左=C1e-x+4C2e2x-(-C1e-x+2C2e2x)-2(C1e-x+C2e2x)=0=右.
所给方程是二阶的,所给函数中恰好含C1、C2两个任意常数,且因e2x/e-x=e3x0,故这两个任意常数不能合并成一个,即它们是相互独立的,因此所给函数是所给方程的通解.
上一篇:最早的新诗社团





.jpg)
.jpg)
