
二、测电表内阻的方法
1.伏安法测电表内阻:
(1)常规伏安法
a.串联法测电压表的内阻
    
    
    
(条件:两电表电流量程接近)
b.并联法测电流表的内阻
(2)电表反串的“伏安法”
a.电压表充当电流表
    
条件:两电压表电流量程须接近且V2表须知准确内阻.
    
b.电流表充当电压表
条件:两电流表电压量程须接近,且A2表须知准确内阻.
    
c.利用电阻箱(或已知电阻)计算电表的电压或电流,算电阻。
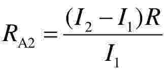
(1)题目:测A1表的内阻,A2表内阻可未知。条件:两电流表量程须接近.
    
    
    
    
题目:测V表的内阻。.A表电阻可未知。
条件:两电表电流量程须接近.
R已知,则
    
(2)
    
题目:测A表的内阻。V表电阻可未知。
    
(3)
    
题目:测V1表的内阻。V2表电阻可未知。
    
(4)
R已知(R可由电阻箱代替)
    
2.比值法测电表的电阻:
    
3.替代法测电表的内阻:
    
例:测量读数不准的电表的内阻:
    
    
4、半偏法测电表电阻:(测小内阻、大内阻阻值方法分别用左、右两图)
    
    
5.应用闭合电路欧姆定律测电表内阻----“表箱法”
(1)“安箱串联”法
条件:理想电源(内阻不计)
I1(RA+R0+R1 )=E ; I2(RA+R0+R2)=E 若I2=1/2I1, 则 RA=(R0+R2)-2(R0+R1)
    
(2)“伏箱串联”法
条件:理想电源(内阻不计)
    
    
    若U2 =
,则R V=R 2+2 R1
上一篇:东垣遗址述废兴
下一篇:常见的类固定短语结构类型





.jpg)
.jpg)
