
由于地球引力的存在,任何从地球升向上空的物体都会落回到地球上,但为什么人造卫星就不会落下来呢?关键在于将卫星送入轨道的巨大速度,它几乎达到了8千米/秒。
物体如果得到这个速度,就会像人造卫星一样不会落回地球。这时候的地球引力所能起到的作用就只是使物体的运动路线弯曲,并使它的运动轨迹成为围绕地球的封闭椭圆。
但在比较特殊的情况下,卫星的轨道也可以不是椭圆的,而是以地球中心为圆心的圆形(见图38)。现在我们来推导一下卫星在圆形轨道上运行的速度公式,这个公式被称为圆周速度公式。
卫星在向心力F的作用下绕圆周轨道运行,这个向心力F就是地球引力,它的公式为
(其中m为卫星质量,v为速度,R为轨道半径)。同时,根据万有引力定律,力
其中M为地球质量,γ为引力常数)。显然,
,则圆周速度的值为:
如果我们将卫星轨道距离地球表面的高度用H表示,r代表地球半径,则圆周速度公式可变形为:
图38 人造地球卫星的圆周轨道
为了更方便地计算,上面的公式还可以进行进一步的变换。由于地球表面的引力为mg,根据万有引力定律,
,可得
,所以圆周速度公式可为
或
。但这时要注意,在这个公式里,g是地球表面的引力加速度。
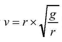
假如卫星运动轨道距离地球表面的高度与地球半径r之间的比值非常小,在这种时候,可以将H视为零对待,这时圆周速度公式就被简化为
或
。
将已知的数值
和r=6378千米(赤道半径)代入公式,计算出的速度值就是所谓的第一宇宙速度:
理论上讲,人造地球卫星必须具有这样的速度才能绕地球表面运行。但事实上地球的表面并不平坦,尤其是有大气阻力的存在,所以卫星根本不可能围绕这样的轨道运行。圆周轨道距离地球表面的高度越大,卫星的轨道速度就越小。
上一篇:桂枝去芍药汤
下一篇:四联球菌,你了解多少?






.jpg)
