
对水位流量关系曲线检验方法的理解
一、水位流量关系的检验方法是按国际标准要求提出的,它适应于水位长记、遥测、流量巡测、间测等无人值守或简化的水文测验方法和途径
可以在保证规定精度前提下,大大简化外业测验任务。对于开展站隊结合方式的水文外业测验,也是保证定线推流精度的科学的有效技术手段。按现行常规方法测流定线的测站,通过对水位流量关系曲线的检验,无疑能提高定线水平并对发现潜留问题有所裨益。因此,新规范中将有关检验方法列出,并要求对“单一曲线及多线中的主要曲线,要经过检验,使其定线恰当。”
二、符号检验
1.目的
检验曲线两侧点数分配是否均衡。
2.公式:
μ=
K—正负号个数
3.规范规定,显著水平α取0.25,国际标准规定取0.05,试分析孰严孰宽。
设n=10,α=0.05,则μ值为1.96
μ=
得k﹤8.6
又令α=0.25,则μ值为1.15
μ=
得k﹤7.3
显然规范中规定α采用0.25,较严。
4.绘图分析
将检验标准绘为下图(图1),可一目了然。

图1 符号检验
①当k→n
μ
②当
μ
说明k值越趋近于n时,越不合格,而趋近于
时,则合格。
③当α=0.05,求k
1.96
当α=0.25时
1.15=
式中后一项即为置信区间,显然当α=0.25时,置信区间要小。
5.n值与置信区间的关系
如当α=0.25时,一侧点数与总点数的允许相对比值:δ
列表如下:(表1)

6.从上表及图可以看出,检验的总水平若应用往常误差评定方法对比,可以这样说:当n为30~50,显著水平为0.25时,即75%的点子落入±10%的误差线内;或95%的点子(显著水平0.05)落入±15%的误差线以内。显然,当点数较少时,新规范规定要放宽的多,而点数多时,则要求较严。从这点看,检验方法是先进的。然则,当进行具体检验时,又觉得很宽。
三、适线检验
1.目的:检验按水位递升次序实测点在曲线两侧正负号的排列情况,以检查定线有无系统偏离。
2.显著性水平α值:
国际标准:α=0.05
规范标准:α=0.05~0.10
3.采用公式:
μ
4.统计计算:
测点在曲线左为(-),右为(+),示例:
计算:若n=17

5.曲线分布:见图1
与符号检验比较,当α=0.05时,其下包线一致。(只做下限检验,因当K>0.5(n-1)时,规定不做检验),实际上当K值较大时,已经合格,不必做检验了。
6.存在问题:不能反映水位变幅的全程符号变换情况,示例如下:图2
按检验公式计算:
![]()
本例检验结果显然是合格的,但违反一般定线原则,特别是我们长期形成的定线准则。

图2
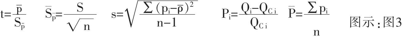
四、偏离数值检验
1.目的:检验测点偏离曲线的平均偏离值是否在合理范围。
2.思路:偏离数值检验是根据“小概率事件原理”进行设计的,是假设检验的一种。其概念为:“当概率很小(如p<0.05)的事件在一次试验中是不发生的,如果在试验中竟然发生了,则认为假设条件不正确而将假设推翻。
3.应用公式:
![]()

图3
4.理解
(1)某观测值可望落入规定误差(置信水平1—α)的统计区间,可表达为:QC±ts
(2)样本(实测点据均值)均值可望落在规定误差的统计区间,为
![]()
(3)t的含义
t是用来补偿样本的标准差的,并在此基础上确定置信水平。也可以说,t分布用于统计的误差区间与置信水平之间的关系上。再用通常误差统计方法的术语如“75%的点据其误差不超过±10%”,可以这样说:“当显著水平采用0.25时,其置信区间为±ts(±10%)”。
当n值近于30,显著水平α=0.05时,t≈2.0,即置信区间为2s,此时保证率(概率)可近于95%,即95%的测点落入±2s以内。这样情况下,t分布近似正态分布。
(4)图形图4:t~n关系图
从图4可见,当显著性水平α=0.05,n在20—30点以上,t值近于2.0。

图4 t~n关系图
5.问题:
①由公式t=
,可知TSρ或ts为曲线或点据在规定显著水平下的置信区间,显然,当t≈2.0时,置信区间与S成比例,如系列S值很大时,依然可以通过偏离数值检验。
示例;pi:0.2、-0.2、0.2、-0.2、0.2、-0.2、0.2、-0.2……n=10
则P=0s=0.21t=0
又,若令pi为一误差很小的事例
0.01、0.01、0.01、-0.01……n=10
同样可求得t=0,均合格。
显然前一系列离散太大,一般认为是不合格的,然而检验可以通过。
五、关于t检验
t检验是用来对比两个系列:原系列与新系列有无显著差别的,如认为无显著差别,则可认为新系列和原系列是一个系列。所用方法与原理和偏离数值检验大体一样,不再赘述。
限于水平,理解多有不准确之处,仅供学习中参考。
1989年8月21日
上一篇:项目目标的定义
下一篇:法律行为与准法律行为的区别





.jpg)
.jpg)
