
图2.4 铰链四杆机构
图2.3 四杆机构的组成
二、四杆机构的类型判别
曲柄存在的条件如下:
①要有最短杆存在。
②最短杆与最长杆长度之和小于或等于其余两杆长度之和。
满足上述条件时,有以下3种情况:
①若取最短杆相邻的构件任意杆为机架,则该机构为曲柄摇杆机构,且最短杆为曲柄。
②取最短杆为机架,则该机构为双曲柄机构。
③若取最短杆相对的杆为机架,则该机构为双摇杆机构。
当最短杆与最长杆长度之和大于其余两杆长度之和时,则不论取哪一个杆为机架,都无曲柄存在,机构只能为双摇杆机构。
其类型及特点见表2.1。
表2.1 四杆机构的类型及特点

例2.1 如图2.5所示的机构,已知:L1=35,L2=50,L3=65,L4=60。试求:判断该铰链四杆机构的类型。解 根据曲柄存在的条件:最长杆+最短杆≤其余两杆之和,得
图2.5 机构
L1+L3≤L2+L4
则
35+65<50+60
故有曲柄存在。
又因为是选择若取最短杆相邻的构件任意杆为机架,所以则该机构为曲柄摇杆机构,且最短杆为曲柄。
假设:L1=46,则
L1+L3>L2+L4
于是
46+65>50+60
故该机构为双摇杆机构。
任务二 铰链四杆机构及其应用
知识要点:
1.了解四杆机构的演变。
2.了解演化后的四杆机构应用。
3.了解四杆机构的运动特征。
一、四杆机构的演变和应用
1.偏心轮机构
图2.6所示为一偏心轮的结构形式,将曲柄演变成一几何中心不与回转中心相重合的圆盘,此圆盘称偏心轮。偏心轮机构一般多用于曲柄销承受较大冲击载荷或曲柄较短的机构,如剪床、冲床以及破碎机等。

图2.6 偏心轮机构

图2.7 冲床结构图

图2.8 曲柄滑块机构
1—曲柄 2—连杆 3—滑块
2.曲柄滑块机构
曲柄滑块机构在机械中应用十分广泛,如内燃机、搓丝机、自动送料装置等。如图2.8所示,在该机构中,若以AB为主动件,则AB的连续旋转运动经连杆转换为从动滑块C的往复直线运动。

图2.9 导杆机构
3.导杆机构
若将曲柄滑块机构(图2.9(a))中的构件1作为机架,就演变成导杆机构(图2.9(b))
导杆机构分为转动导杆机构和摆动导杆机构。
当L1<L2时,机架1为最短杆,相邻杆2和导杆4能绕机架连续旋转,故称为转动导杆机构;当L1>L2时,机架不再是最短杆,相邻杆2和导杆只能绕机架摆动,故称为摆动导杆机构。
导杆机构多用于插床、刨床等机构中。
4.定块机构
若将曲柄滑块机构(图2.10(a))中的构件3作为机架,就演化成定块机构,此机构中滑块固定不动。图2.10(b)抽水机就是应用该原理。
三、平面四杆机构的运动特性
如图2.11所示为曲柄摇杆机构。假设等速转动的曲柄为主动件,它在回转过程中,与连杆有两次共线位置AB1和AB2。此时,从动件摇杆CD分别位于C1D和C2D两个极限位置,其夹角θ称为极位夹角。

图2.10 定块机构

图2.11 曲柄摇杆机构
当主动件曲柄从AB2开始沿顺时针旋转至AB1时结束,转角矱1=180°+θ(工作行程机构工作);从AB1开始继续顺时针旋转回到AB2时结束,转角矱2=180°-θ(空间行程机构不工作),至此完成整周旋转。摇杆则从CD2摆至CD1(期间所用时间假设为t1,v1=C1C2/t1),再从CD1摆至CD2(期间所用时间假设为t2,v2=C1C2/t2)。
从上述可知,矱1>矱2,故t1>t2,v1<v2。通常情况下,摇杆由CD2摆至CD1的过程被用作机构中从动件的工作行程,从CD1摆至CD2过程被用作机构中从动件的空回行程。空回行程的平均速度大于工作行程的平均速度,机构的这种性质称为急回特性。
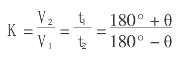
机构的急回特性可用行程比系数K来表示,即

K的大小表示急回的程度。由上式可知,K与θ有关。当θ=0时,K=1,说明该机构无急回特性;当θ>0时,则该机构具有急回特性,θ越大,K值越大,急回特性就越明显。
任务小结
1.四杆机构的组成:机架、连架杆和连杆。
2.四杆机构的分类:曲柄摇杆机构、双曲柄机构和双摇杆机构。
3.曲柄存在的条件:
①有最短杆存在。
②l长+l短≤l1+l2。
如
l长+l短>l1+l2
则为双摇杆机构。
思考题
列举在日常生活中你所见到的四杆机构。
自我检测
一、填空题
1.极位夹角是指____________,用θ表示,θ=____________。当θ>0时,表示机构急回特性的行程比系数K____________,机构____________急回特性。
2.在铰链四杆机构中,能相对机架作整周旋转的连架杆是____________。
3.部与机架直接相连,且作平面运动的杆件称为____________。
4.汽车窗雨刷采用的是____________机构。
5.家用缝纫机踏板机构采用的是____________机构。
6.公交车启闭机构采用的是____________机构。
二、选择题
1.铰链四杆机构中,最短杆件与最长杆件长度之和小于或等于其余两杆的长度之和时,机构中一定有( )。
A.曲柄 B.摇杆 C.连杆
2.曲柄摇杆机构中,曲柄的长度( )。
A.最短 B.最长 C.介于最短和最长之间
3.当曲柄摇杆机构出现死点位置时,可在从动曲柄上( )使其顺利通过死点位置。
A.加设飞轮 B.减少阻力 C.加大主动力
4.在曲柄摇杆机构中,最短杆是( );在双曲柄机构中,最短杆是( )。
A.曲柄 B.摇杆 C.连杆
三、简答题
如图2.12所示,根据已知数据判断四杆机构类型。

图2.12 四杆机构
A:
B:
C:
D:
实践活动 制作简易四杆机构
1.训练内容及目标
①学生对平面机构进行实践学习,完成对铰链四杆机构模型制作。
②能在教师的指导下选择选择任意铰链四杆类型正确制作。
③在小组合作中逐步树立互相帮助、互相讨论和共同进步的团队意识。
2.准备材料及工具
木头条,铆钉(图钉),刀片,钢皮尺,铅笔,圆规,砂布。
3.活动步骤及过程
①学生分组,5~6人一组,选一位组长。
②根据学习资料提示,小组讨论人员分工,制定操作计划步骤。
③一组同学配合完成模型制作,每位学生口述操作过程,并提问要求其他同学回答。
④完成工作任务单的各类任务,并上交组长。
4.学生评价
采取学生自评,同学互评,教师点评的评价方式,完成对学生此次教学活动的学习效果评价,评定学习成绩。
【学习任务单】
铰链四杆机构制作学习任务单

【学习评价表】
学生综合学习评价表

上一篇:知识库系统
下一篇:最古老的定律之一浮力定律





.jpg)
.jpg)
