
1.7.5 数理统计的基本概念
数理统计是随机数学的一个分支.它以概率为基础,给出处理随机性产生的数据的原理与方法.数理统计的内容很多,读者对此仅需初步了解.
1.总体与样本
总体是全体研究对象的某个特征值;样本是总体中部分个体的该特征值.
数理统计的基本内容是:如何根据样本所提供的信息对总体中的未知量作统计推断。
样本具有双重意义.随机抽样前,样本X1,…,Xn是n个随机变量;随机抽样后,样本表现为n个数据x1,…,xn,这n个数据也称为样本值.在不致引起误解时,样本值也简称为样本.
总体用随机变量X表示,因为总体反映的特征值带有随机性,当总体X服从正态分布时,称X为正态总体.
今后常用“X1,…,Xn是取自总体X的容量为n的样本”这类语言.这句话的含义是:X1,…,Xn是相互独立的随机变量,且每一个Xi都与总体X的分布相同,i=1,…,n.当总体X是离散型随机变量时,每一个Xi与X的概率分布相同;当总体X是连续型随机变量时,每一个Xi与X的概率密度函数相同.
对于每一个i=1,…,n,Xi与X同分布蕴含了它们的数学期望、方差与标准差都相等,即
E(Xi)=E(X),D(Xi)=D(X).
2.统计量
样本X1,…,Xn的函数统称为统计量.统计量不能带有总体X中任何未知量.
以下给出数理统计中常用的统计量:
①样本均值
②样本方差S2=
,样本标准差S=
③样本k阶原点矩
,样本k阶中心矩
样本均值是样本一阶原点矩,但样本方差不是样本二阶中心矩.
定理3设X1,…,Xn是取自总体X的容量为n的样本.已知E(X)=μ,D(X)=σ2,那么:
①E(
②E(S2)=σ2.
这里要注意,E(
)≠μ2,E(S)≠σ.
3.三个常用分布
χ2分布、t分布与F分布是数理统计中经常使用的连续型随机变量的分布,读者不必关心它们的概率密度函数,但要知道它们的参数,这些参数都称为自由度.
设X1,…,Xn相互独立,且每一个Xi都服从标准正态分布N(0,1),则χ2=
服从自由度为n的χ2分布,记作χ2(n).
设随机变量X与Y相互独立,且X~N(0,1,),Y~χ2(n),则T=
服从自由度为n的t分布,记作t(n).
设随机变量X与Y相互独立,且X~χ2(n1),Y~χ2(n2),则F=
服从自由度为(n1,n2)的F分布,记作F(n1,n2).
今后经常要用到χ2分布、t分布与F分布的临界值.这些临界值都可以通过查表解决.
定理4设X1,…,Xn是取自正态总体N(μ,σ2)的容量为n的样本.

![]()
定理5设X1,…,Xn1是取自正态总体N(μ1
的容量为n1的样本
是取自正态总体N(
的容量为n2的样本.样本均值与样本方差分别记作
,那么
服从F(n1-1,n2-1).
定理6在定理5中,再假定
,那么,

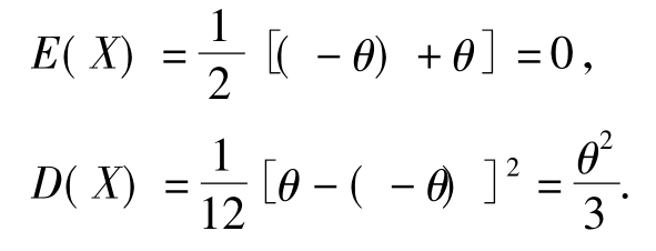
【例1.7-31】设X1,…,Xn是取自总体X的容量为n的样本.已知X服从区间(-θ,θ)上的均匀分布.试求E(
解:已知区间(-θ,θ)上的均匀分布的数学期望与方差分别是

按定理3,则

【例1.7-32】设X1,…,X16是取自正态总体N(0,σ2)的样本,则(

/4S服从( ).
(A)正态分布 (B)自由度为16的t分布
(C)标准正态分布 (D)自由度为15的t分布故选(D).
【例1.7-33】设X~N(0,1),则X2服从( ).
(A)χ2(n) (B)χ2(1) (C)t(1) (D)N(0,1)
解:在χ2分布定义中取n=1,得X2~χ2(1).故选(B).
上一篇:新古典增长模型的基本框架
下一篇:消毒供应室





.jpg)
.jpg)
