
秸秆还田的生化他感效应研究初报
杨思存 霍琳 王建成
(甘肃省农业科学院土壤肥料研究所 甘肃兰州 730070)
摘要:盆栽试验结果表明:蚕豆秸秆对小麦和大豆幼苗生长都有明显的他感相克作用,使其生物量分别减少50.4%和58.2%;大豆秸秆对小麦幼苗生长有他感相克作用,而对大豆幼苗生长有自感相生作用,使其生物产量增加19.8%;玉米秸秆对小麦幼苗的相克作用最强,生物产量减产60.8%,但对大豆幼苗生长的他感和玉米幼苗的自感相生作用显著,生物产量依次增加18.7%和10.3%;小麦秸秆对小麦、玉米和大豆幼苗生长都有相克作用,使其生物量分别减少50.8%、5.1%和24.9%。秸秆对作物的他感效应,随着时间的推移而减弱。施用蚕豆秸秆,既能增大土壤养分贮量,又能提高土壤养分供应水平,玉米秸秆和小麦秸秆培肥土壤的作用居中,施用大豆秸秆虽能增大土壤养分贮量和供氮水平,但提高幅度不大。种植作物对秸秆培肥和供肥作用的发挥都有显著的促进作用。
关键词:秸秆还田;生化他感;生物产量;有效性养分含量
生化他感(Allelopathy)的概念是由奥地利科学家Molisch于1937年首次提出的,它是指各种类型的植物包括微生物之间的生化相互作用,也有人称之为异株克生或相生[1]。关于小麦秸秆生化他感作用的研究,从20世纪60年代开始就从没间断过,有人研究了小麦秸秆水提液对棉花、小麦、玉米、杂草等作物发芽、出苗及产量的影响[2~5],也有人从小麦秸秆浸提液中分离出了丁酸、阿魏酸、吡喃糖、二羧酸甲基酯等他感化合物[6~10],但对作物秸秆直接还田情况下生化他感效应的研究报道并不多见,而秸秆还田对于促进养分循环利用和提高土壤肥力都具有重要作用[11~13]。因此,开展这方面的研究对于完善秸秆还田的理论和技术,避免秸秆的他感负效应,充分合理地利用秸秆资源有着重要的生产实际意义。为此,我们根据甘肃省白银市沿黄灌区作物秸秆资源和研究能力,2002年在盆栽试验中对作物秸秆的生化他感效应进行了初步研究,旨在为进一步深入研究积累资料。
注:本文发表于《西北农业学报》,2005,14(1):52~56.
1 材料和方法
1.1 供试材料
供试秸秆和土壤均采自甘肃省靖远县北滩乡景滩村,土壤属淡灰钙土,采自耕层0~20㎝,含有机质11.2g/kg、全氮0.78g/kg、全磷0.58 g/kg、碱解氮80.1mg/kg、速效磷25mg/kg、速效钾280mg/kg,采回后经风干、破碎、过1mm筛后充分混合均匀,分装备用。供试作物秸秆类型及养分含量见表1。试验用盆钵为广口玻璃瓶,内装供试风干土500g。供试作物春小麦为花培764,玉米为中单2号,大豆为汾豆8号。
1.2 研究方法
表1 供试作物秸秆中养分含量 g/kg
Table 1 Nutrient contents of crop straw that be offered for experiment

分种植小麦、玉米和大豆3个试验,各试验均设对照(A)、小麦秸秆(B)、玉米秸秆(C)、大豆秸秆(D)、蚕豆秸秆(E)5个处理,每处理重复6次,每盆均装秸杆20g。3种作物依次留苗8株、3株和5株,3月25日至5月24日和7月14日至8月15日各种植两次,测定植株干重(包括根系)和土壤中有效性N、P、K的含量。在安排小麦试验的同时,为进一步深入了解栽培作物条件下秸秆对土壤养分变化的影响,设置了盆培土壤比较试验,所不同的是前者种植小麦,后者只灌水,来年3月20日取样。土壤碱解氮采用扩散吸收法,速效磷采用Olsen法,速效钾采用火焰光度法,有机质采用重铬酸钾定碳法;供试秸秆样品用H2SO4-H2O2消化,开氏法定氮,钒钼黄比色法测磷,火焰光度法测钾。
2 结果与分析
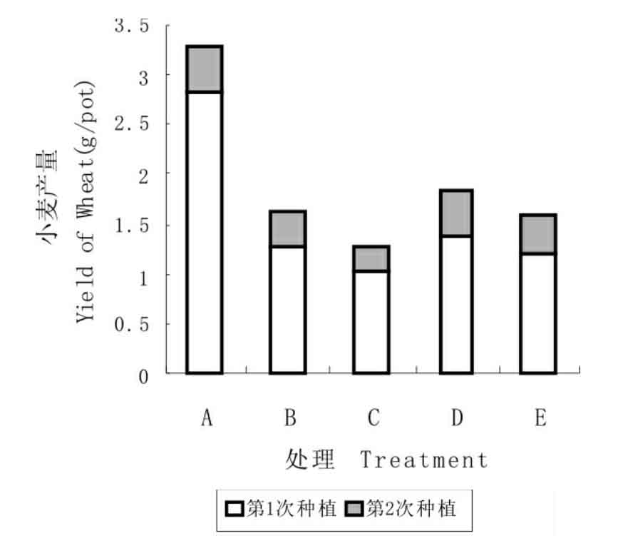
2.1 秸秆还田对小麦的生化他感效应
小麦试验中虽然土壤有效性氮和钾的供应水平均高于对照处理,但小麦幼苗干重总量低于对照处理60.8%~45.0%(图1),这一试验结果与Kimber得出的“施用化肥对这种减产也无济于事”的结论非常相似[2,3]。显然,这种负效应就是秸秆对小麦他感作用的结果。在他感效应强度上是玉米秸秆>蚕豆秸秆≥小麦秸秆>大豆秸秆,而在时间上是前期>后期,这也与Kimber等人在研究小麦秸秆的自毒效应时所得结果一样,即秸秆的他感效应随秸秆堆施时间延长和温度提高、降水增加而减弱[2,3]。从植物营养与作物产量的相关规律而论,秸秆对小麦产量的作用应该是蚕豆>小麦>玉米>大豆秸秆,而事实上是大豆>小麦>蚕豆>玉米秸秆。显然,小麦幼苗生物量的高或低,除与养分供应量有关外,还与产生他感相克效应的他感有毒物质有关。



图1 秸秆还田对小麦、玉米和大豆生物产量的影响
Fig 1 Effects of straw returning on the biological yields of W heat,Maize,and Soybean
2.2 秸秆还田对玉米的生化他感效应
玉米是消耗养分,特别是氮素养分较大的作物。在施入秸秆的前期(3~5月),秸秆腐解消耗的养分较多,因此,土壤速效氮的含量低于对照19.3%~23.9%,相应玉米幼苗生物量亦较对照减产21.8%~48.3%;进入后期(7~8月),随着气温升高,秸秆分解释放出了养分元素,其中氮素养分已高于或接近对照水平,第二次种植的玉米生物产量已高于对照1.8%~20.1%,特别是玉米秸秆处理中生物量的增加达到显著高于对照的水平(图1)。
但从盆栽玉米对土壤氮素养分供应水平的影响看,秸秆对玉米幼苗生物量的形成作用,应该是大豆>玉米>蚕豆>小麦秸秆,而实际上是玉米>大豆≥蚕豆>小麦秸秆。这种结果证明,玉米秸秆对玉米幼苗生物量形成,有良好的自感相生作用;而小麦秸秆除对玉米幼苗生物量形成有不良作用外,对玉米生长也有毒害作用,主要是叶片发黄,而又无光泽,这也与他人研究结果一致[14]。



图2 秸秆还田对土壤中有效性养分含量的影响
Fig 2 Effects of straw returning on the available nutrient in soil
2.3 秸秆还田对大豆的生化他感效应
大豆盆栽试验中,施蚕豆秸秆处理中土壤氮磷供应水平较其他秸秆处理都高(图2),特别是后期土壤中氮素供应水平还高于对照9.8mg/kg,但由于蚕豆秸秆对大豆幼苗生长的他感相克作用,植株生长缓慢,匍匐于土表,叶片失绿、增厚。因此,大豆幼苗生物量前期显著低于对照37.5%,后期不但显著低于对照61.0%,而且也显著低于其他施秸秆处理20.3%~67.8%,他感相克效应很大。相反,施大豆秸秆和玉米秸秆处理,前期土壤氮磷养分供应虽低于对照,但由于是他感相生作用,使大豆幼苗生物量分别高于对照10.8%和9.4%;后期随着土壤氮素供应水平的提高,使大豆和玉米秸秆处理中大豆生物量显著增加18.7%和21.2%,最终使得总生物量分别增加18.7%和19.8%,他感或自感相生作用显著。小麦秸秆处理中土壤氮磷养分供应水平始终低于对照,因此大豆生物量最低,较对照处理低25.0%。
2.4 秸秆还田的生态肥力效应
2.4.1 秸秆还田对后季土壤养分含量的影响
作物秸秆类型不同,其化学成分组成不同,在土壤中腐解过程及其产物不同。因此,对土壤养分的变化可能不同。为此,本试验在8月份作物收获后,将盆栽土壤按秸秆类型混合后,又继续培养至第二年3月,采土测定养分含量,以了解秸秆和秸秆类型对后季土壤养分贮量和供应水平的影响。
测定结果(表2)表明,施用秸秆能够增加土壤有机质、全氮、碱解氮和速效钾的含量,但由于秸秆腐解对磷的消耗,使得土壤中速效磷的含量下降。其中,蚕豆秸秆对后季土壤养料肥力水平的提高作用最大,土壤有机质、全氮、碱解氮、速效钾含量较空白对照依次增加28.9%、22.1%、27.8%和50.9%,速效磷含量虽然下降了12.5%,但在4种秸秆中的降幅最小。大豆秸秆对后季土壤养料肥力更新的作用最小,有机质、全氮和碱解氮含量较对照分别增加15.8%、14.3%和15.5%,速效磷的降幅也最大,达31.3%。小麦秸秆在增大土壤有机质和全氮含量上的作用最大,两项指标分别比对照提高34.5%和23.4%,但对供氮和磷能力提高的作用最小。玉米秸秆的作用,正好与小麦秸秆相反。由此认为,蚕豆和小麦秸秆在增大后季土壤有机质和全氮贮量中的作用显著,玉米和蚕豆秸秆对土壤供氮能力的提高的作用最大,小麦秸秆对土壤供钾能力的提高贡献最大。

2.4.2 栽培作物在提高秸秆还田培肥地力中的作用
栽培作物对增大土壤养分贮量,加快施入土壤的秸秆的分解,都有积极的生物促进作用(表3)。在施入土壤相同数量麦秸时,未种作物盆钵土壤有机质和全氮含量较CK分别增加32.3%和16.9%,而在种植小麦时又分别增加34.5%和23.4%。显然,这种增补特征主要与作物根系及其分泌物有关。同时,只施麦秸时,使土壤碱解氮和速效磷分别被固定27.8%和46.9%;施用麦秸并种植小麦时,土壤碱解氮较CK和施麦秸处理分别提高9.3%和51.4%,速效磷则较只施麦秸处理提高29.4%,这表明种植作物提高了后季土壤养分供应能力,即秸秆中养分的有效化。由此可见,在应用农作物秸秆肥时,除了关注秸秆类型与种植作物间他感效应的合理应用,还应考虑种植作物对秸秆释放养分的生物效应,以便达到当季与下季作物都能获得高产的双重效果。
表3 种植作物对秸秆培肥地力的影响
Table 3 Effects of planting crops on cultivating soil of straw
3 结果与讨论
3.1 秸秆对作物的他感效应
从试验结果看:①秸秆对小麦幼苗生长都有他感相克作用,使幼苗生物量减产45.0%~60.8%,其强度是玉米秸秆>大豆秸秆≥蚕豆秸秆>小麦秸秆。②秸秆对玉米幼苗生长的他感现象较轻,只是小麦秸秆对玉米有一定的他感相克效应,表现在玉米叶色较淡,但随着麦秸入土时间的后移而逐渐消失;而玉米秸秆的自感相生效应,使玉米幼苗生物量增加10.3%。③玉米和大豆秸秆对大豆生长有他感和自感相生作用,使其生物量分别增加19.8%和18.7%;小麦秸秆对大豆生长有他感相克作用,但不明显;蚕豆秸秆对大豆生长有毒害作用,导致其生物量降低58.2%。
3.2 秸秆对后季土壤肥力的作用
蚕豆秸秆既能增大后季土壤养分的贮量,又能提高养分元素的供应水平,培肥土壤的作用显著;大豆秸秆虽能提高土壤养分贮量和供氮能力,但提高幅度很小,培肥土壤的作用较小;小麦和玉米秸秆培肥土壤的作用介于上述秸秆之间,前者在增大土壤养分贮量上的作用最大,但供氮和磷的水平最低,而玉米秸秆正好与小麦秸秆相反。试验同时证明,种植作物更有利于土壤中秸秆的腐解和养分转化。
3.3 秸秆还田的他感效应研究需要进一步深入
关于秸秆还田效应的研究,国内目前大都集中在对土壤结构和肥力的影响上,涉及他感效应研究的文献资料很少,且都局限于浸提液、秸秆覆盖等对农作物幼苗生长的他感效应观察,对于秸秆直接还田的他感效应及其生理生化基础、作用机制和对环境的影响等方面的研究很少。秸秆进入土壤后,化感物质在物理、化学、生物等因素的作用下化学结构和构象都发生变化,其对作物的他感效应与浸提液、秸秆覆盖等也不同。本文作者虽然对秸秆直接还田条件下的他感效应做了初步研究,对于完善秸秆还田的理论和技术起到了积极作用,但并不深入,今后的研究必须向利用他感效应指导秸秆还田和农作物轮作、间作及套种的方向努力。
上一篇:丹麦奥胡斯大学口碑怎么样
下一篇:如何装订会计凭证





.jpg)
.jpg)
